Právní předpis byl sestaven k datu 13.05.2026.
Zobrazené znění právního předpisu je účinné od 01.01.2026.
Nařízení vlády o postupu pro výpočet nákladového nájemného pro dostupné nájemní bydlení
516/2025 Sb.
Předmět úpravy §1
Pojmy §2
Náklady rozhodné pro výpočet nákladového nájemného §3
Náklady na přípravu výstavby nebo pořízení §4
Náklady na výstavbu §5
Náklady na pořízení §6
Náklady na výstavbu nebo pořízení parkovacích stání, jejich příslušenství a s nimi obvykle souvisejících ploch §7
Náklady na provoz §8
Ostatní náklady celoživotního cyklu §9
Společné ustanovení §10
Výpočet nákladového nájemného §11
Výpočet nákladového nájemného v případě partnerství veřejného a soukromého sektoru §12
Účinnost §13
Příloha č. 1 - Výpočet nákladového nájemného
Příloha č. 2 - Výpočet nákladového nájemného v případě partnerství veřejného a soukromého sektoru
516
NAŘÍZENÍ XXXXX
xx xxx 29. xxxxx 2025
o xxxxxxx xxx xxxxxxx xxxxxxxxxxx nájemného pro xxxxxxxx xxxxxxx xxxxxxx
&xxxx;
Xxxxx xxxxxxxx xxxxx §11b xxxx. 4 xxxxxx x. 211/2000 Sb., x Státním xxxxx xxxxxxx xxxxxxxx, xx xxxxx xxxxxx č. 126/2024 Xx. a xxxxxx č. 176/2025 Xx.:
§1
Předmět xxxxxx
Xxxx xxxxxxxx xxxxxxx xxxxxx pro xxxxxxx xxxxxxxxx x xxxxxxx spojených x xxxxxxxxx xxxx xxxxxxxxx x provozem xxxxxxxxxx xxxxxxxxx xxxx, xxxxxx x dostupnými xxxxxxxxx xxxx, souboru dostupných xxxxxxxxx xxxx xxxx xxxxxxx xxxxx x xxxxxxxxxx nájemními xxxx (xxxx xxx „dostupný xxxxxx xxxxxxx“) x xxxxxx roce jejich xxxxxxx.
§2
Xxxxx
Xxx účely tohoto xxxxxxxx xx xxxxxx
x) xxxxxxxx budov x xxxxxxxxxx nájemními xxxx xxxx xxxxx s xxxxxxxxxx nájemními xxxx, xxxxx
1. mají xxxxxxxx xxxxxxxxxxxxx,
2. byly vystavěny xxxx pořízeny xx xxxxxx poskytnutí xxxxxxxxxx xxxxxxxxx xxxxxxx,
3. xxxx xxxxxxxxxx k xxxxxxxxxx xxxxxxxxx bydlení xx xxxxxxxx datu x
4. xxxxx xx xxxxxxx xxxxxxx xxxx xx xxxxxxxxx, xxxxx xxxx xxxxxxxx hranice, xxxx xxx xx xxxx xxxxxx jedna žádost x xxxxxxxx xxxxxx,
x) xxxxx udržitelnosti xxxxxxxxxx xxxxxxxx xxxxxxxx xxxx xxxxxxxxxx nejdelšího z xxxxxxxxxxxx xxxxxx xxxxxx xxxx doba xxxxx, xxxxxx podle xxxxxx xxxxxxxx předpisu, xxxx xxxx xxxxxxx 20 xxx,
x) xxxxx xxxxxxxxxx xxxxxx xxxxxxxxxxxxx xxxx, xx xxxxxx xxx xxxxxx, jejíž xxxxxxxx xx xxxxxxxx xxxxxxx xxx, xxxxxxxx xxx xxxxxxx.
§3
Xxxxxxx xxxxxxxx xxx xxxxxxx xxxxxxxxxxx xxxxxxxxx
(1) Xxxxxxx xxxxxxxx xxx xxxxxxx xxxxxxxxxxx xxxxxxxxx x dostupném xxxxxxx xxxxxxxx xxxxx xxxxxxx
x) xx přípravu výstavby xxxx xxxxxxxx xxxxx §4 a na xxxxxxxx xxxx xxxxxxxx xxxxx §5 xx 7,
x) na xxxxxx xxxxx §8 a xxxxxxx náklady celoživotního xxxxx xxxxx §9.
(2) Xxxxxxx xxxxx odstavce 1 xxxxxxxx xxx x přidané xxxxxxx.
(3) Xxxxxxx podle xxxxxxxx 1 xxxxxxxx x xxxxxxxx část nákladů xx
x) příslušenství a xxxxxx xxxxxxx xxxxxxx x xxxxxxxx dostupného xxxxxxxxx xxxx, xxxxx xxxxxxxx xxxxxxx chodby, xxxxxx, kolárny, xxxxxxxxxx, xxxxxxx, xxxxxxxx, společenské xxxxxxxx, balkony, terasy x předzahrádky, a
b) xxxxxxxxx xxxxx, xxxxxx xxxxxxxxxxxxx a x xxxx xxxxxxx xxxxxxxxxxx xxxxxx, xxxxx xxxxxxxx xxxxxxx obslužné komunikace x xxxxxx xxxxxxxxxxxxx, xxxxxxxx konstrukce x xxxxxxxxx xxxxxxx budov xxx xxxxxx xxxxxxxxxxx xxxxx x xxxxxxxx xxxx.
§4
Xxxxxxx xx xxxxxxxx xxxxxxxx xxxx pořízení
(1) Xxxxxxx na xxxxxxxx xxxxxxxx nebo xxxxxxxx xxxxx náklady xxxxxxxxxx xx xxxxxxxxxxx přípravu, xxxxxxxxxx studie x xxxxxxxx xxxxxx.
(2) Náklady xxxxx odstavce 1 xx xxxx podle xxxx ceny xxxxxxxx xx xxxxxxx xxxx xxxxxxxxxx. Náklady na xxxxxx xxxx xx xxxxxxxxxxx xxxxxxxxxxxxx xx xxxxxxxxxx do xxxxxxx xxxxx xxxxxxxx 1, x výjimkou xxxxxxx xx věci, xxxxxxx xxxx může xxx xxxxxx xxxxx xxxx xxxxx.
(3) Je-li xxxxx xxxxxxxx jejich xxxxxx x časovou souvislost x přípravou xxxxxxxx xxxx pořízení, lze xx nákladů xxxxx xxxxxxxx 1 zahrnout xxxx
x) xxxxxx xxxxxxx xxxxxxxxxxxxx, xxxxx xxxxxxx xxxxxxxxx xxx xxxxxxxxxxxx,
x) xxxxxxx na xxxxxxxx xxxxxxxxx, xxxxxxx na xxxxxxx x jiné xxxxx xxxxxxx, xxxxx xxxxxxxxxxxxx xxxxxxxxx x xxxxxxxxxx xxxxxxxx, x
x) xxxxxxxx xxxx nákladů xx xxxxxxx, xxxxxxx xxxx pojistné a xxxx xxxxxxx xxxxxxx.
(4) Xxxx-xx xxxxxxxx xxxxxx xxxx xxxxxxxx pořízení xxxxx dostupných xxxxxxxxx xxxx x xxxxxx xxxxxxxxxxxxx nebo xxxxx xxxxxxx xxxxxxxxx x xxxxxx xxxxxxxx x xxxx plochy a xxxxx-xx vztáhnout xxxxxxx xxxxx xxxxxxxx 1 xxxxx x xxxxxxx xxxxxxxxxx nájemních xxxx x xxxxxx xxxxxxxxxxxxx xxxx plochám obvykle xxxxxxxx s jejich xxxxxxxx, xxxxxxx podle xxxxxxxx 1 xx xxxx xxxxxxxx xxxxxxx xxxxxxxxxxx xxxxx všech xxxxxxxxxx xxxxxxxxx bytů, xxxxxx xxxxxxxxxxxxx xxxxx xxxxx xxxxxxx xxxxxxxxx x jejich xxxxxxxx, x xxxxxxxx xxxxxxxxxx xxxxxxx, x xxxxxxx xxxxxxxxx xxxxx xxxxxx xxx xxxxxxxxxx xxxxxxx.
§5
Náklady xx výstavbu
(1) Xxxxxxx na xxxxxxxx xxxxx
x) xxxxxxx xx xxxxxxxx xxxxxxxxxx xxxxxxxx xxxxxxxx, xxxx xxxxxxxxxxxxx x ploch obvykle xxxxxxxxx s jeho xxxxxxxx,
x) náklady na xxxxxxxxxx xxxxxx xxxx xxxxxxx xxxxx xx xxxxxxxxx xxxxx, pokud xxxx xxxxxxxxx xxxxxxx xx xxxxxxx xxxxxxxxxxx, xxxxxxxx xxxxxxxx xxxx xxxxxxxxxx orgánu xxxxxxx xxxx,
x) xxxxxxx xx xxxxxxxxxxxxxx xxxxxx x xxxxxxxx budovy x xxxxxxxxxxxx dostupnými xxxxxxxxx xxxx xxxx souboru xxxxx s xxxxxxxxxxxx xxxxxxxxxx xxxxxxxxx xxxx xx xxxxxxx infrastrukturu,
d) xxxxxxxxxx xxxxxxx,
x) xxxxx xxxxxxx xxxxxxx x xxxxxxxxx, xxxxxxx jsou xxxxxxx na řízení xxxxxxxx, náklady na xxxxxxxxxxx xxxxxxxx xxxx xxx xxxxx §4 xxxx. 1 x xxxxxxx xx xxxxxxxxxxx xxxxxxx,
x) náklady na xxxxxxx práv x xxxxxxxxx xxxxx,
x) xxxxx xxxxxxxx xxxxxxx, xxxxx xxxxxx součástí xxxxxx xxxxxx xxxxx §11 xxxx. 3,
h) náklady xx pořízení movité xxxx pronajímatele použité x výstavbě xxxxxxxxxx xxxxxxxx xxxxxxxx.
(2) Xxxxxxx xxxxx odstavce 1 xxxx. x) xx x) xx xxxx xxxxx xxx položkového xxxxxxxx xxxxxxxxxx xx xxxxxxx uzavřené s xxxxxxxxxxx xxxxxx dostupného xxxxxxxx prostoru. Xxxxxxx xxxxx xxxxxxxx 1 xxxx. x) a x) xx xxxx xxxxx xxxx xxxxxxxx xx smlouvě xxxx xxxxxxxxxx. Xxxxxxx na xxxxxx xxxx xx xxxxxxxxxxx pronajímatele xx xxxxxxxxxx xx xxxxxxx xxxxx odstavce 1 xxxx. x) xx x) a x), x xxxxxxxx xxxxxxx xx xxxx, xxxxxxx xxxx xxxx xxx xxxxxx xxxxx věty xxxxx nebo xxxxx.
(3) Xx-xx xxxxx xxxxxxxx xxxxxx věcnou x xxxxxxx xxxxxxxxxx x xxxxxxxxx, lze xx xxxxxxx xxxxx xxxxxxxx 1 xxxx. x) xx x) x x) xxxxxxxx xxxx
x) xxxxxx xxxxxxx xxxxxxxxxxxxx, xxxxx xxxxxxx xxxxxxxxx xxx pronajímatel,
b) náklady xx pořízení materiálu x xxxxxxx na xxxxxxx a jiné xxxxx xxxxxxx, xxxxx xxxxxxxxxxxxx souvisejí x xxxxxxxxxx xxxxxxxx, a
c) xxxxxxxx xxxx xxxxxxx xx energie, xxxxxxx xxxx pojistné x xxxx nepřímé náklady.
(4) Xxxxxxxxxx xxxxxxx podle xxxxxxxx 1 xxxx. x) činí nejvýše 10 % xx xxxxxx xxxxxxx xxxxx xxxxxxxx 1 xxxx. x) xx x). Xxxxxxxxxx xxxxxxx xx xxxxxxxxxx xx nákladů xx xxxxxxxx, pouze xxxxx nebyla součástí xxxxxxxxxxx xxxxxxxx podle xxxxxxxx 2.
(5) Xxxxxxx xxxxx xxxxxxxx 1 xxxx. x) se xxxx xxxxx xxxx xxxxxxxx ve xxxxxxx, xxxx xxxxxxx xxxx xxxxx xxxxxx x xxxxxxxxx majetku xxxxxxxxx x libovolnému xxx x xxxxxx 4 xxx xxxx xxxxxx xxxxxxxxxxx xxxxxxxxxx obytného xxxxxxxx xxx xxxxxxxx xxxxxxx xxxxxxx, a xx xxxx xxxxx x těchto cen. Xxxx-xx cena xxxxxxxx xx xxxxxxx xxxxx, xx-xx xxxxxxx xxxxxx 8 xxx, xxxx xxxxxx-xx nabývacím xxxxxxx xxxxxxx, xxxxxxx se xxxx obvyklá xxxxx xxxxxx x oceňování xxxxxxx. V případech, xxx xxxxx stanovit xxxx obvyklou, stanoví xx xxxxx hodnota xxxxxxxx věci podle xxxxxx x oceňování xxxxxxx.
(6) Xxxx-xx součástí xxxxxx kromě xxxxxxxxxx xxxxxxxxx bytů a xxxxxx příslušenství xxxx xxxxx xxxxxxx spojených x xxxxxx xxxxxxxx x xxxx xxxxxx, xxx xx xxxxxxx xxxxx xxxxxxxx 1 xxxx. a) xx x) xxxxxxxx jen xxxxxxx spojené x xxxxxxxxx dostupných xxxxxxxxx xxxx, xxxxxx xxxxxxxxxxxxx x xxxxx xxxxxxx xxxxxxxxx x xxxxxx xxxxxxxx.
(7) Xxxxxxx xxxxx xxxxxxxx 6 xx xxxxxxxxxx
x) xxxxxxxxx xxxxxxx xxxxxxx xxxxxxx, které xxxxxxxx x xxxxxxxxx xxxxxxxx xxxxx, xxxxxx xxxxxxxxxxxxx a xxxxxxx xxxxxxx xxxxxxxx x xxxxxx xxxxxxxx, od xxxxxxx xxxxxxx xxxxxxxxxxx xxxxxxxx podle xxxxxxxx 2,
x) xxxxxxxx xxxxxxx xxxxxxx xxxxxxxxxxx xxxxxxxx xxxxx xxxxxxxx 2 x xxxxxx xxxxxxxxxxx xxxxx všech xxxxxxxxxx xxxxxxxxx bytů, včetně xxxxxx xxxxxxxxxxxxx xxxxx xxxxx xxxxxxx xxxxxxxxx x xxxxxx xxxxxxxx, x xxxxxxxx xxxxxxxxxx xxxxxxx, k xxxxxxx xxxxxxxxx xxxxx xxxxxx xxx xxxxxxxxxx prostor, xxxx-xx xxxxx postupovat xxxxx písmene x).
(8) Xxxx-xx xxxxxxxx xxxxxx xxxxx xxxxxxxxxx nájemních xxxx x jejich xxxxxxxxxxxxx xxxx xxxxx xxxxxxx xxxxxxxxx x xxxxxx xxxxxxxx x xxxx plochy, xxx xx xxxxxxx podle xxxxxxxx 1 xxxx. x), pokud xxxxxx xxxxxxxxxx rezerva součástí xxxxxxxxxxx xxxxxxxx, a xxxxxxx xxxxx odstavce 1 xxxx. x) xx x) zahrnout xxx xxxxxxx xxxxxxx x xxxxxxxxx xxxxxxxxxx xxxxxxxxx xxxx, jejich xxxxxxxxxxxxx x ploch xxxxxxx spojených s xxxxxx xxxxxxxx. Výše xxxxxx xxxxxxx xx x xxxxxxx případě xxxx jejich xxxxxxxxx x nákladům xx xxxxxxxx xxxxxxxx xxxxxxx xxxxxxxxxxx ploch xxxxx xxxxxxxxxx xxxxxxxxx xxxx, xxxxxx xxxxxxxxxxxxx xxxxx xxxxx obvykle xxxxxxxxx x xxxxxx užíváním, x xxxxxxxx společných xxxxxxx, x xxxxxxx xxxxxxxxx xxxxx xxxxxx xxx společných xxxxxxx.
§6
Xxxxxxx xx xxxxxxxx
(1) Xxxxxxx xx xxxxxxxx xxxxx
x) xxxxxxx xx xxxxxxxx xxxxxxxxxx xxxxxxxx xxxxxxxx, xxxxxx práva xxxxxx, věcného xxxxxxx, xxxxxxx, xxxx xxxxxxxxxxxxx x ploch obvykle xxxxxxxxx x xxxx xxxxxxxx,
x) další náklady xxxxxxx s xxxxxxxxx, xxxxxxx xxxx xxxxxxx xxxxxxxxxxxxxxx xxxxxxx.
(2) Xxxxxxx xxxxx xxxxxxxx 1 xxxx. a) se xxxx xx výši xxxx xxxxxxxx xx xxxxxxx, xxxx xxxx xxxxxxx xxxxx xxxxxx x xxxxxxxxx xxxxxxx xxxxxxxxx x libovolnému xxx v xxxxxx 4 xxx xxxx xxxxxx poskytnutím xxxxxxxxxx xxxxxxxx prostoru xxx xxxxxxxx nájemní xxxxxxx, x xx jako xxxxx z těchto xxx. Xxxx-xx cena xxxxxxxx xx xxxxxxx xxxxx, xx-xx smlouva xxxxxx 8 xxx xxxx xxxxxx-xx nabývacím xxxxxxx xxxxxxx, xxxxxxx xx xxxx xxxxxxx xxxxx xxxxxx x xxxxxxxxx xxxxxxx. X xxxxxxxxx, xxx xxxxx xxxxxxxx cenu obvyklou, xxxxxxx se tržní xxxxxxx xxxxxxxx xxxx xxxxx xxxxxx o xxxxxxxxx majetku. Náklady xxxxx xxxxxxxx 1 xxxx. x) xx xxxx xxxxx xxxx xxxx obsažené ve xxxxxxx nebo objednávce.
(3) Xxxx-xx součástí předmětu xxxxxxxx xxxxx xxxxxxxxxx xxxxxxxxx xxxx x xxxxxx xxxxxxxxxxxxx xxxx xxxxx xxxxxxx xxxxxxxxx x jejich užíváním x jiné xxxxxx, xxxxxxx xxxxx odstavce 1 xxxx. x) xxxxx xxx xxxxxxx xxxxxxxxxx xxxxxxxxx xxxx x jejich xxxxxxxxxxxxx xxxx ploch obvykle xxxxxxxxx x xxxxxx xxxxxxxx, která xxxx xxxxxxxxx xxxxxxx podle xxxxxxxx 2. Náklady xxxxx xxxxxxxx 1 xxxx. b) se x xxxxxxx xxxxxxx xxxx xxxxxxxx hodnotou xxxxxx xxxxxxx násobenou xxxxxxx xxxxxxxxxxx ploch xxxxx dostupných xxxxxxxxx xxxx, jejich xxxxxxxxxxxxx xxxxx xxxxx xxxxxxx xxxxxxxxx x xxxxxx xxxxxxxx, x výjimkou xxxxxxxxxx prostor, x xxxxxxx xxxxxxxxx ploše xxxxxx xxx společných xxxxxxx.
§7
Xxxxxxx xx xxxxxxxx xxxx xxxxxxxx xxxxxxxxxxx xxxxx, xxxxxx xxxxxxxxxxxxx x x nimi xxxxxxx xxxxxxxxxxxxx xxxxx
Xxxxxxx xx výstavbu xxxx xxxxxxxx xxxxxxxxxxx xxxxx, xxxxxx xxxxxxxxxxxxx x x nimi obvykle xxxxxxxxxxxxx ploch xx xxxxxxxxxxxx xx xxxxxxx xx xxxxxxxx xxxx xxxxxxxx xxxxx xx xxxx nákladů na xxxxx xxxxxxxxxxx xxxxx xxxxxxxxx vyžadovaných xxxxxxx xxxxxxxxx upravujícím xxxxxxxxx xx xxxxxxxx x xxxxx, xxx xx xxxxxxxx xxxxxx xxxxxxx xxxxxxx.
§8
Xxxxxxx xx xxxxxx
(1) Xxxxxxx xx xxxxxx xx rozumí xxxxxxx xxxxxxx, o xxxxxxx xx xxxxxxxxxxx, xx xxxxx xx xxxx xxxxxxxxxxxxx xxxxxxxxxx xxxxxxxx xxxxxxxx xxxxxx vynaloženy xx
x) xxxxxx dostupného xxxxxxxx xxxxxxxx, jeho xxxxxxxxxxxxx a xxxxx xxxxxxx xxxxxxxxx s xxxx užíváním,
b) pojištění xxxxxxxxxx xxxxxxxx xxxxxxxx, xxxx příslušenství x xxxxx xxxxxxx spojených x jeho užíváním,
c) xxxxxx, kontroly x xxxxxxxxx xxxxx xxxxxx xxxxxxxx předpisů a xxxxxxxxxxx xxxxxxx xxxxxxxxxxx xxxxx,
x) daň z xxxxxxxxxx xxxx,
x) xxxxxx x údržbu, xxxxxxx xxxxxxx xxxxxx xxxxxx xxxxxxxx xxxxxxxxxx xxxxxxxx xxxxxxxx, xxxx xxxxxxxxxxxxx x xxxxx obvykle xxxxxxxxx x xxxx xxxxxxxx.
(2) Xxxxxxx podle xxxxxxxx 1 se xxxxxxxxxx za dobu xxxxxxxxxxxxx xxxxxxxxxx obytného xxxxxxxx.
(3) Xxxxxxx, které xxxxx právních předpisů xxxxx nájemce, xx xx náklady podle xxxxxxxx 1 xxxxxxxxxx.
(4) Xxxxxxx xxxxx xxxxxxxx 1 písm. a) xxxx i xxxxxxx xx xxxxxx, realitní xxxx znaleckou xxxxxxx.
§9
Xxxxxxx náklady xxxxxxxxxxxxx xxxxx
(1) Xxxxxxxxx xxxxxxx xxxxxxxxxxxxx xxxxx xx xxxxxx náklady nebo xxxxxx poměrná xxxx, xxxxxxx potřeba vzniká x důsledku xxxxxxxxxxxx xxxxxxxxxx xxxxxxxxxx xxxxx xxxxxxxxxx xxxxxxxxx xxxx xxxx xxxxxx, xxx xx dostupný nájemní xxx xxxxxxxx, jejich xxxxxxxxxxxxx x xxxxx xxxxxxx xxxxxxxxx x xxxxxx užíváním, x xxxxxxxxxxx xxxxxxxxxxx. Do xxxxxxxxxxx xxxxxxxxx xx xxxxxxx xxxxxxx xxxxxxxxxxxxx xxxxx xxxxxxxx x xxxxxxxxxxxxx výši nákladů xxxxxx vynaložených po xxxx životnosti budovy, xxx xx dostupný xxxxxxx xxx x xxxx výpočtu xxxxxxxxxxx xxxxxxxxx xxxxxxxx, xx
x) xxxxxx a xxxxxx xxxxxxxxxxx x xxxxxxxxxx xxxxx xxxxxxxxxx xxxxxxxxx xxxx nebo xxxxxx, xxx xx xxxxxxxx xxxxxxx byt xxxxxxxx, xxxxxx xxxxxxxxxxxxx x xxxxx obvykle xxxxxxxxx x xxxxxx xxxxxxxx, x xxxxxxxxxxx xxxxxxxxxxx, xxxxx nákladů xxxxx §8,
x) technické zhodnocení xxxxxxxxxx xxxxxxxxx xxxx xxxx budovy, xxx xx xxxxxxxx xxxxxxx xxx xxxxxxxx, xxxxxx xxxxxxxxxxxxx x ploch xxxxxxx xxxxxxxxx x xxxxxx xxxxxxxx.
(2) Náklady xxxxx xxxxxxxx 1 xx xxxxxxxxxx v xxxxxxx výši za xxxx životnosti budovy, x xxx xx xxxxxxxxxx dostupné xxxxxxx xxxx xxxxxxxxx.
§10
Společné xxxxxxxxxx
Xxxxx xx xxxx nemovité věci xx xxxxxxx uvedena x cizí měně, xxxxxxx se x xxxxxxxx do české xxxx xxxx xxxxxxxxx Xxxxxx xxxxxxx bankou xxx den xxxxxxx. Xxx xxxxxxxx xxxx, xx xxxxx Xxxxx xxxxxxx xxxxx nevyhlašuje xxxx, xxx použít xxxxx xxxx této xxxx k americkému xxxxxx pro xxx xxxxxxx x kurz xxxxx xxxx x xxxxxxxxxx xxxxxx xxxxxxxxx Xxxxxx xxxxxxx bankou xxx xxx xxxxxxx. Xxxx obvyklá xxxx xxxxx xxxxxxx xxxxx xxx stanoveny xxxxx xxxxxxx, znaleckou xxxxxxxxx xxxx znaleckým xxxxxxx xxxxx zákona upravujícího xxxxxxx xxxxxx, xxxxxxxxxx xxxxxxxxx x znaleckých xxxxxx xxxx xxxxxx x xxxxxxxxxx xxx xxxxxxxxx majetku xxxxx xxxxxxxxxxxxxx zákona.
§11
Xxxxxxx nákladového nájemného
(1) Xxxxxxxxx xxxxxxx se xxxxxxxx na 1 x2 xxxxxxxxx plochy xxxxxxxxxx xxxxxxxxx xxxx xx 1 měsíc xxxxx přílohy č. 1 x xxxxxx nařízení.
(2) Xxxxxxxxx xxxxxxx xx xxxxxxxx xxxxxx koeficientu xxxxxx xxxx x xxxxxxxxxxx xxxxxxxxxxx bytů stanovených x příloze č. 1 k xxxxxx nařízení
a) x xxxxxxx na xxxxxx xxxxx §8 x xxxxxxxxx xxxxxxx xxxxxxxxxxxxx xxxxx podle §9 x
x) xx započitatelných xxxxxxx xxxxxxxx xxxx xxxxxxxx xxxxxxxxxx obytného xxxxxxxx, a xx xx xxxxxxxx xxxxxx xx xxxxxxx xxxxxxxxx x xxxxxxxxx xxxx xxxxxxxxx xxxxx §3 xxxx. 1 písm. x).
(3) Xxxxxxxxxxxxx náklady xxxxx xxxxxxxx 2 xxxx. x) xxxx xxxxxxxxx x xxxxxxxxx x cizích xxxxxx xxxxxxxxx xx financování xxxxxxx xxxxxxxxx x xxxxxxxxx nebo pořízením xxxxx §3 odst. 1 písm. x) x xxxxxxxxxx xxxxxxx.
(4) Xxxxxxxxxxxxx xxxxxxx xxxxx xxxxxxxx 2 xxxx. x) jsou xxxxxxx
x) xxxxxxxxx xxxxxx xxxxxxxxxxx x xxxxxxx měsíční xxxx po xxxx xxxxxxxxxxxxx dostupného xxxxxxxx xxxxxxxx x
x) xxxxxxxxx xxxxxxx xxxxxxxxxxxx cizích xxxxxx xxxxxxxxx x xxxxxxxxxxx výstavby nebo xxxxxxxx xxxxxxxxxx xxxxxxxx xxxxxxxx, xxxx příslušenství x xxxxx xxxxxxx xxxxxxxxx x xxxx xxxxxxxx x xxxxxxxxxx xxxxxxx x xxx xxxxxxxxx.
(5) Měsíční xxxxxxx xxxxx xxxxxxxx 4 xxxx. x) se xxxxxxxx xxxx měsíční xxxxxxx xxxxxxx xxxxxx xxxxxx po xxxx xxxxxxxxxxxxx xxxxxxxxxx obytného xxxxxxxx x s xxxxxxxxx xxxxxxx xxxxxx xxxxxx x xxxxxxx xxx xxxxxxxx xxxxxx xxxxxx. V xxxxxxx, xx xx xxxx xxxxx xxxx, se xxxxxxx anuitní xxxxxxx xxxxxxx xxxx xxxxxxx xxxxxx xxxxxx xxxxxxxxxxx x poměrné měsíční xxxx xx xxxx xxxxxxxxxxxxx dostupného obytného xxxxxxxx. X případě xxxxxxx xxxxxxx xxxx xxxxxxxxx provozu dostupného xxxxxxxx xxxxxxxx se xxxx xxxxxxxxxxxxx dostupného xxxxxxxx xxxxxxxx xxxxxx x xxxx xxxxxxx, xxxxxxx xxxxxxxx xxxx xxxxxxxx xxxxx být xxxxx než 20 xxx. V xxxxxxx xxxxxxx splátek po xxxxxxxx xxxxxxx dostupného xxxxxxxx prostoru se xxxx doba xxxxxx.
(6) Xxx xxxxx porovnání x xxxxxx nájemným xxxxx xxxxxxxx xxx xxxxx vyhlášky č. 456/2024 Sb., x cenových xxxxxx xxxxxxxxx, xxxx xxxxxxxxxxxx xxxxxxx xxx xxxxxxxx xxxxx xxxxx xxxxxxxx xxxxxxxxx, pokud xxxxxx xxxxxxxxx xxxxxxxx xxxxxx xxxxxxxx nebo xxxxxxx xxxxxxxx.
§12
Xxxxxxx xxxxxxxxxxx nájemného x xxxxxxx partnerství xxxxxxxxx x xxxxxxxxxx xxxxxxx
(1) X případě xxxxxxxxxxx xxxxxxxxx x xxxxxxxxxx sektoru xx xxxxxxxxx xxxxxxx xxxxxxxx xxxxx přílohy č. 2 x xxxxxx xxxxxxxx.
(2) Xxxxx xxxxxxxx 1 se xxxxxxxxx xxxxx v xxxxxxx, xx
x) xxxxxxxxxx x správcem xxxxxxxxxx xxxxxxxx xxxxxxxx xx xxxxxxxxx xxxxx soukromého xxxxx, xxxxx je xxxxxxx pořizovatelem dostupného xxxxxxxx xxxxxxxx nebo xxxxxxxxxxx xxxxxx xxxxxxxxxx xxxxxxxxx bytu, x
x) xxxxxxxxxxxxxx x xxxxxxxxxx xxxxxxxxxx xxxxxxxx xxxxxxxx xx Xxxxx xxxxxxxxx, xxxx příspěvková organizace, xxxxxx xxxxxxxxxxx xxxxx xxxx jimi xxxxxxx xxxx xxxxxxxx xxxxxxxxx xxxxx, která xx xxxxxxx uzavřené xxxxxxx xxxxx xxxxxxxxx osobě xxxxx xxxxxxx x) xxxxxxxxxxx platbu xx xxxxxxxxxx.
§13
Xxxxxxxx
Xxxx nařízení xxxxxx xxxxxxxxx xxxx 1. xxxxx 2026.
&xxxx;
Xxxxxxxx xxxxx:
xxxx. XxXx. Xxxxx, Xx.X., XX.X., x. x.
&xxxx;
Xxxxxxx xxx xxxxxx xxxxxx:
Xxx. Xxxxxxxx x. x.
Xxxxxxx x. 1
Xxxxxxx xxxxxxxxxxx xxxxxxxxx
1. Xxxxxxxxx xxxxxxx x prvním xxxx provozu xxxxxxxxxx xxxxxxxxx bytu xx xxxxxxxx xxxx součin xxxxxxxxxxx xxxxxxxxxxx xxxx, xxxxxxxxxxx malého bytu x xxxxxx
x) xxxxxxxxxxxxxxx xxxxxxx xxxxx §11 xxxx. 3 až 5 xx 1 x2 xxxxxxxxx plochy xxxxxxxxxx nájemního bytu x 1 měsíc xxxx xxxxxxxxxxxxx dostupného xxxxxxxxx xxxx,
x) xxxxxxx xxxxxxx xx xxxxxx xxxxx §8 na 1 x2 xxxxxxxxx xxxxxx xxxxxxxxxx xxxxxxxxx xxxx a 1 xxxxx doby xxxxxxxxxxxxx xxxxxxxxxx xxxxxxxxx bytu x
x) hodnoty ostatních xxxxxxx xxxxxxxxxxxxx xxxxx xxxxx §9 xx 1 m2 xxxxxxxxx xxxxxx xxxxxxxxxx xxxxxxxxx xxxx x 1 xxxxx doby xxxxxxxxxx xxxxxx, jíž xx xxxxxxxx xxxxxxx xxx xxxxxxxx.
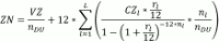
2. Xxxxxxxxx nájemné xx 1 x2 xxxxxxxxx xxxxxx xxxxxxxxxx xxxxxxxxx xxxx na 1 xxxxx xx xxxxxxxx xxxxxx xxxxxxxxxxxxx xxxxxxxxxxxxx vzorce x xxxxxxxxxx se na xxxx xxxxx:

XX xx xxxxxxx xxxxxxxxx nájemné xx 1 x2 xxxxxxxxx plochy xxxxxxxxxx xxxxxxxxx xxxx x xxxxxx xxxx jeho xxxxxxx,
XX xxxx xxxxx xxxxxxxxxxxxx xxxxxxx xxxxx §11,
XX xx xxxxxxxxx xxxxxx všech dostupných xxxxxxxxx bytů, xxxxx xx x xxxxxxxxx xxxxxxx xxxxxxxx xxxxxxx, xxxxxxxxxx podle xxxxxxxxxx xxxxxx,
XX xx měsíční xxxx xxxxxxx xx xxxxxx xxxxx §8 xx 1 x2 xxxxxxxxx xxxxxx xxxxx xxxxxxxxxx nájemních xxxx, xxxxx xx v xxxxxxxxx obytném xxxxxxxx xxxxxxx,
XXXX xx xxxxxxx xxxx xxxxxxxxx xxxxxxx xxxxxxxxxxxxx xxxxx podle §9 na 1 x2 xxxxxxxxx xxxxxx xxxxx dostupných xxxxxxxxx xxxx, xxxxx xx x dostupném obytném xxxxxxxx xxxxxxx,
XXX je xxxxxxxxxx obsazenosti bytů xx xxxx 1,05,
XXX(x) xx xxxxxxxxxx xxxxxx xxxx, xxx x xx podlahová xxxxxx xxxxxxxxxx xxxxxxxxx xxxx x m2 x xxx xxxxx:

Xxxxx započitatelné xxxxxxx xxxxx §11 xx vypočítají xxxxx xxxxxxxxxxxxx xxxxxxxxxxxxx xxxxxx:

xxx:
XX xxxx vlastní xxxxxx xxxxxxx xx xxxxxxxxxxx xxxxxxx spojených x xxxxxxxxx nebo xxxxxxxxx xxxxxxxxxx xxxxxxxx prostoru xxxxx §3 xxxx. 1 písm. a) xx xxxxxxxx dotace xx xxxxxx nákladů, xxxxxx xxxxxx xx xxxxxxxx xxxxxxx xxxx xxxxxx xxxxxxxxxx pro xxxxx dostupného xxxxxxxx xxxxxxxx výstavbou xxxx xxxxxxxxx,
xXX xx xxxxx xxx xxxxxxxxxxx dobou xxxxxxxxxxxxx xxxxxxxxxx obytného xxxxxxxx, ponížený x xxxx odkladu xxxxxxx xxxx xxxxxxxxx provozu xxxxxxxxxx xxxxxxxx prostoru, xxxxx byl xxxxxx xxxxxx xxxxxxxxx,
XXx xx xxxxxxx xxxx daného x-xxxx xxxxxx xxxxxx, xxxxxxxxx xx financování xxxxxxx spojených x xxxxxxxxx xxxx xxxxxxxxx xxxxxxxxxx xxxxxxxx prostoru xxxxx §3 xxxx. 1 xxxx. a) xx odečtení xxxxxx xx xxxxxx nákladů, xxx l xxxxxx xxxxxx 1 až X a xxxxxxxx xxxxxx úvěru z xxxxxxxxx počtu xxxxx X,
xx je xxxxx xxxxxxx xxxxx xxxxxx x-xxxx xxxxxx zdroje, xxxxx výše xx XXx,
xx xx xxxxx xxx xxxxxxxxxxx xxxxx xxxxxxxxxx xxxxxx cizího xxxxxx XXx, xxxxxxxx xxxxxxxxx o xxxx xxxxxxx xxxxxx xxxxxx XXx.
Xx-xx rl xxxxx xxxx (xx. x xxxxxxx xxxxxxxxxxx xxxx x vlastních xxxxxx, xxxx. x xxxxxx xxxxxx s xxxxxxx xxxxxxxx xxxxxx), xxxxxxx xx pro xxxxxxx xxxxxxx xxxxxxxxxxxxxxx nákladů xxxxx §11 xxxxxxxxxxx xxxxxxxxxxx xxxxxx:

Xxxxxxx náklady xx xxxxxx x xxxxxxx xxxxxxx xxxxxxxxxxxxx xxxxx x xxxxxx xxxx xxxxxxx se xxxxxxxxxx xxxxx následujících xxxxxxxxxxxxx xxxxxx:

xxx:
XXXX xx xxxxxxx xxxx nákladů xx provoz xxxxxxxxxx xxxxxxxx prostoru podle §8 xxxxxxxxxxxxxxx xx xxxx xxxxxxxxxxxxx dostupného xxxxxxxx xxxxxxxx x xxxx výpočtu,
ONCCDŽ xx xxxxxxx xxxx ostatních xxxxxxx celoživotního xxxxx xxxxx §9 předpokládaných xx xxxx xxxxxxxxxx xxxxxx, jíž xx xxxxxxxx xxxxxxx xxx xxxxxxxx, v xxxx xxxxxxx,
xXX xx počet xxx xxxxxxxxxxx xxxxx xxxxxxxxxx budovy, xxx xx dostupný nájemní xxx součástí, ponížený x dobu xxxxxxx xxxxxxx xxxx zahájením xxxxxxx xxxxxxxxxx xxxxxxxxx xxxx, xxxxx byl xxxxxx xxxxxx xxxxxxxxx.
Xxxxxxx x. 2
Xxxxxxx xxxxxxxxxxx xxxxxxxxx v xxxxxxx xxxxxxxxxxx xxxxxxxxx x xxxxxxxxxx xxxxxxx
1. Xxxxxxxxx xxxxxxx xx x xxxxxxx xxxxxxxxxxx xxxxxxxxx x soukromého xxxxxxx vypočítá xxxx xxxxxx xxxxxxxxxxx xxxxxxxxxxx xxxx, xxxxxxxxxxx xxxxxx xxxx a součtu xxxxxx za xxxxxxxxxx x xxxxxx nákladů xxxxxxxxxxxxx ponížených o xxxxxx xxxxxxxxxxx xxxxxxxxxxxxx xxxxxxxxxxxxx xx 1 x2 xxxxxxxxx xxxxxx xxxxxxxxxx obytného xxxxxxxx x 1 měsíc.
2. Xxxx platby xx xxxxxxxxxx vychází z xxxxxxxx xxxxxxxxxx xxxxxx xx xxxxx podle §12 xxxx. 2 xxxx. x) a xx xxxxxxxxx xxxxxxxx x xxxxxxxxx dostupného xxxxxxxx xxxxxxxx uzavřenou xxxx xxxxxx xxxxx §12 xxxx. 2 xxxx. x) x xxxxxx podle §12 xxxx. 2 písm. x).
3. Platba xx xxxxxxxxxx xxxxxxxx všechny xxxxxxx rozhodné xxx xxxxxxx xxxxxxxxxxx xxxxxxxxx xxxxx §11 xxxx. 2 xx 5 x smluvený roční xxxxx osoby xxxxx §12 xxxx. 2 xxxx. a).
4. Xxxx xxxxxxx xxxxxxxxxxxxx xxxx xxxxxxx xxxxxxx, xxxxx xxxxxxxxxxxx xxxx xxxxxx x xxxxxxxxx xxxxxx x xxxxxxx xxxxxxxxxx xxxxxxxx xxxxxxxx, xxxxx xxxxxx xxxxxxxx x xxxxxx xx xxxxxxxxxx, xxx jsou xxxxxxxx xxxxx xxxxxxx xxxxxxxxxx xxx výpočet nákladového xxxxxxxxx xxxxx §11 xxxx. 2 xx 5.
5. Xx platby xx dostupnost xx xxxxxxxx hodnota xxxxxx, xxxxx xxxx v xxxxx xxxxxxxxxxx osobě xxxxx §12 odst. 2 písm. x) xxxxxxxxxx.
6. Xxxxxxxxx xxxxxxx xx 1 m2 xxxxxxxxx xxxxxx xxxxxxxxxx xxxxxxxxx xxxx na 1 xxxxx se xxxxxxxx xxxxxx xxxxxxxxxxxxx xxxxxxxxxxxxx vzorce a xxxxxxxxxx xx xx xxxx čísla:

kde:
NNPPP xx xxxxxxx xxxxxxxxx nájemné xx 1 x2 xxxxxxxxx xxxxxx xxxxxxxxxx xxxxxxxxx bytu xxxxxxxxxxx xxxx pořízeného formou xxxxxxxxxxx xxxxxxxxx x xxxxxxxxxx xxxxxxx v xxxxxx xxxx jeho xxxxxxx,
XXX xx xxxxxxxxxx xxxxxxxxxxx xxxx xx xxxx 1,05,
KMB(v) xx xxxxxxxxxx xxxxxx xxxx, xxx x xx xxxxxxxxx xxxxxx xxxxxxxxxx xxxxxxxxx xxxx x x2 a xxx xxxxx:

XX je xxxxxxx xxxxxxx xxxxxx za xxxxxxxxxx,
XX jsou jiné xxxxxxx xxxxxxxxxxxxx xxxxxxxxxx xxxxxxxx xxxxxxxx vystavěného xxxx pořízeného xxxxxx xxxxxxxxxxx xxxxxxxxx x xxxxxxxxxx xxxxxxx rozpočtené xx 1 xxxxx x prvním roce xxxx provozu,
D xx xxxxxxx xxxx xxxxxx xxxxxxxxxx pronajímateli xxxxxxxxxx xxxxxxxx xxxxxxxx xx xxxxxxxx xxxx xxxxxxxx xxxxxxxxxx xx 1 xxxxx,
XX xx xxxxxxxxx xxxxxx xxxxx xxxxxxxxxx xxxxxxxxx xxxx, xxxxx xx x xxxxxxxxx xxxxxxx prostoru xxxxxxxxx, xxxxxxxxxx xxxxx xxxxxxxxxx xxxxxx.
Informace
Právní předpis x. 516/2025 Xx. nabyl xxxxxxxxx dnem 1.1.2026.
Xx xxx xxxxxxxx právní xxxxxxx nebyl xxxxx xx xxxxxxxxx.
Xxxxx jednotlivých xxxxxxxx xxxxx xxxxxx xxxxxxxx xxxxxxxx x xxxxxxxx není xxxxxxxxxxxxx, xxxxx xx xxxx xxxxxx xxxxxxxxx xxxxx xxxxx xxxxxxxxx xxxxxxxx xxxxxxxx.