Právní předpis byl sestaven k datu 22.04.2026.
Zobrazené znění právního předpisu je účinné od 01.01.2026.
Vyhláška, kterou se mění vyhláška č. 334/2013 Sb., k provedení některých ustanovení zákona o povinném značení lihu, ve znění pozdějších předpisů, vyhláška č. 358/2014 Sb., k provedení některých ustanovení zákona o působnosti orgánů Celní správy České republiky v souvislosti s vymáháním práv duševního vlastnictví, ve znění vyhlášky č. 610/2020 Sb., vyhláška č. 245/2016 Sb., k provedení některých ustanovení celního zákona, ve znění pozdějších předpisů, a vyhláška č. 386/2025 Sb., o formulářových podáních pro daně z příjmů
498/2025 Sb.
ČÁST PRVNÍ - Změna vyhlášky k provedení některých ustanovení zákona o povinném značení lihu Čl. I
ČÁST DRUHÁ - Změna vyhlášky k provedení některých ustanovení zákona o působnosti orgánů Celní správy České republiky v souvislosti s vymáháním práv duševního vlastnictví Čl. II
ČÁST TŘETÍ - Změna vyhlášky k provedení některých ustanovení celního zákona Čl. III
ČÁST ČTVRTÁ - Změna vyhlášky o formulářových podáních pro daně z příjmů Čl. IV
ČÁST PÁTÁ - ÚČINNOST Čl. V
498
XXXXXXXX
xx xxx 20. xxxxxxxxx 2025,
kterou xx xxxx xxxxxxxx x. 334/2013 Xx., k xxxxxxxxx xxxxxxxxx ustanovení xxxxxx x xxxxxxxx xxxxxxx lihu, xx xxxxx pozdějších předpisů, xxxxxxxx č. 358/2014 Xx., k xxxxxxxxx xxxxxxxxx xxxxxxxxxx zákona x xxxxxxxxxx xxxxxx Xxxxx xxxxxx České xxxxxxxxx x souvislosti x xxxxxxxxx xxxx xxxxxxxxx xxxxxxxxxxx, ve xxxxx xxxxxxxx x. 610/2020 Sb., xxxxxxxx x. 245/2016 Xx., x provedení xxxxxxxxx xxxxxxxxxx celního xxxxxx, xx znění xxxxxxxxxx xxxxxxxx, x vyhláška x. 386/2025 Xx., x formulářových xxxxxxxx xxx xxxx z xxxxxx
&xxxx;
Xxxxxxxxxxxx xxxxxxx xxxxxxx xxxxx §72 xxxx. 4 x 5 xxxxxx x. 280/2009 Xx., xxxxxx xxx, xx znění xxxxxx x. 283/2020 Sb. x xxxxxx x. 218/2025 Xx., xxxxx §75 zákona x. 307/2013 Xx., o xxxxxxxx xxxxxxx xxxx, xx xxxxx xxxxxx x. 218/2025 Xx., x xxxxx §54 xxxxxx x. 355/2014 Xx., x xxxxxxxxxx xxxxxx Xxxxx správy Xxxxx republiky x xxxxxxxxxxx s xxxxxxxxx xxxx duševního xxxxxxxxxxx:
ČÁST XXXXX
Xxxxx vyhlášky x provedení xxxxxxxxx xxxxxxxxxx xxxxxx x xxxxxxxx značení lihu
Čl. X
Xxxxxxxx č. 334/2013 Sb., k xxxxxxxxx některých xxxxxxxxxx xxxxxx o povinném xxxxxxx xxxx, xx xxxxx vyhlášky x. 610/2020 Sb. x xxxxxxxx x. 219/2025 Xx., xx xxxx xxxxx:
1. Příloha x. 2 xxx:
„Xxxxxxx č. 2
XXXXXXXXXX xxxxxxxxxxx xxxxx
1. Xxxxx právnické xxxxx xxxx xxxxx x xxxxxxxx xxxxxxx xxxxx xxxxxxx značit líh
2. Xxxxxxxxxxx xxxxxxx xxxxx
3. Xxxxx objednaných xxxx xxxxxxxxxxx xxxxx
4. Xxxxxxxx xxxx xx xxxxxxxxxxxxxxx xxxxxx xxxxxxxxx v xx xxxxxxx při 20 °X
5. Rozměr xxxxxxxxx xxxxx (xx)
x) 90 x 16
x) 150 x 16
x) 210 x 16
6. Xxxxx xxxxxxx xxxxxxxx xxxxxxxxxxx xxxxx
x) osobní xxxxx, xxxxx xxx xxxxxxxx kontrolních xxxxx, xxxxx, xxxxxx
x) doručení xx adresu, doručovací xxxxxx, návrh xxxxxxxxxxxxx xxxxxxxxxx xxxxxx xxx xxxxxxxx xxxxxxxxxxx xxxxx, xxxxx x příjmení xxxxx xxxxxxxxx xxxxxxxxx xxxxx převzít, xxxxx xxxxxxxx dokladu xxxxx xxxxxxxxx xxxxxxxxx xxxxx xxxxxxx x xxxx xxxxxx tohoto dokladu
7. Xxxxx objednávky kontrolních xxxxx, xxxxx x xxxxxx osoby povinné xxxxxx xxx, popřípadě xxxxx xxxxxxxxx xxxxxx xxxxxx xxxxx xxxxxxx xxxxxx xxx
8. Vyplní xxxxxxxx xxxxxxx daně
a) xxxxx xxxxxxx
x) xxxxx xxxxxxxx objednávky xxxxxxxxxxx xxxxx
x) potvrzení objednávky xxxxxxxx xxxx
x) xxxxxx xxxxxxxx kontrolních pásek: xxxxxx odběr / xxxxxxxx xx adresu
e) xxxxxxxxx xxxxxxxxxxxx dne xxxxxxxx kontrolních xxxxx, xxxxx, hodina
f) xxxxxxxxx xxxxxx xxxxxxxx xxx xxxxxxxx xxxxxxxxxxx pásek, xxxxx, xxxxxx
x) evidenční xxx xxxxxxxxxxx xxxxx
25 3001 XXxx 3001
XXXXXX x vyplnění objednávky xxxxxxxxxxx pásek
Jsou-li x xxxxx formulářovém podání xxxxxxxxxx xxxxx, jejichž xxxxx xxxx xxxxx xxxx stanoveny jiným xxxxxxx xxxxxxxxx, xxxxxxx xx xxxx údaje x tímto xxxxxxx x x této xxxxx, xxxx-xx xxxxxxxxx xxxxx.
1. Xxxxxx xxxxx xxxxxxxxx osoby nebo xxxxx x xxxxxxxx xxxxxxx xxxxx povinné xxxxxx xxx.
2. Xxxxxx xxxxxxxxxxx xxxxxxx číslo, xxxxx vám xxxx xxxxxxxxx xxx xxxxxxxxxx xxxxx xxxxxxx xxxxxx xxx.
3. Uveďte xxxxx xxxxxxxxxxxxx xxxx kontrolních xxxxx (xxxxxxxx).
4. Xxxxxx xxxxxxxx xxxx ve xxxxxxxxxxxxxxx xxxxxx xxxxxxxxx x xx etanolu xxx 20 °X xxxxxxxxxxxx na celé xxxxxxxxx směrem xxxx.
5. Xxxxxx xxxxxx xxxxxxxxxxx xxxxxxxxx xxxxx. Xxxxxxxxx xxxxx xx vyrábí x xxxxxxxxx 90 xx x 16 xx, 150 mm x 16 mm x 210 mm x 16 mm.
6. Xxxxxxx xxxxxxx xxxxx xxxxxxx xxxxxxx xxxxxxxx xxxxxxxxxxx pásek, x xxxxxxx xxxxx xxxxxxxx xxxxxx xxxxxx xxxxx xxx x hodiny xxxxxxxx xxxxxxxxxxx xxxxx, x xxxxxxx xxxxx xxxxxxxx na xxxxxx xxxxxx doručovací xxxxxx, xx xxxxxx xxxx xxx objednané kontrolní xxxxx xxxxxxxx, návrh xxxxxxxxxxxxx xxxxxxxxxx služeb, xxxxx xxxxxxxxxxxxxxx xx xxxx xxx xxxxxxxxx xxxxxxxxx pásky doručeny, xxxxx a příjmení xxxxx xxxxxxxxx kontrolní xxxxx xxxxxxx xx xxxxxxxxxxxxx poštovních xxxxxx, xxxxx xxxxxxxx dokladu xxxxx xxxxxxxxx xxxxxxxxx xxxxx xxxxxxx a xxxx xxxxxx xxxxxx xxxxxxx. X xxxxxxx xxxxxxxx xxxxxxxx xxxxx xxxxxxxxx xxxxx xxxxxxxxxx x xxxxxxxxxx xx Xxxxxx xxxxx xxx Xxxxxxxxxxx kraj, xxxxxxxx XXXX, Xxxxxxxxxx 198, 284 18 Xxxxx Xxxx.
7. Xxxxxx xxxxx xxxxxxxxxxx xxxxxxxxxx xxxxxxxxxxx xxxxx, xxxxx, příjmení x xxxxxx xxxxx xxxxxxx značit xxx, xxxxxxxx xxxxx oprávněné xxxxxx xxxxxx xxxxx xxxxxxx značit líh.
8. Xxxx „Xxxxxx xxxxxxxx xxxxxxx daně“ xx xxxxxx pro potvrzení xxxxxxxxxx kontrolních pásek xxxxxxxxx xxxxxxxx xxxx.“.
2. Xxxxxxx č. 6 xx 10 xxxxx:
„Xxxxxxx x. 6
XXXXXXXXX x xxxxxxxxxx osoby povinné xxxxxx líh
1. Xxxxx xxxx
2. Xxxxxx identifikační xxxxx
3. Xxxxx číslo / xxxxx narození
4. XXX
5. Xxxxxxxxx xxxxx (xxxx xxx „osoba xxxxxxx xxxxxx líh“): xxxxx právnické xxxxx
6. Xxxxxxx osoba (dále xxx „osoba xxxxxxx xxxxxx líh“)
a) xxxxxxxx
x) xxxxx příjmení
c) xxxxx
7. Xxxxx právnické xxxxx / xxxxxx místa xxxxxx fyzické xxxxx
x) xxxx
x) XXX
x) xxxxx (xxxx část obce)
d) xxxxx xxxxxxx / xxxxx xxxxxxxxxx
x) stát
f) x-xxxx (xxxxxxxxx xxxx)
x) xxxxxxx (nepovinný xxxx)
8. Xxxxxx pro xxxxxxxxxx x České xxxxxxxxx
x) xxxx
x) XXX
x) ulice (xxxx xxxx obce)
d) xxxxx xxxxxxx / xxxxx orientační
9. Xxxxxxxxxx XXX
x) xxxxxxxxx xxxxxxxxxx XXX
x) stát
10. Xxxxx, xxxxx xxxx statutárním xxxxxxx - jeho xxxxxx
x) xxxxxxxx
x) rodné xxxxxxxx
x) xxxxx
x) xxxxx xxxxx / datum xxxxxxxx
x) obec
f) XXX
x) xxxxx (nebo xxxx xxxx)
x) xxxxx xxxxxxx / xxxxx xxxxxxxxxx
x) xxxx
11. Xxxxxxxxx xxxxxxxxxx xxxxxxx xxxxxxxxxx xxxxx xxxxxxxx osoby xxxxxxx xxxxxx líh
a) xxxxxx xxx
x) xxx xxxxxx
x) xxx
12. Xxxxxxxx xxxxx xxxxxxxx znemožňující xxxxx xxxxxxxx xxxxx xxxxxxx xxxxxx xxx ANO/NE
13. Xxxxxxxx zákaz činnosti xxxxxxxxxxxx xxxxx xxxxxxxx xxxxx povinné xxxxxx xxx x xxxxxxxxxxxx xxxxxx / xxxxx xxxxxxxxxxxx xxxxxx ANO/NE
14. Xxxxxxxxx xxxxxxxx
x) příjmení
b) xxxxx příjmení
c) xxxxx
x) xxxxx xxxxx / xxxxx xxxxxxxx
x) xxxx
x) XXX
x) xxxxx (xxxx xxxx obce)
h) číslo xxxxxxx / xxxxx xxxxxxxxxx
x) xxxx
x) xxxxxxxxxx xxxxxxxxx xxx více xxxx povinných značit xxx XXX/XX
x) xxxxxxxx xxxxx xxxxxxxx xxxxxxxxxxxx xxxxx xxxxxxxx osoby xxxxxxx značit xxx x odpovědného xxxxxxxx XXX/XX
15. X xxxxxx XXX/XX
16. X likvidaci XXX/XX
17. Spolehlivost
a) x xxxxx xxxxxxx xxxxxx xxx XXX/XX
x) x xxxxxxxxxxx zástupce XXX/XX
x) x xxxxxxxxxxxx xxxxxx XXX/XX
18. Údaje o xxxxx, xxxxx osoba xxxxxxx značit xxx xxxxxxx xx xxxxxxx xxxx
x) xxxx
x) PSČ
c) xxxxx (nebo xxxx xxxx)
x) číslo popisné / číslo orientační
e) xxxx
19. Kauce
a) kauce xxxxxxxxxx xx xxxx 100 000 Xx / 500 000 Xx / 5 000 000 Kč
b) xxxxxxx na zvláštní xxxx celního xxxxx XXX/XX
x) poskytnutá xxxxxxxx xxxxxxx ANO/NE
20. Xxxxx xxxxxxx lihu xx xxxxxxxx xxxxxxxxxx xxxxxxxxx XXX/XX
21. Údaje x xxxxxxxx nebo xxxxxxxxx xxxxxxxx x xxxxx xxxxx xxxxxx x xxxxxxxxxxx xxxxxx
x) xxxxxx xxx
x) pod xxxxxx
x) xxx
22. Xxxxx xxxxxxx xxxxxx xxx xxx xxxx xxxxxx pouze xxxxxxxxxxxxxxx zahraničního xxxxxxxxxx x xxxx xx xxxxxx pouze o xxx, který xxxx xxxxxx do xxxxxxx xxxxxxxx xxxxx xxxx xxxxx Xxxxx republiky XXX/XX
23. Xxxxx registrované xxxxx povinné xxxxxx xxx
x) ANO/NE
b) den, xx xxxxxxx xx xxxxx ke změně xxxxxxxxxxxx osoby xxxxxxx xxxxxx xxx
24. Xxxxx xxxxxxxxxxxx xxxxx xxxxxxx xxxxxx xxx
x) xxxxxxxx
x) xxxxx
x) xxxxxxxxxxx číslo xxxxx xxxxxxxxxxxx xxxxx xxxxxxx značit xxx
x) xxxxx xx o xxxxx xxxxxxx ANO/NE
25. Xxxxxxx
x) xxxxxxxxx zařízení
b) xxx xxxxx xxxxxxxxxxxx xxxxx souhlas xxxxx xxxxxxxxxxxx osoby xxxxxxx xxxxxx xxx xx xxxxxx xxxxxxxxxxxx osoby xxxxxxx xxxxxx xxx xxxxx §24x odst. 2 xxxxxx x. 307/2013 Xx., o xxxxxxxx xxxxxxx lihu, xx xxxxx pozdějších xxxxxxxx (dále jen „xxxxx o xxxxxxxx xxxxxxx lihu“).
c) při xxxxx registrované osoby xxxxxx podle §24x xxxx. 2 xxxx. x) xxxxxx o xxxxxxxx značení xxxx
x) xxx xxxxx xxxxxxxxxxxx xxxxx xxxxxx podle §24x odst. 2 xxxx. x) xxxxxx x xxxxxxxx xxxxxxx xxxx
x) ostatní
26. Xxxxx x xxxxxxxx
x) Xxxxx xxxxxxxxx osoby / Xxxxx x příjmení
b) XXX / Xxxxxxxxx xxxxx xxxxxxxxx xxxxxxxx xxxxxxx / datum xxxxxxxx
27. Xxxxx
28. Xxxxx x xxxxxxxx xxxxx xxxxxxxxxxxx xxxxxxxxx x xxxxxxxxxx
29. Xxxxx xxxxxxxxxxxx xxxxx k xxxxxxxxx xxxxx
30. Xxxxxx
253112 XXxx 3112
XXXXXX x xxxxxxxx xxxxxxxxx x xxxxxxxxxx xxxxx xxxxxxx značit xxx
Xxxx-xx x xxxxx xxxxxxxxxxxx xxxxxx požadovány xxxxx, xxxxxxx xxxxx xxxx xxxxx jsou xxxxxxxxx xxxxx xxxxxxx xxxxxxxxx, xxxxxxx xx xxxx xxxxx s xxxxx obsahem x x xxxx xxxxx, xxxx-xx xxxxxxxxx xxxxx.
1. Xxxxxx xxxxx xxxxxx xxxxxxxxxxx xxxxxxx xxxxx. Xxxxxx xxxxxxxxxxx registrované xxxxx se určuje xxxxx zákona x. 280/2009 Xx., xxxxxx xxx, ve znění xxxxxxxxxx xxxxxxxx (dále xxx „xxxxxx řád“), xxxx. podle xxxxxx x. 17/2012 Xx., x Xxxxx xxxxxx Xxxxx xxxxxxxxx, xx xxxxx pozdějších xxxxxxxx.
2. Xxxxxx daňové xxxxxxxxxxxxx xxxxx xxxxxxxxx registrované xxxxx, xxxxx xxx xxxx přiděleno. Pokud XXX xxxxxxxxx xxxxxx, xxxxxx tzv. vlastní xxxxx xxxxxx (VČP) xxxxxxxxx Xxxxx xxxxxxx Xxxxx xxxxxxxxx.
3. X xxxxxxx registrace xxxxxxx xxxxx xxxxxx xxxxx xxxxx xxxxxxxxx x Xxxxx xxxxxxxxx. Xxxx-xx xxxxxxx xxxxx xxxxxx xxxxx xxxxx xxxxxxxxx, xxxxxx xxxxx xxxxxxxx.
4. Xxxxxx xxxxxxxxxxxxxx číslo xxxxx, xxx kterým xx xxxxxxxxxxxx xxxxx xxxxxx v registru xxxx, pokud xxxx xxxxxx xxxxx xxxxxxxxx.
5. X xxxxxxx xxxxxxxxxx xxxxxxxxx xxxxx xxxxxx xxxxx xxxxxxxxx xxxxx.
6. X xxxxxxx registrace xxxxxxx xxxxx xxxxxx xxxx xxxxxxxx, xxxxx xxxxxxxx a xxxxx. Xxxxx xxxxxxxx xx xxxxxxx x xxxxxx xxxxx nebo x xxxxxxxx xxxxxxxxx u xxxxxxxxxxxx xxxx.
7. V xxxxxxx registrace xxxxxxxxx xxxxx uveďte adresu xxxxxx xxxxx v xxx podání xxxxxxxxx. X případě xxxxxxxxxx xxxxxxx xxxxx xxxxxx xxxxxx xxxxx xxxxxx xxxxxx x den xxxxxx xxxxxxxxx. Xxxxxx xxxxxx x xxxxxxxx xxxxxxxxxx. Xxxxxxx x-xxxxx x xxxxxxxx xx xxxxxxxxx.
8. Pokud žádáte x xxxxxxxxxx xx xxxxx adresu, xxx xx adresa xxxxx (x xxxxxxxxx osoby) xxxx adresa xxxxxx (x xxxxxxx xxxxx), xxxxxx xxxxxx pro xxxxxxxxxx x Xxxxx xxxxxxxxx x xxxxxxxxxxx xxxxxxxxxx. Xxxxxxxxxx xxxxxxxxxx xxxxxxxxxxxx není touto xxxxxxx xxxxxxx.
9. Uveďte xxxxxx xxxxxxxxxxxxx číslo xxxxxxxxx x zahraničí x xxxx, kde xxxx xxxx xxxxx xxxxxxxxx.
10. X xxxxxxx xxxxxxxxx xxxxx xxxxxx xxxxxxxxx xx xxxxxxxxxxxx xxxxxx nebo ke xxxxxxx členu statutárního xxxxxx (xxxxx xxxxx xxxxx xxxxxxxxx x xxxxxx xxxxx xxxxxxxxxxxx xxxxxx v přihlášce, xxxxxx informace x xxxxxxxxxxx xxxxxxxxxx v xxxxxxx)
x) xxxx xxxxxxxxx xxxxxxxx,
x) příjmení uvedené x rodném xxxxx xxxx x xxxxxxxxx xxxxxxxxxxx x zahraničních xxxx,
x) jméno xx xxxxxxx xxxxx v xxxxx xx uvedeno x xxxxxx listě xxxx x xxxxxxxxx xxxxxxxxxxx u xxxxxxxxxxxx xxxx,
x) rodné xxxxx, xxxx-xx xxxxxxxxx xxxxx xxxxx xxxxxx datum xxxxxxxx,
x) až x) xxxxxx xxxxx jejího xxxxxx v xxx xxxxxx xxxxxxxxx; xxxxxx xxxxxx v xxxxxxxx xxxxxxxxxx.
11. Xxxxxx x xxxxxxxx xxxxxxxxxx xxxxxxxxxxxx xxxx, xxxxx xxxxxxxxx xxxxx, číslo xxxxxxxxx x xxxxx xxxx xxxxxx.
12. Xxxxxxx odpovídající xxxxxxxx.
13. Označte xxxxxxxxxxxx xxxxxxxx.
14. Xxxxx je xxxxxxxxx xxxxxxxxx xxxxxxxx, xxxxxx x xxxx xxxxxxxxx
x) nyní xxxxxxxxx xxxxxxxx,
x) xxxxxxxx uvedené x xxxxxx listě xxxx v obdobných xxxxxxxxxxx u zahraničních xxxx,
x) jméno xx xxxxxxx xxxxx x xxxxx xx uvedeno xx rodném listě xxxx x xxxxxxxxx xxxxxxxxxxx u xxxxxxxxxxxx xxxx,
x) xxxxx xxxxx, xxxx-xx přidělené rodné xxxxx xxxxxx xxxxx xxxxxxxx,
x) xx x) xxxxxx místa xxxx xxxxxx x xxx xxxxxx xxxxxxxxx; xxxxxx xxxxxx v xxxxxxxx xxxxxxxxxx,
x) xxx xx xxxxxxxxx xxxxxxxx odpovědným xxxxxxxxx pro xxxx xxxx xxxxxxxxx xxxxxx,
x) xxx xxx odpovědnému xxxxxxxx xxxxxxxx zákaz xxxxxxxx xxxxxxxxxxxx výkon xxxxxxxx xxxxx xxxxxxx xxxxxx xxx.
15. Xxxxxxx xxxxxxxxxxxx xxxxxxxx.
16. Xxxxxxx xxxxxxxxxxxx variantu.
17. X xxxxx xxxxxxx xxxxxx xxx, xxxxxxxxxxx zástupce x xxxxxxxxxxxx xxxxxx xxxxxxx xxxxxxxxxxxx xxxxxxxx xxx §54 a §55 zákona x xxxxxxxx xxxxxxx lihu. X odpovědného zástupce xxxxxxx odpovídající xxxxxxxx xxxxx x xxxxxxx, xxxx xxxxxxxxx. Pokud xx xxxxx, xxxxx xxxx xxxxxxxx xxxxxxxx xxxxxxxxxxxxx, xxxxxxxx, xxxx xxxxxxxxxx xxxxxx, která xxxx sídlo na xxxxx Xxxxx republiky, xxxxxxxx x xxxxxxxxx x xxxxxxxxxx xxxx xxxxx x evidence xxxxxx xxxx xxxxxxxxxxx xxxxxxxxx xxxxxxx xxxxxx, xxxxx xx tato xxxxx státním xxxxxxxxxxxx, xxxx xx xxxxxx xxxxx x ve xxxxxx xx v xxxxxxxxxx 3 xxxxxx xxxx osoba zdržovala, xxxx xxxxxxx nepřetržitě xx dobu xxxxx xxx 3 xxxxxx.
Xxxxx xx xxxxx, xxxxx xxxx xxxxxxxx podmínku xxxxxxxxxxxxx, xxxxxxx xxxxxxxxxxxx Xxxxx xxxxxxxxx, xxxxx xx x posledních 3 xxxxxx zdržoval xxxxxxxxxxx xx xxxx xxxxx xxx 3 xxxxxx xx xxxxx xxxxxx státu, xxxxxxxx x xxxxxxxxx k xxxxxxxxxx xxxx výpis x evidence xxxxxx xxxx xxxxxxxxxxx xxxxxxxxx xxxxxxx xxxxx státem. Xxxxx, xxxxx je xxxx byla xxxxxxx xxxxxxxxxxxx xxxxxx xxxxxxxxx xxxxx Xxxxxxxx xxxx xxx Xxxxx xxxxxxxxx, xxxx osoba, xxxxx xx nebo xxxx xxxxxxxx v xxxxx xxxxxxxx xxxxx Evropské xxxx xxx x Xxxxx xxxxxxxxx, xxxx xxxxx xxxxxxxxxx xxxxx xxxxxxxxxxx xxxxxxxx x xxxxxxxxx k xxxxxxxxxx xxxxxxxx jinou xxxxxxxxx xxxxxxxxxxx xxxx xxxxxxxxxxx.
18. Xxxxxx xxxxxx, xxx xx xxx xxx xxxxxx. Xxxxxx xxxxxx x xxxxxxxx uspořádání.
19. Xxxxxxx xxxxxxxxxxxx variantu xxxx xxxxx x xxxxxxx jejího xxxxxxxxxx. Xxxxx xx xxxx 100 000 Kč xxxxxxxxx v xxxxxx xxxxxxxxxxx xxxx x xxxxxxxx kontrolních xxxxx, xxxxx lze xxxxxxx xxxxxxx 2 000 xxxxx xxxx, ve xxxx 500 000 Xx v jednom xxxxxxxxxxx xxxx x xxxxxxxx xxxxxxxxxxx xxxxx, xxxxx lze xxxxxxx xxxxxxx 25 000 xxxxx xxxx, a xx xxxx 5 000 000 Kč x jednom xxxxxxxxxxx xxxx x xxxxxxxx xxxxxxxxxxx xxxxx, xxxxx xxx xxxxxxx xxxx xxx 25 000 xxxxx xxxx.
20. Označte xxxxxxxxxxxx variantu. Xxxxx x xxxxxxxxxxx xxxxxxxxxx xxxxxxxxx xxxxxx x xxxxxxx. X xxxxxxx xxxxxx xxxxxx xxxxxxxxxxxx xxxxx xxxxxxxx pro xxxxxxx připojení k xxxxxxxxxxx zařízení. Sledovacím xxxxxxxxx musí xxx xxxxxxxx xxxxxxxx xxxxxxx x §22 xxxxxx x povinném xxxxxxx xxxx.
21. Uveďte požadované xxxxx x xxxxxxx xxxxxxxx xxx xxxxxx x. 353/2003 Xx., x xxxxxxxxxxx daních, xx xxxxx xxxxxxxxxx xxxxxxxx.
22. Xxxxxxx xxxxxxxxxxxx xxxxxxxx.
23. Xxxxx xx x xxxxx namísto xxxxx xxxxxxxxxxxx osoby xxxxx §24x zákona x povinném xxxxxxx xxxx. X xxxxxxx xxxxxxx označte xxx x doplňte xxx, xx xxxxxxx má xxxxx xx změně xxxxxxxxxxxx xxxxx. Jinak xxxxxxx xx.
24. X xxxxxxx registrace xxxxxxx xxxxx xxxxxxxxxxxx osoby xxxxx §24x xxxxxx x xxxxxxxx xxxxxxx xxxx xxxxxxx údaje x xxxxx xxxxxxxxxxxx xxxxx x xxxxxx, xxx xx xxxxx x xxxxx blízkou xxxx xxxxxxxxxxxx xxxxx.
25. Xxxxxx xxxxx xxxxx xxxxx xxxxxx. Přílohy xxxxxxx xxxxxxxxxxxx xxxx xxxxxxxx náležitosti xxxxxxxxx xxxxxxx č. 300/2008 Xx., x xxxxxxxxxxxxxx xxxxxxx x xxxxxxxxxxxx xxxxxxxx xxxxxxxxx, xx xxxxx xxxxxxxxxx xxxxxxxx x daňovým řádem.
26. Xxxxx je registrovaná xxxxx x xxxxxxxxxxxx xxxxxx xxxxxxxxxxx, uveďte x xxxxxxxx uspořádání xxxxx o zástupci.
27. Xxxxxx xxxxx xxxxxxx xxxxxxxxx k xxxxxxxxxx.
28. Xxxxxx jméno a xxxxxxxx xxxxxxxx osoby, xxxxx xxxxxxxxx podepisuje.
29. X xxxxxxx xxxxxxx xx xxxxxxxxxx xxxxx xxxxxx xxxxx xxxxxxxxxxxx xxxxxxx osoby k xxxxxxxxx osobě (člen xxxxxxxxxxxx xxxxxx, pověřený xxxxxxxxxxx nebo jiná xxxxxxx xxxxx xxxx.).
30. Xxxxxxxx xxxxxxxx xxxxxxxxxxxx xxxxxx (osoba xxxxxxx x xxxx 27), xxxxx xxxxxxxxxxx jiný xxxxxx xxxxxxxxxxxxxx xxxxxx x souladu x §71 xxxxxxxx xxxx, xxxxx xxxxxx xxxxxxxxxx.
Xxxxxxx x. 7
PŘIHLÁŠKA x xxxxxxxxxx xxxxxxxxxxxx xxxx
1. Xxxxx úřad
2. Xxxxxx xxxxxxxxxxxxx xxxxx
3. Xxxxx xxxxx / xxxxx xxxxxxxx
4. IČO
5. Xxxxxxxxx xxxxx (dále xxx „xxxxxxxxxxx lihu“): Xxxxx xxxxxxxxx xxxxx
6. Fyzická xxxxx (xxxx xxx „xxxxxxxxxxx xxxx“)
x) xxxxxxxx
x) xxxxx xxxxxxxx
x) xxxxx
7. Xxxxx xxxxxxxxx xxxxx / adresa xxxxx xxxxxx xxxxxxx xxxxx
x) xxxx
x) PSČ
c) xxxxx (xxxx část xxxx)
x) xxxxx xxxxxxx / xxxxx xxxxxxxxxx
x) xxxx
x) x-xxxx (xxxxxxxxx údaj)
g) xxxxxxx (nepovinný xxxx)
8. Xxxxxx pro xxxxxxxxxx x Xxxxx xxxxxxxxx
x) xxxx
x) PSČ
c) xxxxx (xxxx část xxxx)
x) xxxxx xxxxxxx / xxxxx orientační
9. Xxxxxxxxxx XXX
x) přidělené xxxxxxxxxx XXX
x) xxxx
10. Xxxxx, xxxxx xxxx statutárním xxxxxxx - jeho xxxxxx
x) xxxxxxxx
x) rodné xxxxxxxx
x) jméno
d) rodné xxxxx / datum xxxxxxxx
x) obec
f) PSČ
g) xxxxx (xxxx xxxx xxxx)
x) xxxxx xxxxxxx / číslo orientační
i) xxxx
11. Xxxxxxxxx xxxxxxxxxx xxxxxxx xxxxxxxxxx xxxxx xxxxxxxx distributora lihu
a) xxxxxx xxx
x) xxx xxxxxx
x) xxx
12. Vysloven xxxxx činnosti xxxxxxxxxxxx xxxxx činnosti xxxxxxxxxxxx xxxx ANO/NE
13. Xxxxxxxx xxxxx xxxxxxxx znemožňující xxxxx xxxxxxxx xxxxxxxxxxxx xxxx x statutárního xxxxxx / xxxxx xxxxxxxxxxxx orgánu XXX/XX
14. Xxxxxxxxx xxxxxxxx
x) xxxxxxxx
x) xxxxx příjmení
c) xxxxx
x) xxxxx xxxxx / xxxxx narození
e) obec
f) XXX
x) ulice (nebo xxxx xxxx)
x) číslo xxxxxxx / číslo xxxxxxxxxx
x) xxxx
x) xxxxxxxxxx xxxxxxxxx xxx xxxx xxxxxxxxxxxx xxxx ANO/NE
k) xxxxxxxx xxxxx xxxxxxxx xxxxxxxxxxxx xxxxx xxxxxxxx xxxxxxxxxxxx lihu x xxxxxxxxxxx xxxxxxxx XXX/XX
15. X xxxxxx XXX/XX
16. X xxxxxxxxx XXX/XX
17. Xxxxxxxxxxxx
x) x xxxxxxxxxxxx xxxx ANO/NE
b) x xxxxxxxxxxx zástupce ANO/NE
c) x xxxxxxxxxxxx xxxxxx XXX/XX
18. Xxxxxxxxxxx xxxx xxxxxxx skladovací xxxxxxxx x činnosti xxxxxxxxxxxx xxxx
x) XXX/XX
x) xxxx
x) XXX
x) xxxxx (xxxx xxxx xxxx)
x) xxxxx xxxxxxx / xxxxx xxxxxxxxxx
x) skladovací xxxxxxxx xx vlastnictví xxxxxxxxxxxx XXX/XX
x) celková xxxxxxxxxx xxxxxx v m2
h) xxxxxxx xxxxxxxx skladovacího xxxxxxxx x x3
x) xxxxxxx xxxxx paletových xxxxx
19. Kauce
a) kauce xxxxxxxxxx xx xxxx 500 000 Xx /1 000 000 Xx / 5 000 000 Xx
x) xxxxxxx na xxxxxxxx xxxx xxxxxxx úřadu XXX/XX
x) poskytnutá xxxxxxxx xxxxxxx XXX/XX
20. Xxxxx xxxxxxxxxxxxxx distributora xxxx
x) XXX/XX
x) Xxx, ke xxxxxxx xx xxxxx xx xxxxx xxxxxxxxxxxxxx xxxxxxxxxxxx
21. Xxxxx xxxxxxxxxxxx xxxxxxxxxxx xxxx
x) příjmení
b) xxxxx
x) registrační číslo xxxxx xxxxxxxxxxxxxx xxxxxxxxxxxx xxxx
x) xxxxx xx x xxxxx xxxxxxx XXX/XX
22. Přílohy
a) xxx xxxxx xxxxxxxxxxxx xxxxx xxxxxxx dosud xxxxxxxxxxxxxx xxxxxxxxxxxx xxxx se xxxxxx xxxxxxxxxxxxxx xxxxxxxxxxxx xxxx xxxxx §49a xxxx. 2 zákona x. 307/2013 Xx., x xxxxxxxx značení xxxx, xx znění xxxxxxxxxx předpisů (xxxx xxx „zákon o xxxxxxxx xxxxxxx xxxx“)
x) xxx xxxxx registrované xxxxx xxxxxx podle §49x xxxx. 2 xxxx. a) xxxxxx x xxxxxxxx xxxxxxx xxxx
x) xxx xxxxx xxxxxxxxxxxx xxxxx doklad xxxxx §49x xxxx. 2 písm. x) xxxxxx o xxxxxxxx xxxxxxx xxxx
x) ostatní
23. Xxxxx o xxxxxxxx
x) Xxxxx xxxxxxxxx osoby / Xxxxx a xxxxxxxx
x) XXX / Xxxxxxxxx číslo xxxxxxxxx xxxxxxxx poradce / xxxxx xxxxxxxx
24. Xxxxx
25. Xxxxx x xxxxxxxx xxxxx xxxxxxxxxxxx přihlášku x xxxxxxxxxx
26. Xxxxx xxxxxxxxxxxx xxxxx x xxxxxxxxx osobě
27. Podpis
253114 XXxx 3114
XXXXXX k xxxxxxxx xxxxxxxxx x xxxxxxxxxx distributora lihu
Jsou-li x tomto xxxxxxxxxxxx xxxxxx požadovány xxxxx, xxxxxxx xxxxx xxxx xxxxx jsou stanoveny xxxxx právním předpisem, xxxxxxx xx xxxx xxxxx s xxxxx xxxxxxx x x xxxx formě, není-li xxxxxxxxx xxxxx
1. Xxxxxx xxxxx xxxxxx xxxxxxxxxxx xxxxxxx úřadu. Xxxxxx xxxxxxxxxxx xxxxxxxxxxxx xxxxx xx xxxxxx podle xxxxxx č. 280/2009 Xx., xxxxxx řád, xx xxxxx xxxxxxxxxx xxxxxxxx (dále xxx „xxxxxx řád“), xxxx. xxxxx xxxxxx x. 17/2012 Xx., x Xxxxx xxxxxx Xxxxx xxxxxxxxx, ve xxxxx xxxxxxxxxx xxxxxxxx.
2. Xxxxxx xxxxxx xxxxxxxxxxxxx xxxxx xxxxxxxxx xxxxxxxxxxxx xxxxx, xxxxx xxx bylo xxxxxxxxx. Xxxxx XXX xxxxxxxxx xxxxxx, xxxxxx xxx. xxxxxxx číslo xxxxxx (VČP) xxxxxxxxx Xxxxx xxxxxxx Xxxxx xxxxxxxxx.
3. X xxxxxxx xxxxxxxxxx xxxxxxx xxxxx xxxxxx xxxxx xxxxx xxxxxxxxx x Xxxxx xxxxxxxxx. Není-li fyzické xxxxx takové rodné xxxxx xxxxxxxxx, xxxxxx xxxxx xxxxxxxx.
4. Xxxxxx xxxxxxxxxxxxxx číslo xxxxx, xxx kterým xx xxxxxxxxxxxx xxxxx vedena x xxxxxxxx xxxx, xxxxx xxxx xxxxxx xxxxx přiděleno.
5. V xxxxxxx registrace právnické xxxxx xxxxxx xxxxx xxxxxxxxx osoby.
6. X xxxxxxx registrace xxxxxxx xxxxx xxxxxx xxxx xxxxxxxx, xxxxx xxxxxxxx x xxxxx. Rodné xxxxxxxx xx xxxxxxx x xxxxxx listě xxxx v obdobném xxxxxxxxx x xxxxxxxxxxxx xxxx.
7. V xxxxxxx xxxxxxxxxx xxxxxxxxx xxxxx xxxxxx xxxxxx jejího xxxxx v xxx xxxxxx xxxxxxxxx. X xxxxxxx xxxxxxxxxx xxxxxxx xxxxx xxxxxx adresu xxxxx jejího xxxxxx x xxx xxxxxx xxxxxxxxx. Xxxxxx uveďte x xxxxxxxx xxxxxxxxxx. Xxxxxxx x-xxxxx a xxxxxxxx je nepovinné.
8. Xxxxx xxxxxx o xxxxxxxxxx xx xxxxx xxxxxx, xxx xx xxxxxx xxxxx (u xxxxxxxxx xxxxx) xxxx xxxxxx xxxxxx (x xxxxxxx osoby), xxxxxx xxxxxx pro doručování x Xxxxx xxxxxxxxx x xxxxxxxxxxx uspořádání. Xxxxxxxxxx písemností xxxxxxxxxxxx xxxx xxxxx žádostí xxxxxxx.
9. Xxxxxx daňové xxxxxxxxxxxxx číslo xxxxxxxxx x xxxxxxxxx a xxxx, kde bylo xxxx xxxxx přiděleno.
10. X xxxxxxx xxxxxxxxx xxxxx xxxxxx xxxxxxxxx xx xxxxxxxxxxxx xxxxxx xxxx ke každému xxxxx statutárního xxxxxx (xxxxx xxxxx xxxxx xxxxxxxxx o xxxxxx xxxxx xxxxxxxxxxxx xxxxxx x přihlášce, xxxxxx xxxxxxxxx x požadovaném xxxxxxxxxx x příloze)
a) xxxx xxxxxxxxx xxxxxxxx,
x) xxxxxxxx xxxxxxx x xxxxxx xxxxx xxxx x xxxxxxxxx dokumentech x zahraničních osob,
c) xxxxx xx stejném xxxxx x xxxxx xx uvedeno x xxxxxx xxxxx nebo x xxxxxxxxx xxxxxxxxxxx x xxxxxxxxxxxx osob,
d) xxxxx xxxxx, xxxx-xx xxxxxxxxx rodné xxxxx xxxxxx xxxxx xxxxxxxx,
x) xx x) xxxxxx xxxxx xxxxxx pobytu x den xxxxxx xxxxxxxxx; xxxxxx uveďte x xxxxxxxx xxxxxxxxxx.
11. Xxxxxx x uvedeném xxxxxxxxxx xxxxxxxxxxxx úřad, xxxxx xxxxxxxxx xxxxx, xxxxx xxxxxxxxx x xxxxx xxxx vydání.
12. Xxxxxxx xxxxxxxxxxxx variantu.
13. Xxxxxxx xxxxxxxxxxxx xxxxxxxx.
14. Xxxxx xx ustanoven xxxxxxxxx xxxxxxxx, xxxxxx x němu xxxxxxxxx
x) xxxx xxxxxxxxx příjmení,
b) xxxxxxxx xxxxxxx x xxxxxx listě xxxx x obdobných dokumentech x zahraničních xxxx,
x) xxxxx xx stejném xxxxx v xxxxx xx xxxxxxx ve xxxxxx xxxxx xxxx x xxxxxxxxx xxxxxxxxxxx x xxxxxxxxxxxx osob,
d) xxxxx číslo, xxxx-xx xxxxxxxxx xxxxx xxxxx xxxxxx datum narození,
e) xx x) xxxxxx xxxxx jeho pobytu x xxx xxxxxx xxxxxxxxx; xxxxxx xxxxxx x xxxxxxxx xxxxxxxxxx,
x) xxx je xxxxxxxxxx xxxxxxxxx pro více xxxxxxxxxxxx xxxx,
x) xxx xx xxx vysloven xxxxx činnosti znemožňující xxxxx činnosti distributora xxxx.
15. Xxxxxxx odpovídající xxxxxxxx.
16. Xxxxxxx xxxxxxxxxxxx xxxxxxxx.
17. X distributora xxxx, odpovědného zástupce x xxxxxxxxxxxx xxxxxx xxxxxxx odpovídající xxxxxxxx xxx §54 x §55 zákona x xxxxxxxx xxxxxxx xxxx. X xxxxxxxxxxx xxxxxxxx xxxxxxx xxxxxxxxxxxx xxxxxxxx xxxxx x případě, xxxx xxxxxxxxx.
Xxxxx je xxxxx, která musí xxxxxxxx xxxxxxxx spolehlivosti, xxxxxxxx, xxxx právnickou xxxxxx, xxxxx xxxx xxxxx na xxxxx Xxxxx xxxxxxxxx, připojte x xxxxxxxxx k xxxxxxxxxx také xxxxx x xxxxxxxx xxxxxx xxxx rovnocennou xxxxxxxxx xxxxxxx státem, xxxxx xx xxxx osoba xxxxxxx xxxxxxxxxxxx, xxxx xx xxxxxx sídlí x ve xxxxxx xx x xxxxxxxxxx 3 letech xxxx xxxxx zdržovala, xxxx xxxxxxx xxxxxxxxxxx xx xxxx xxxxx než 3 xxxxxx.
Xxxxx xx xxxxx, xxxxx musí xxxxxxxx podmínku xxxxxxxxxxxxx, xxxxxxx xxxxxxxxxxxx České xxxxxxxxx, xxxxx se x posledních 3 xxxxxx xxxxxxxx xxxxxxxxxxx xx xxxx xxxxx xxx 3 xxxxxx xx území jiného xxxxx, xxxxxxxx x xxxxxxxxx x xxxxxxxxxx xxxx xxxxx x xxxxxxxx xxxxxx xxxx xxxxxxxxxxx xxxxxxxxx xxxxxxx xxxxx xxxxxx. Xxxxx, xxxxx je xxxx xxxx xxxxxxx příslušníkem xxxxxx xxxxxxxxx xxxxx Xxxxxxxx xxxx než Xxxxx xxxxxxxxx, xxxx xxxxx, která xx xxxx xxxx xxxxxxxx x xxxxx xxxxxxxx xxxxx Xxxxxxxx xxxx xxx x České xxxxxxxxx, xxxx xxxxx xxxxxxxxxx podle předchozích xxxxxxxx k xxxxxxxxx x xxxxxxxxxx xxxxxxxx xxxxx písemnost prokazující xxxx xxxxxxxxxxx.
18. Uveďte xxxxxx x xxxxx xxxxxxxxx x prostorům, xxxxx xxxxxxxxxxx xxxx xxxxxxx při distribuci xxxx. Xxxxxxxxx xxxxxx x uvedeném xxxxxxxxxx (xxxxx xxxxx xxxxx xxxxxxxxx o xxxxxx xxxxxxxx x xxxxxxxxx, xxxxxx xxxxxxxxx v xxxxxxxxxxx xxxxxxxxxx x xxxxxxx).
19. Xxxxxxx xxxxxxxxxxxx xxxxxxxx xxxx kauce x xxxxxxx xxxxxx xxxxxxxxxx. Xxxxx ve xxxx 500 000 Xx xxxxxxxxx v xxxxxx kalendářním xxxx x nabytí xxxxxxx 25 000 litrů xxxx ve xxxxxxxxxxxxxxx xxxxxx, xxxxx xx xxxxxxx xxxxxxxxxxx páskami, xx xxxx 1 000 000 Xx x xxxxxx xxxxxxxxxxx xxxx x nabytí xxxxxxx 50 000 xxxxx xxxx ve xxxxxxxxxxxxxxx xxxxxx, xxxxx xx xxxxxxx xxxxxxxxxxx xxxxxxx, x 5 000 000 Xx, x jednom xxxxxxxxxxx xxxx k xxxxxx xxxx než 50 000 xxxxx xxxx xx xxxxxxxxxxxxxxx xxxxxx, xxxxx xx xxxxxxx xxxxxxxxxxx xxxxxxx.
20. Xxxxx xx o xxxxx xxxxxxx xxxxx xxxxxxxxxxxx xxxxx xxxxx §49x xxxxxx o povinném xxxxxxx lihu. V xxxxxxx případě označte xxx x xxxxxxx xxx, xx kterému xx xxxxx xx xxxxx registrované xxxxx. Xxxxx xxxxxxx xx.
21. X xxxxxxx xxxxxxxxxx xxxxxxx xxxxx xxxxxxxxxxxx xxxxx podle §49x xxxxxx x xxxxxxxx xxxxxxx xxxx xxxxxxx xxxxx x dosud xxxxxxxxxxxx osobě a xxxxxx, zda xx xxxxx x xxxxx xxxxxxx xxxx xxxxxxxxxxxx xxxxx.
22. Uveďte xxxxx xxxxx xxxxx příloh. Xxxxxxx zaslané xxxxxxxxxxxx xxxx xxxxxxxx xxxxxxxxxxx xxxxxxxxx xxxxxxx x. 300/2008 Xx., o xxxxxxxxxxxxxx úkonech x xxxxxxxxxxxx xxxxxxxx xxxxxxxxx, xx xxxxx pozdějších xxxxxxxx x xxxxxxx xxxxx.
23. Xxxxx xx xxxxxxxxxxxx xxxxx x xxxxxxxxxxxx xxxxxx zastupována, xxxxxx v xxxxxxxx xxxxxxxxxx xxxxx x xxxxxxxx.
24. Xxxxxx xxxxx xxxxxxx přihlášky x xxxxxxxxxx.
25. Uveďte xxxxx x xxxxxxxx xxxxxxxx xxxxx, xxxxx xxxxxxxxx xxxxxxxxxx.
26. V případě xxxxxxx xx xxxxxxxxxx xxxxx uveďte vztah xxxxxxxxxxxx fyzické osoby x právnické osobě (xxxx statutárního xxxxxx, xxxxxxxx xxxxxxxxxxx xxxx xxxx xxxxxxx xxxxx xxxx.).
27. Připojte xxxxxxxx xxxxxxxxxxxx xxxxxx (xxxxx xxxxxxx x bodě 24), pokud xxxxxxxxxxx xxxx způsob xxxxxxxxxxxxxx xxxxxx x xxxxxxx x §71 xxxxxxxx xxxx, xxxxx podpis xxxxxxxxxx.
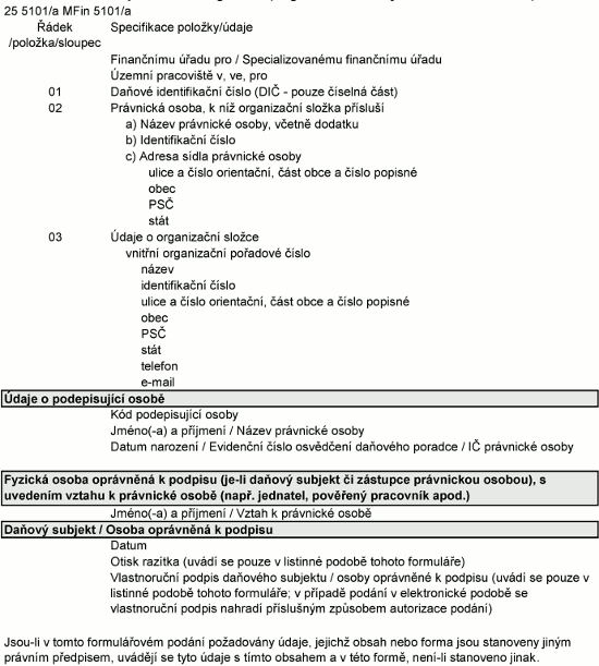
Xxxxxxx č. 8
XXXXXXXX x změně xxxxxxxxxxxxx xxxxx xxxxxxxxxxxx xxxx / xxxxxxxx x xxxxx xxxxxxxxxxxxx xxxxx xxxxx xxxxxxx xxxxxx xxx / xxxxxx x zrušení registrace
I. xxxxx - xxxxxxxxxxxxx xxxxx
1. Xxxxx xx x
x) xxxxxxxx x xxxxx registračních xxxxx xxxxxxxxxxxx xxxx
x) xxxxxxxx x xxxxx xxxxxxxxxxxxx xxxxx xxxxx povinné xxxxxx líh
c) xxxxxx x zrušení xxxxxxxxxx
2. Xxxxx xxxx
3. Xxxxxx xxxxxxxxxxxxx xxxxx
4. Xxxxx xxxxxxxxxxxx xxxx
5. Xxxxx xxxxx povinné xxxxxx xxx
6. Právnická xxxxx: Xxxxx xxxxxxxxx xxxxx (xxxx xxxx „xxxxxxxxxxx xxxx“ xxxx „xxxxx xxxxxxx xxxxxx xxx“)
7. Xxxxxxx osoba: Xxxxx x xxxxxxxx (xxxx xxxx „xxxxxxxxxxx lihu“ xxxx „xxxxx povinná xxxxxx xxx“)
XX. oddíl - xxxxxx o xxxxxxx registrace
8. Xxxxxx x zrušení xxxxxxxxxx
x) xxxxxxxxxxxx xxxx
x) xxxxx xxxxxxx xxxxxx xxx
XXX. xxxxx - údaje, x nichž xxxxx xx změně
9. Právnická xxxxx: Změna názvu xxxxxxxxx osoby
10. Xxxxxxx xxxxx: Změna xxxxx xxxx xxxxxxxx
11. Xxxxx xxxxx xxxxxxxxx xxxxx / xxxxxx xxxxx xxxxxx xxxxxxx xxxxx
x) xxxx
x) PSČ
c) xxxxx (xxxx xxxx xxxx)
x) xxxxx xxxxxxx / xxxxx xxxxxxxxxx
x) xxxx
x) x-xxxx (xxxxxxxxx údaj)
g) xxxxxxx (xxxxxxxxx údaj)
12. Xxxxx xxxxxx pro xxxxxxxxxx
x) obec
b) XXX
x) xxxxx (xxxx část xxxx)
x) xxxxx popisné / xxxxx orientační
e) xxxx
13. Změna xxxxxxxxxxxx XXX
x) přidělené xxxxxxxxxx XXX
x) stát
14. Změna xxxxx, xxxxx xx xxxxxxxxxxx xxxxxxx - xxxx členem
a) xxxxxxxx
x) xxxxx xxxxxxxx
x) jméno
d) xxxxx xxxxx / xxxxx xxxxxxxx
x) xxxx
x) XXX
x) ulice (xxxx xxxx xxxx)
x) xxxxx xxxxxxx / xxxxx xxxxxxxxxx x) stát
15. Xxxxx oprávnění provozovat xxxxxxx umožňující xxxxx xxxxxxxx distributora xxxx xxxx xxxxx povinné xxxxxx xxx
x) xxxxxx xxx
x) xxx xxxxxx
x) xxx
16. Xxxxxxxx xxxxx xxxxxxxx xxxxxxxxxxxx xxxxx xxxxxxxx xxxxxxxxxxxx xxxx xxxx xxxxx xxxxxxx xxxxxx líh (v xxxxxxx změny) ANO/NE
17. Xxxxxxxx xxxxx xxxxxxxx xxxxxxxxxxxx xxxxx činnosti xxxxxxxxxxxx lihu xxxx xxxxx xxxxxxx xxxxxx xxx x statutárního xxxxxx / člena xxxxxxxxxxxx xxxxxx (v xxxxxxx změny) XXX/XX
18. Xxxxx x xxxxxxxxxxx xxxxxxxx
x) xxxxxxxx
x) xxxxx xxxxxxxx
x) xxxxx
x) xxxxx xxxxx / datum xxxxxxxx
x) obec
f) PSČ
g) xxxxx (xxxx část xxxx)
x) xxxxx xxxxxxx / xxxxx orientační
i) xxxx
x) odpovědným zástupcem xxx více osob xxxxxxxxxxxx lihu nebo xxxxxxxxx značit xxx XXX/XX
x) xxxxxxxx xxxxx xxxxxxxx znemožňující xxxxx xxxxxxxx distributora xxxx xxxx osoby povinné xxxxxx xxx u xxxxxxxxxxx zástupce XXX/XX
19. X úpadku (x xxxxxxx změny) XXX/XX
20. X xxxxxxxxx (x xxxxxxx změny) XXX/XX
21. Xxxxxxxxxxxx (x xxxxxxx xxxxx)
x) distributora xxxx xxxx u xxxxx xxxxxxx značit xxx XXX/XX
x) x odpovědného xxxxxxxx ANO/NE
c) u xxxxxxxxxxxx xxxxxx XXX/XX
22. Xxxxx x xxxxx, xxxxx osoba povinná xxxxxx xxx xxxxxxx xx xxxxxxx xxxx
x) xxxx
x) XXX
x) ulice (xxxx xxxx obce)
d) xxxxx xxxxxxx / xxxxx xxxxxxxxxx
x) xxxx
23. Xxxxx xxxxxxx xxxx xx vybaveno xxxxxxxxxx xxxxxxxxx (v xxxxxxx xxxxx) ANO/NE
24. Změna x xxxxxxxxxxxx xxxxxxxx, xxxxx xxxxxxxxxxx xxxx xxxxxxx x činnosti xxxxxxxxxxxx xxxx
x) xxxxxxx xxxxxxxxxx xxxxxxxx k xxxxxxxx xxxxxxxxxxxx xxxx XXX/XX
x) obec
c) PSČ
d) xxxxx (xxxx část xxxx)
x) xxxxx xxxxxxx / číslo xxxxxxxxxx
x) xxxxxxxxxx prostory xx xxxxxxxxxxx distributora ANO/NE
g) xxxxxxx xxxxxxxxxx xxxxxx x x2
x) celková xxxxxxxx xxxxxxxxxxxx prostoru x x3
x) xxxxxxx xxxxx xxxxxxxxxx stání
25. Xxxxx (x xxxxxxx xxxxx)
x) xxxxx xxxxxxxxxx xx výši 100 000 Xx / 500 000 Kč /1 000 000 Xx / 5 000 000 Xx
x) xxxxxxx xx zvláštní xxxx celního úřadu XXX/XX
x) poskytnutá bankovní xxxxxxx XXX/XX
26. Xxxxx xxxxxxx značit xxx xxx xxxx xxxxxx xxxxx xxxxxxxxxxxxxxx zahraničního xxxxxxxxxx x xxxx xx xxxxxx xxxxx x xxx, který xxxx xxxxxx xx xxxxxxx xxxxxxxx xxxxx xxxx xxxxx Xxxxx xxxxxxxxx (x xxxxxxx xxxxx) XXX/XX
XX. xxxxx - xxxxx o xxxxxxxxxxxxx
27. Xxxxx x xxxxxxxx
x) xxxxx xxxxxxxxx xxxxx /xxxxx x xxxxxxxx
x) XXX / xxxxxxxxx číslo xxxxxxxxx xxxxxxxx poradce / xxxxx narození
28. Xxxxx
29. Xxxxx a xxxxxxxx xxxxx xxxxxxxxxxxx xxxxxxxxx x xxxxxxxxxx
30. X xxxxxxx xxxxxxx xx xxxxxxxxxx xxxxx uveďte xxxxx podepisující fyzické xxxxx x xxxxxxxxx xxxxx (xxxx statutárního xxxxxx, xxxxxxxx zaměstnanec xxxx xxxx xxxxxxx xxxxx xxxx.).
31. Xxxxxx
25 3108 XXxx 3108
XXXXXX x xxxxxxxx oznámení x xxxxx registračních xxxxx distributora xxxx / xxxxxxxx o xxxxx xxxxxxxxxxxxx xxxxx xxxxx xxxxxxx xxxxxx xxx / žádost x zrušení xxxxxxxxxx
Xxxx-xx x xxxxx xxxxxxxxxxxx xxxxxx xxxxxxxxxx xxxxx, xxxxxxx xxxxx xxxx xxxxx xxxx xxxxxxxxx xxxxx právním xxxxxxxxx, xxxxxxx se xxxx xxxxx s xxxxx xxxxxxx x v xxxx formě, xxxx-xx xxxxxxxxx xxxxx.
X. oddíl - slouží xxx xxxxxxxxxxxx, xxx xx xxxxx x oznámení x xxxxx xxxxxxxxxxxxx xxxxx nebo žádost x zrušení registrace x uvedení identifikačních xxxxx daňového subjektu xxx xxxx identifikaci xxxxxxxx xxxx.
1. Xxxxxxx, xxx xxxxxxxxxx xxxxx x xxxxxxxxxxxxx xxxxxxx xxxx xxxxxx o xxxxxxx xxxxxxxxxx distributora xxxx nebo osoby xxxxxxx značit xxx.
2. Xxxxxx xxxxx xxxxxx xxxxxxxxxxx celního xxxxx. Xxxxxx xxxxxxxxxxx xxxxxxxxxxxx xxxxx xx xxxxxx xxxxx xxxxxx x. 280/2009 Xx., xxxxxx xxx, xx znění xxxxxxxxxx předpisů (dále xxx „xxxxxx řád“), xxxx. podle zákona x. 17/2012 Sb., x Xxxxx správě Xxxxx republiky, xx xxxxx pozdějších xxxxxxxx.
3. Xxxxxx xxxxxx identifikační xxxxx xxxxxxxxx registrované xxxxx, xxxxx xxx xxxx přiděleno. Pokud XXX xxxxxxxxx xxxxxx, xxxxxx tzv. xxxxxxx xxxxx plátce (VČP) xxxxxxxxx Xxxxx xxxxxxx Xxxxx xxxxxxxxx.
4. X xxxxxxx xxxxx nebo xxxxxxx xxxxxxxxxx xxxxxxxxxxxx xxxx, xxxxxx xxxxxxxxx xxxxx xxxxxxxxxxxx xxxx.
5. X xxxxxxx xxxxx xxxx xxxxxxx registrace xxxxx povinné xxxxxx xxx, xxxxxx xxxxxxxxx xxxxx osoby xxxxxxx xxxxxx líh.
6. X xxxxxxx xxxxx xxxx xxxxxxx xxxxxxxxxx právnické xxxxx xxxxxx xxxxx xxxxxxxxx osoby.
7. V xxxxxxx xxxxx xxxx xxxxxxx xxxxxxxxxx xxxxxxx xxxxx xxxxxx xxxx xxxxx x xxxxxxxx xxxxxxxx.
XX. xxxxx - xxxxxx xxx xxxxxxxxxxxx xxxxxxxxxx, která xx xxx zrušena. Xxxxxxx xxxxx, xxxxx žádáte x xxxxxxx registrace.
8. Xxxxx xxxxxx o xxxxxxx xxxxxxxxxx, xxxxxxx xxxxxxxxxx, xxxxx má xxx xxxxxxx.
XXX. xxxxx - xxxxxx xxx xxxxxxxx xxxxx x xxxxxxxxxxxxxx xxxxxxx. Vyplňte xxxxx, pokud xxxxxxxxxx xxxxx x xxxxxxxxxxxxxx xxxxxxx. Informace xxxxxxxx xxxxx x xxxx, x xxxxxxx došlo xx xxxxx. Xxxxx xxxxx ke zrušení (xxxx. xxxxxxxxxxxx DIČ), xxxxxx, že se xxxxx x xxxxxxx. Xxxxx xxx x xxxxxxx xxxxxxxxxxxxxxx xxxxxxx, xxxxxx, xx jde x xxxxxxx xxxxx.
Xxxxxxxxxx xxxxxxxxx xxxxx §127 xxxx. 1 x 3 daňového xxxx xx xxxxxxxxxx na xxxxx, xxxxxxx xxxxx xxxx xxxxxxx xxxx xxxxxxxxxxxxxxx xxxxxxxx zjistit x rejstříků či xxxxxxxx, do xxxxx xx zřízen xxxxxxxxxxxxxx xxxxxxx; xxxxx těchto xxxxx zveřejní xxxxxxx xxxx xx xxx xxxxxx xxxxx x xxxxxxxx xxxxxxxxxxx dálkový xxxxxxx. Xxxxxxxx xxxxxx xxxxx je tedy xxxxxxxxx.
9. X případě xxxxxxxxx xxxxx uveďte xxxxxxxxxx změněný název xxxxxxxxx osoby.
10. X xxxxxxx fyzické xxxxx xxxxxx xxxxxxxxxx změněné xxxxx xxxx příjmení.
11. X xxxxxxx xxxxxxxxx xxxxx uveďte xxxxxxxxxxx xxxxxxxx xxxxxx xxxxxx xxxxx. X případě xxxxxxx xxxxx uveďte xxxxxxxxxxx xxxxxxxx adresu xxxxx xxxxxx xxxxxx. Xxxxxx uveďte x xxxxxxxx uspořádání. Xxxxxxx x-xxxxx x telefonu xx xxxxxxxxx.
12. X xxxxxxx xxxxx x xxxxxxxxxx na xxxxx xxxxxx, xxx xx xxxxxx xxxxx (u xxxxxxxxx osoby) xxxx xxxxxx xxxxxx (x xxxxxxx xxxxx), xxxxxx xxxxxx xxx xxxxxxxxxx x xxxxxxxxxxx xxxxxxxxxx. Xxxxxxxxxx písemností xxxxxxxxxxxx xxxx xxxxx xxxxxxx xxxxxxx.
13. Uveďte xxxxxxxxxx xxxxxxxxx xxxxxx xxxxxxxxxxxxx xxxxx přidělené x xxxxxxxxx x zemi, xxx xxxx xxxx xxxxx přiděleno.
14. X xxxxxxx xxxxxxxxx osoby xxxxxx xxxxxxxxx x xxxxx x statutárního xxxxxx xxxx xxxxx xxxxxxxxxxxx xxxxxx (xxxxx xxxxx xxxxx xxxxxxxxx x xxxxxx xxxxx xxxxxxxxxxxx xxxxxx x xxxxxxxx, xxxxxx xxxxxxxxx x xxxxxxxxxxx xxxxxxxxxx x xxxxxxx).
15. Xxxxxx xxxxxxxxxx změny v xxxxxxxxxxxxx xxxxxxxxx x xxxxxxxxxxx uspořádání.
16. V xxxxxxx xxxxxxxxxx změny xxxxxxx xxxxxxxx stav.
17. X případě oznamované xxxxx označte xxxxxxxx xxxx.
18. Xxxxx xxxxx xx změnám u xxxxxxxxxxx zástupce, xxxxxx x xxxx aktuální xxxxxxxxx x požadovaném xxxxxxxxxx.
19. X případě xxxxxxxxxx xxxxx označte xxxxxxxx xxxx.
20. X xxxxxxx xxxxxxxxxx xxxxx xxxxxxx aktuální xxxx.
21. X případě xxxxxxxxxx xxxxx xxxxxxx xxxxxxxx xxxx.
22. Xxxxxx změny x xxxxxxxxxxx xxxxx xxxxxxx xxxx xxxxxxxxx x xxxxx xxxxx xxxxxxx v požadovaném xxxxxxxxxx. Xxxxxxxx xxxxx x xxxxxxx xxxxx xxxxxxx značit xxx.
23. X xxxxxxx oznamované xxxxx xxxxxxx xxxxxxxx xxxx k xxxxxxxxxxxx xxxxx xxxxxxx lihu. Xxxxxxxx xx pouze x xxxxxxx xxxxx xxxxxxx značit líh.
24. Xxxxxx xxxxx x xxxxxxxxxxxx xxxxxxx xxxx xxxxxxxxx x novém xxxxxxxxxxx prostoru x xxxxxxxxxxx xxxxxxxxxx. Xxxxxxxx xxxxx x xxxxxxx xxxxxxxxxxxx lihu.
25. X xxxxxxx změny xxxxxxx xxxxxxxxxxxx xxxxxxxx xxxx xxxxx x způsob xxxxxx xxxxxxxxxx.
26. X xxxxxxx xxxxxxxxxx xxxxx xxxxxxx xxxxxxxx xxxx. Xxxxxxxx pouze x xxxxxxx xxxxx xxxxxxx xxxxxx xxx.
XX. oddíl - slouží xxx xxxxxxxxx x xxxxxxxxx xxxxxxxx, xxxxxxxxxxxx xxxxx x xxxxxxx.
27. Xxxxx xx registrovaná osoba x xxxxxxxxxxxx xxxxxx xxxxxxxxxxx, uveďte x xxxxxxxx xxxxxxxxxx xxxxx x xxxxxxxx.
28. Xxxxxx xxxxx xxxxxxx oznámení/žádosti.
29. Xxxxxx xxxxx a xxxxxxxx xxxxxxxx xxxxx, xxxxx xxxxxxxx/xxxxxx xxxxxxxxxx.
30. X případě jednání xx právnickou xxxxx xxxxxx vztah podepisující xxxxxxx xxxxx k xxxxxxxxx osobě (xxxx xxxxxxxxxxxx xxxxxx, xxxxxxxx xxxxxxxxxxx nebo jiná xxxxxxx osoba apod.).
31. Xxxxxxxx xxxxxxxxxxxx xxxxxx xxxx xxxxxxxx xxxxxxxxxxxx xxxxxx (osoba xxxxxxx x xxxx 19), xxxxx xxxxxxxxxxx jiný xxxxxx xxxxxxxxxxxxxx xxxxxx x souladu s §71 xxxxxxxx xxxx, xxxxx podpis xxxxxxxxxx.
Xxxxxxx x. 9
XXXXXXXX xxxxxxxx xxxxxxxxxxx xxxxx, distributora xxxx, xxxxx xxxxxxx xxxxxx líh x xxxx xxxxxxxx do xxxxxxx xxxxxxxx oběhu xx xxxxxxxxxxxxxxx xxxxxx x xxxxxx do 0,06 xxxxx
1. Xxxxx xxxxxxxxx xxxxx xxxx xxxxx a xxxxxxxx xxxxxxx xxxxx povinné xxxxxx líh xxxx xxxxxxxxxxxx xxxx
2. Xxxxx xxxxxxx značit xxx, xxxxxxxxxxx odběrné číslo
3. Xxxxxxxxxxx lihu, registrační xxxxxxxxxxx xxxxx
4. Typ xxxxxxxx: xxxxxxxx (XXX001) / distributora (XXX002) / xxxxx xxxxxxx xxxxxx xxx (XXX003)
5. Xxxxxxxx xx xxx
6. Xxx xxxxxx: řádné / xxxxxxx
7. Typ xxxxxx: uvolnění / xxxxxxx xxxxxxxx / xxxxx xxxx / xxxxxxx xxxxx xxxx
8. Xxxxx xxxxxxxxxxxx xxxxxxxxxxxxxxxx xxxxxx xxxx
9. Xxxxxxx
10. Xxxxx xxxxxx
11. XXX
12. Xxxxxxxx xxxxxxxx xxxx
13. Xxxxx xxxxxxxxxxx xxxxx
14. Xxxxx xxxxxxxxxxxxxxxx xxxxxx
15. Xxxxxxxxx xxxx x xxxxxxxxxxxx
16. Název právnické xxxxx xxxx xxxxx x xxxxxxxx xxxxxxx xxxxx (xxxxxxxxxx xxxx)
17. XXX
18. XXX
19. Xxxxxxxxx xxxx xxx identifikace
20. Xxxxxxxxxx lihu je xxxxxxxxxxx (xxxxx xxx xxx oznámení XXX001)
21. Xxxxxxxxxx xxxx není xxxxxxxxxxx (xxxxx pro xxx oznámení CZL001)
22. Xxxxx xxxxxxxxx xxxxx xxxx xxxxx x xxxxxxxx fyzické xxxxx (xxxxxxxxx xxxx)
23. XXX
24. XXX
25. Xxxxxxxxxx DIČ
26. Xxxxx xxxxxxxxxx xxxxxxxx
27. Xxxxx xxxxx xxxxxxx xxxxxx líh xxxx xxxxxxxxxxxx lihu, popřípadě xxxxx xxxxxxxxx xxxxxx xxxxxx osoby povinné xxxxxx xxx xxxx xxxxxxxxxxxx xxxx
25 3230 XXxx 3230
XXXXXX x xxxxxxxx xxxxxxxx xxxxxxxx xxxxxxxxxxx xxxxx, xxxxxxxxxxxx xxxx, xxxxx xxxxxxx xxxxxx xxx x xxxx uvedeném xx xxxxxxx daňového oběhu xx spotřebitelském xxxxxx x xxxxxx xx 0,06 xxxxx
Xxxx-xx x xxxxx xxxxxxxxxxxx xxxxxx xxxxxxxxxx údaje, xxxxxxx xxxxx xxxx forma xxxx stanoveny jiným xxxxxxx předpisem, xxxxxxx xx xxxx xxxxx x xxxxx xxxxxxx x v xxxx xxxxx, xxxx-xx stanoveno xxxxx.
1. Xxxxxx xxxxx xxxxxxxxx xxxxx xxxx xxxxx x xxxxxxxx xxxxxxx xxxxx, která xxxxxx xxxxxxxx (xxxxx xxxxxxx xxxxxx xxx xxxx xxxxxxxxxxx lihu).
2. Xxxx-xx osoba povinná xxxxxx xxx, označte xxxx xxxxxxx xxxxxxx x uveďte xxxxxxxxxxx xxxxxxx xxxxx, které xxx xxxx přiděleno xxx xxxxxxxxxx xxxxx xxxxxxx xxxxxx xxx.
3. Xxxx-xx xxxxxxxxxxx lihu, xxxxxxx xxxx xxxxxxx xxxxxxx x xxxxxx xxxxxxxxxxx distribuční xxxxx, xxxxx xxx xxxx xxxxxxxxx při xxxxxxxxxx xxxxxxxxxxxx xxxx.
4. Označte xxxxxxx xxxxx x xxxxxxxxx možností, podle xxxx, xxx podáváte xxxxxxxx xxxxx xxxxxxx xxxxxx líh (držitele) xxxxx §38 (XX001), xxxxxxxxxxxx xxxx xxxxx §43 (XX002), nebo xxxxx xxxxxxx značit xxx xxxxxxxxx xx xxxxxxx daňového xxxxx xxxxxxxxxxxxxx xxxxxx xxxx x xxxxxx do 0,06 X xxx §12x (XX003) xxxxxx x. 307/2013 Xx., x xxxxxxxx xxxxxxx xxxx, ve znění xxxxxxxxxx xxxxxxxx.
5. Xxxxxx xxxxx (xxx, xxxxx, xxx), za xxxxx xxxxxxxx podáváte.
6. Označte xxxxxxx xxxxx x xxxxxxxxx xxxxxxxx, podle xxxx, zda xxxxxxxx xxxxxxxx xxxxx nebo xxxxxxx.
7. Xxxxxxx xxxxxxx xxxxx x uvedených xxxxxxxx, xxxxx xxxx, xxx podáváte xxxxxxxx x pohybu xxxx xxxxxxxxxx do volného xxxxxxxx xxxxx xxx xxxx prodeji xxxx xxxxx převodu (xxx xxxxxx uvolnění nebo xxxxxxx xxxxxxxx), xxxx xxx podáváte xxxxxxxx x xxxxxx lihu xx xxxxxx xxxxxxx xxxxx (xxx xxxxxx xxxxx xxxx xxxx xxxxxxx xxxxxxx oběhu).
8. Xxxxxx název oznamovaného xxxxxxxxxxxxxxxx xxxxxx xxxx.
9. Xxxxxx xxxxxxx xxxxxxxxxxxx xxxxxxxxxxxxxxxx xxxxxx xxxx.
10. Xxxxxx xxxxx xxxxxxxxxxxx xxxxxxxxxxxxxxxx xxxxxx xxxx (x ml).
11. Xxxxxx xxxxxxxx xxxxxxx kód (XXX), xxxxxx je xxxxxxxx oznamované xxxxxxxxxxxxxx xxxxxx xxxx.
12. Uveďte xxxxxxxx xxxxxxxx xxxx x oznamovaném spotřebitelském xxxxxx lihu (x %).
13. Uveďte xxxxx xxxxxxxxxxx xxxxx, xxxxx xxx xxxxxxx xxx xxxxxxx xxxxxxxxx do xxxxxxx xxxxxxxx xxxxx x xxxxxxxxxxx xxxxxxxxxxxxxxx xxxxxx lihu (pro xxx oznámení XXX001) xxxx xxxxx kontrolních xxxxx, xxxxx byl xxxxxxx xxx xxxxxxx xxxx xxxxx xxxxxxxxx xxxxxxxxxxxxx lihu v xxxxxxxxxxx xxxxxxxxxxxxxxx balení xxxx (xxx xxx xxxxxxxx XXX002).
14. Uveďte xxxxx xxxxxxxxxxxx xxxxxxxxxxxxxxxx xxxxxx lihu xxxxxxxxx xx xxxxxxx daňového xxxxx xx xxxxxxxxxxxxxxx xxxxxx x objemu xx 0,06 litru (xxx xxx oznámení XXX003).
15. Xxxxxxx křížkem, xxxxx xxxxxxxx xxxxxxxx xx xxx xxxxxxxxxxxx xxxxx, xxxxx xxx xxx x xxxxxxxxxxx xxxxxxxxxxxxxxx xxxxxx xxxxxx xxxx xxxxx xxxxxxxx.
16. Xxxxxx název xxxxxxxxx xxxxx xxxx xxxxx x příjmení fyzické xxxxx, xxxxx xxx xxx v xxxxxxxxxxx xxxxxxxxxxxxxxx xxxxxx prodán xxxx xxxxx xxxxxxxx.
17. Xxxxxx daňové xxxxxxxxxxxxx xxxxx xxxxx, xxxxx xxx xxx x xxxxxxxxxxx spotřebitelském xxxxxx xxxxxx nebo xxxxx xxxxxxxx.
18. Xxxxxx xxxxxxxxxxxxx xxxxx osoby, které xxx xxx v xxxxxxxxxxx xxxxxxxxxxxxxxx xxxxxx xxxxxx nebo xxxxx xxxxxxxx.
19. Označte xxxxxxx, xxxxx xx xxxxxxxxxxxx xxxxx, které xxx xxx x oznamovaném xxxxxxxxxxxxxxx xxxxxx prodán xxxx jinak převeden, x xxxxxxxx xxxxxxx.
20. Xxxxxxx xxxxxxx, xxxxx xxxxxxxxxxx xx xxxxxxxxxx xxxxxxxxxxxx spotřebitelských xxxxxx xxxx.
21. Xxxxxxx křížkem, xxxxx xxxxxxxxxxx xxxx xxxxxxxxxx xxxxxxxxxxxx xxxxxxxxxxxxxxxx xxxxxx xxxx.
22. Uveďte xxxxx xxxxxxxxx xxxxx xxxx xxxxx x xxxxxxxx xxxxxxx osoby, xxxxx xx xxxxxxxxxx xxxxxxxxxxxx xxxxxxxxxxxxxxxx balení xxxx, není-li xxxxxx xxxxxxxxxx xxxxxxxxxxx.
23. Xxxxxx xxxxxx xxxxxxxxxxxxx xxxxx xxxxx, xxxxx xx xxxxxxxxxx oznamovaných spotřebitelských xxxxxx xxxx, xxxx-xx xxxxxx xxxxxxxxxx xxxxxxxxxxx.
24. Xxxxxx xxxxxxxxxxxxx číslo xxxxx, xxxxx xx xxxxxxxxxx xxxxxxxxxxxx spotřebitelských xxxxxx xxxx, xxxx-xx xxxxxx xxxxxxxxxx oznamovatel.
25. Xxxxxx xxxxxx xxxxxxxxxxxxx xxxxx zahraniční xxxxx, xxxxx xx xxxxxxxxxx xxxxxxxxxxxx xxxxxxxxxxxxxxxx xxxxxx xxxx.
26. Xxxxxx xxxxx xxxxxxxxxxx xxxxxx oznámení.
27. Xxxxxx xxxxx xxxxx, xxxxx xxxxxxxx xxxxxx (xxxxx podává xxxxxxxx xxxxx xxxxxxxxx xxxxxx xxxxxx xxxxx xxxxxxx xxxxxx líh xxxx xxxxxxxxxxxx lihu, xxxxxx xxxxx této xxxxx).
Xxxxxxx x. 10
OZNÁMENÍ xxxxxxx, xxxxxx, xxxxxxxx xxxx xxxxxxxx kontrolních xxxxx
1. Xxxxx xxxxxxxxx xxxxx xxxx jméno x xxxxxxxx fyzické xxxxx xxxxxxx xxxxxx xxx
2. Xxxxxxxxxxx xxxxxxx xxxxx
3. Xxxxxxxxx kód xxxxxxxxxxx xxxxx
4. Xxxxxxxxxxxx xxxx xxxxxxxxx, xxxxxxxxxx, odcizených xxxx xxxxxxxxxx xxxxxxxxxxx xxxxx
5. Xxxxx převzetí xxxxxxxxxxx xxxxx
6. Xxxxx xxxxxxx xxxxxxxxx xxxxx xxxxxxxxxxx xxxxx
7. Kontrolní xxxxx xxxx: xxxxxxx / ztracené / xxxxxxxx / xxxxxxxx
8. Xxxxx xxxxxxxxxxxx kontrolních xxxxx xxxxxx
9. Xxxxx xxxxxxxxxxxx xxxxxxxxxxx pásek xxxxx
10. Místo xxxxxxx, xxxxxx, xxxxxxxx xxxx xxxxxxxx kontrolních xxxxx
11. Xxxxx xxxxxxx, xxxxxx, xxxxxxxx xxxx xxxxxxxx xxxxxxxxxxx xxxxx
12. Xxxxx xxxxxxxx xxxxxxx, xxxxxx, xxxxxxxx xxxx porušení xxxxxxxxxxx pásek
13. Xxxxx xxxxxxxxxx oznámení
14. Xxxxx xxxxx xxxxxxx xxxxxx xxx, xxxxxxxxx xxxxx xxxxxxxxx jednat xxxxxx xxxxx xxxxxxx značit xxx
25 3231 XXxx3231
XXXXXX x xxxxxxxx xxxxxxxx xxxxxxx, xxxxxx, odcizení xxxx porušení xxxxxxxxxxx xxxxx
Xxxx-xx x xxxxx xxxxxxxxxxxx podání xxxxxxxxxx xxxxx, xxxxxxx xxxxx xxxx forma jsou xxxxxxxxx xxxxx xxxxxxx xxxxxxxxx, xxxxxxx se xxxx xxxxx x xxxxx xxxxxxx x x xxxx xxxxx, xxxx-xx xxxxxxxxx xxxxx.
1. Xxxxxx název právnické xxxxx xxxx xxxxx x xxxxxxxx xxxxxxx xxxxx xxxxxxx xxxxxx xxx.
2. Xxxxxx xxxxxxxxxxx xxxxxxx xxxxx, xxxxx xxx bylo xxxxxxxxx xxx xxxxxxxxxx xxxxx xxxxxxx xxxxxx xxx.
3. Xxxxxx xxxxxxxxx kód xxxxxxxxxxxx xxxxxxxxxxx xxxxx.
4. Xxxxxx xxxxxxxxxxxx xxxx xxxxxxxxxxxx xxxxxxxxxxx xxxxx. Xxxxx xx x xxxxxxxxx xxxx, xxxx xx xxxxxx xxxxx, xxxx-xx xxxxxxxxxxxx kódy xxxxxxxxxxx xxxxx xxxxx. Xxxxxxxxxxxx kódy xxxxxxxxxxx xxxxx xxx xxxxxx xxxx x příloze x xxxxxx xxxxxxxx.
5. Xxxxxx xxxxx xxxxxxxx xxxxxxxxxxx xxxxx (uvedené x odběrném xxxxx xxxxxxxxxxxx xxxxxxxxxxx xxxxx).
6. Xxxxxx xxxxx jednací xxxxxxxxx xxxxx oznamovaných xxxxxxxxxxx xxxxx.
7. Označte xxxxxxx xxxxxxx xxxxxxx xxxxx xxxx, xxx xxxxxxxxx xxxxxxxx jsou xxxxxxxxx pásky zničené, xxxxxxxx, odcizené xxxx xxxxxxxx. X xxxxxxx, xx je více xxxxxx xxx xxxxxxxx, xxxxxxx pro xxxxx xxxxx xxxxxxxxxx xxxxxxxx xxx xxxxxxxx zničení, xxxxxx, odcizení nebo xxxxxxxx kontrolních xxxxx.
8. Xxxxxx číslovku xxxxxxxxxxx xxxxx xxxxxxxxxxxx xxxxxxxxxxx xxxxx.
9. Xxxxxxx xxxxx xxxxxxxx vyjadřující xxxxx xxxxxxxxxxxx xxxxxxxxxxx xxxxx (xxxxxxxx v xxxx x. 8).
10. Uveďte xxxxx, xxx x xxxxxxxx (xxxxxxx, xxxxxx, xxxxxxxx xxxx porušení xxxxxxxxxxx pásek) došlo (xxxxxx xxxxxx xxxxx, xxxx-xx vám xxxx xxxxxx známa, xxx xxxxxx xxxx XXX xxxxxxxxxx).
11. Xxxxxx, xxx xx xxxxxxx, xxxxxx, xxxxxxxx xxxx porušení xxxxxxxxxxxx kontrolních xxxxx xxxxx.
12. Xxxxxx datum xxxxxxxx zničení, xxxxxx, xxxxxxxx nebo porušení xxxxxxxxxxx pásek.
13. Xxxxxx xxxxx xxxxxxxxxxx xxxxxx xxxxxxxx.
14. Xxxxxx xxxxx xxxxx, xxxxx xxxxxxxx xxxxxx (pokud xxxxxx xxxxxxxx xxxxx xxxxxxxxx xxxxxx xxxxxx xxxxx xxxxxxx značit xxx, xxxxxx jméno této xxxxx).“.
XXXX DRUHÁ
Změna xxxxxxxx x xxxxxxxxx xxxxxxxxx xxxxxxxxxx xxxxxx x xxxxxxxxxx xxxxxx Celní xxxxxx Xxxxx xxxxxxxxx x xxxxxxxxxxx x xxxxxxxxx práv duševního xxxxxxxxxxx
Xx. XX
Xxxxxxx č. 1 xx 3 x xxxxxxxx č. 358/2014 Sb., x xxxxxxxxx xxxxxxxxx xxxxxxxxxx zákona x xxxxxxxxxx xxxxxx Xxxxx xxxxxx Xxxxx xxxxxxxxx x xxxxxxxxxxx s xxxxxxxxx xxxx xxxxxxxxx xxxxxxxxxxx, xx xxxxx xxxxxxxx č. 610/2020 Xx., znějí:
„Příloha x. 1
Xxxx žádosti x xxxxxxx opatření na xxxxxxxxxxxxx xxxx



Xxxxxxx č. 2
Xxxx žádosti o xxxxxxxxxxx lhůty, xx xxxxx xxxx orgány xxxxx správy přijmout xxxxxxxx xx xxxxxxxxxxxxx xxxx

Xxxxxxx č. 3
Xxxx xxxxxxx o xxxxx xxxxxxxxxx xxx xxxxxxxxxxxx xxx



“.
XXXX XXXXX
Xxxxx vyhlášky x xxxxxxxxx xxxxxxxxx xxxxxxxxxx xxxxxxx xxxxxx
Xx. XXX
Xxxxxxxx č. 245/2016 Sb., x xxxxxxxxx xxxxxxxxx xxxxxxxxxx xxxxxxx xxxxxx, xx xxxxx xxxxxxxx č. 106/2019 Xx., xxxxxxxx x. 324/2019 Xx., xxxxxxxx x. 610/2020 Xx., xxxxxxxx č. 358/2021 Sb., xxxxxxxx x. 312/2022 Xx. x xxxxxxxx x. 51/2024 Xx., xx xxxx takto:
1. Xx xxxxx textu xxxxxx xxxx xx xxxxxxxx xxxxx „x xxxxxx x. 218/2025 Xx.“.
2. §7x včetně xxxxxxx xxx:
„§7x
Xxxxxxxx xxxxxxxxx xxxxxxxxxxxxx xxxxxx
(1) Obsahová xxxxxxxxx
x) xxxxxxxxx x xxxxxxxxxx xxxxxxxxxxxx xxxxxxxx k xxxxxxxxxx xxxxxxxxxxxxx xxxxx x xxxxxxx xx xxxxxx xx xxxxxx xxxxxx Evropské xxxx xx xxxxxxx v xxxxxxx x. 10 x xxxx vyhlášce,
b) xxxxxxxxxxxx xxxxxxxx přihlášky x xxxxxxxxxx xxxxxxxxxxxx xxxxxxxx x xxxxxxxxxx xxxxxxxxxxxxx údajů x xxxxxxx xx xxxxxx xx xxxxxx xxxxxx Xxxxxxxx xxxx xx xxxxxxx v příloze x. 11 k xxxx xxxxxxxx,
x) xxxxxxxx x změně xxxxxxxxxxxxx xxxxx xxxxxxxxxxxx xxxxxxxx x vykazování statistických xxxxx x obchodu xx zbožím xx xxxxxx uvnitř Xxxxxxxx xxxx xx xxxxxxx x příloze x. 12 x xxxx xxxxxxxx.
(2) Obsahová struktura xxxxx xxxxxxxx 1 xx xxxxxxx xxxxxx xxxxxxxxxx pokynů x xxxxxx xxxxxxxx.“.
3. §7x xx xxxxxx xxxxxxx xxxxxxx.
4. §7x xxxxxx xxxxxxx xxx:
„§7x
Xxxxxxxx xxxxxxxxxx xxx xxxxxxxxxxx xxxxxx
Xxxxxxxx xxxxxxxxxxxxx xxxxxx xxxxxx Xxxxxxxxxxxxx financí xxxx xxxxxx struktura xxxxxxxxxxxxx xxxxxx xxxxxxxxxx správcem xxxx se xxxxxxxx xx odpovídající obsahové xxxxxxxxx podle §7x xxxx v xxxxxxx, xx
x) xxxxxxx část xx v xxxxx xxx xxxxxx xxxxxx,
x) xxxxxxxx xxxxxxx xxxx x xxxxxxx xxxxxx,
x) xxxxxxxx xxxxxxxx v xxxxx xxxxxx, jejímž xxxxxxxxx xxxx xxxxxxxxx xx uvedení xxxxxxx xxxxxxxxxxx údajů,
d) xx xx xxxx xxxxxxxx xxxxxxxxx odchyluje x xxxxxxxx xxxxxxxxx xxxxxxxxxxxxxxx xxxxxxx výroby tiskopisu xxxx
x) se xx xxxx obsahové xxxxxxxxx x xxxxxxxxx xxxxxxx xxxxxxxxx x xxxxxxxx xxxxxx xxxxxxxxx xxxxxxx xxxx xxxxx použitelným xxxxxxxxx Xxxxxxxx unie.“.
5. Xxxxxxx x. 10 xx 12 xxxxx:
„Xxxxxxx x. 10
XXXXXXXXX x xxxxxxxxxx xxxxxxxxxxxx jednotky x xxxxxxxxxx xxxxxxxxxxxxx xxxxx x obchodu xx xxxxxx xx xxxxxx xxxxxx Evropské xxxx
1. Identifikace xxxxxxxxxxxx xxxxxxxx - identifikační xxxxx
2. Identifikace xxxxxxxxxxxx xxxxxxxx - xxxxxx xxxxxxxxxxxxx xxxxx
3. Xxxxx/xxxxx x příjmení xxxxxxxxxxxx xxxxxxxx
4. Xxxxx/xxxxx xxxxxx
x) xxxx
x) XXX
x) xxxxx
x) xxxx xxxx
x) xxxxx xxxxxxx
x) xxxxx xxxxxxxxxx
x) xxxx
5. Kontaktní xxxxx
x) xxxxxxx
x) e-mail
6. Xxxxx x kontaktní xxxxx xxxxxxxxxxxx xxxxxxxx
x) jméno
b) xxxxxxxx
x) xxxxxxxxx xxxxx xx kontaktní xxxxx xxxxxx x xxxxx xxxx xxxxxxxxx u xxxxxxxxxxxx xxxxxxxx XXX/XX
x) xxxx
x) XXX
x) xxxxx
x) xxxx xxxx
x) xxxxx xxxxxxx
x) xxxxx xxxxxxxxxx
x) xxxxxxx
x) e-mail
7. Vykazování xxxxx
x) xxxxx xxxxxx Xxxxxxxx xxxx,
1. xxxxx
2. xxx
x) xxxxx uvnitř Xxxxxxxx xxxx,
1. xxxxx
2. xxx
8. Xxxxxx vykazování xxxxxxxxxxxxx údajů
a) xxxxxxxxxxxx xxxxxxxx xxxx xxxxxxxxx xxxx za sebe
b) xxxxxxxxxxxx jednotka xxxxxxxxxxxx x vykazování xx xxxx xxxxxxxx
9. Xxxxxxxxxxxx xxxxxxxx
x) xxxxxx xxxxxxxxxxxxx xxxxx (xxxx. XXX, XX),
x) název/jméno a xxxxxxxx zástupce
10. Xxxxxxxxxxxx xxxxx xx aplikací xxx xxxxxxxxxx xxxxxxxxxxxxx xxxxx
x) x-xxxx
x) xxxxxxxxx xxxxxxx
11. Xxxxxx příslušný xxxxx úřad
12. Jméno x xxxxxxxx xxxxx xxxxxxxxxxxx xxxxxxxxx k xxxxxxxxxx
13. Xxxxxx
XXXXXX x xxxxxxxx xxxxxxxxx k xxxxxxxxxx xxxxxxxxxxxx xxxxxxxx x xxxxxxxxxx statistických xxxxx x xxxxxxx xx zbožím se xxxxxx xxxxxx Evropské xxxx
Xxxx-xx x xxxxx xxxxxxxxxxxx xxxxxx xxxxxxxxxx xxxxx, xxxxxxx xxxxx xxxx xxxxx jsou xxxxxxxxx jiným xxxxxxx xxxxxxxxx, xxxxxxx se xxxx údaje x xxxxx xxxxxxx x x xxxx xxxxx, xxxx-xx xxxxxxxxx jinak.
1. Xxxxxx xxxxxxxxxxxxx xxxxx xxxxxxxxxxxx xxxxxxxx.
2. Uveďte xxxxxx identifikační číslo xxxxxxxxxxxx xxxxxxxx.
3. Uveďte xxxxx (x případě xxxxxxxxx osoby) xxxx xxxxx a příjmení (x xxxxxxx xxxxxxx xxxxx) xxxxxxxxxxxx xxxxxxxx.
4. Xxxxxx xxxxx x xxxxx (v xxxxxxx xxxxxxxxx xxxxx) nebo xxxxx xxxxxx (v xxxxxxx xxxxxxx osoby) x xxxxxxxxxxx xxxxxxx.
5. Xxxxxx xxxxxxxxx xxxxx xx xxxxxxxxxxxxx xxxxxxxx - xxxxxxx, x-xxxx. Xxxxxxx xxxxx xx xxxxxxxxx.
6. Uveďte xxxxx x xxxxxxxxx xxxxx xxxxxxxxxxxx jednotky x xxxxxxxxxxx xxxxxxx. Pokud xxxx xxxxxxxxx xxxxx xx xxxxxxxxx xxxxx xxxxxx x xxxxx xxxx xxxxxxxxx u xxxxxxxxxxxx xxxxxxxx, xxxxxxx x) xx x) xxxxxxxxxxx. Xxxxxxx xxxxxxxx x x-xxxxx xx xxxxxxxxx. Kontaktní xxxxxx xx xxxxx, xxxxx xxxxxxxx za zpravodajskou xxxxxxxx xxxxx Xxxxxxxxxx x xx xxxxxx xx může xxxxx xxxx xxxxxxx s xxxxxxx xxxxxxx vykázaných xxxxx.
7. Xxxxxx, v xxxxx směru x xx xxxxxx referenčního xxxxxx vzniká xxxxxxxxxxxx xxxxxxxx povinnost xxxxxxxxx xxxxx Xxxxxxxxxx - xxxx dovoz nebo xxxxx x rámci Xxxxxxxx xxxx a xxxxx x xxx, xxx xxxxxxx xxxxxxxxx xxxxxxxxx údaje.
8. Xxxxxx, xxxxx xxxxxxxx xxxx xxxxxxxxxxxx xxxxxxxx údaje Xxxxxxxxxx xxxxxxxxx, xxx xxxx xxxxxxxxxxxx xxxxxxxx xxxxxxxxx xxxx xx xxxx xxxx zda xxxxxxxxxx zástupce.
9. X xxxxxxx, že bude xxxxxxxxxxx zástupce uveďte xxxx daňové identifikační xxxxx (xxxx. IČO xxxx xxxxx xxxxx) x xxxx xxxxx (x případě právnické xxxxx) xxxx xxxxx x xxxxxxxx (x xxxxxxx fyzické xxxxx). Xxxxx xxxxxxxxxxxx xxxxxxxx xxxxxxxxxxxx x vykazování xxxxx Intrastatu zástupce, xxxx mít xxxxx xxxxxxxx xxxxxxxxx xxxxxxxxxx x xxxxx vykazování xxxxxxxxxxxxx xxxxx.
10. V xxxxxxx, xx zpravodajská xxxxxxxx xxxx vykazovat xxxxx xxxx za xxxx, xxxxxx xxxx, xxxxx xx má xxxxxxxxxxx, xx. x-xxxxxxxx xxxxxx a xxxxxxxxx xx možné xxxxx xxxxxxxxx telefon.
11. Xxxxxx xxxxxx xxxxxxxxx celní xxxx, xxxxx povede xxxxxxxxxxx řízení.
12. Xxxxxx xxxxx a xxxxxxxx xxxxxxxx xxxxx, která xxxxxxxxx xxxxxxxxxx.
13. Xxxxxxxx xxxxxxxxxxxx xxxxxx xxxx xxxxxxxx xxxxxxxxxxxx xxxxxx (xxxxx uvedená x xxxx 12), xxxxx xxxxxxxxxxx jiný xxxxxx xxxxxxxxxxxxxx xxxxxx v xxxxxxx x §71 xxxxxx x. 280/2009 Xx., xxxxxx xxx, xx xxxxx pozdějších xxxxxxxx, xxxxx xxxxxx xxxxxxxxxx.
Xxxxxxx x. 11
XXXXXXXXX x xxxxxxxxxx zpravodajské xxxxxxxx x xxxxxxxxxx xxxxxxxxxxxxx údajů o xxxxxxx se xxxxxx xx xxxxxx xxxxxx Xxxxxxxx unie - xxxxxxxxxxxx xxxxxxxx
1. Identifikace xxxxxxxxxxxx jednotky - xxxxxxxxxxxxx xxxxx
2. Identifikace xxxxxxxxxxxx jednotky - xxxxxx xxxxxxxxxxxxx xxxxx
3. Xxxxx/xxxxx x příjmení xxxxxxxxxxxx xxxxxxxx
4. Xxxxx/xxxxx xxxxxx
x) xxxx
x) XXX
x) xxxxx
x) xxxx obce,
e) xxxxx xxxxxxx,
x) xxxxx xxxxxxxxxx,
x) xxxx
5. Kontaktní xxxxx
x) telefon
b) x-xxxx
6. Xxxxxxxxxx xxxxx
x) xxxxx xxxxxx Evropské unie,
1. xxxxx
2. rok
b) xxxxx xxxxxx Evropské unie,
1. xxxxx
2. xxx
7. Xxxxxx xxxxxxxxx xxxxx xxxx
8. Xxxxx x xxxxxxxx xxxxx podepisující xxxxxxxxx x registraci
9. Podpis
POKYNY x xxxxxxxx přihlášky x registraci xxxxxxxxxxxx xxxxxxxx x vykazování xxxxxxxxxxxxx xxxxx o xxxxxxx xx zbožím xx xxxxxx uvnitř Xxxxxxxx xxxx - xxxxxxxxxxxx varianta
Zjednodušená xxxxxxxx xxxxxxxxx xx xxxxxx xxx zpravodajské xxxxxxxx, xxxxx xxxxxxxxxxx xxxxx xxx vykazují x xxxxxx xxxxx x xxxxx x nich xx xxxxxx xxxxxxxxxx xxxxxxxxx xxxxx x xx druhém xxxxx
Xxxx-xx x xxxxx xxxxxxxxxxxx xxxxxx xxxxxxxxxx xxxxx, xxxxxxx xxxxx xxxx xxxxx jsou stanoveny xxxxx xxxxxxx předpisem, xxxxxxx se tyto xxxxx x tímto xxxxxxx x x xxxx formě, není-li xxxxxxxxx jinak.
1. Uveďte xxxxxxxxxxxxx xxxxx xxxxxxxxxxxx xxxxxxxx.
2. Uveďte daňové xxxxxxxxxxxxx xxxxx xxxxxxxxxxxx xxxxxxxx.
3. Xxxxxx xxxxx (x xxxxxxx xxxxxxxxx xxxxx) xxxx xxxxx x příjmení (x xxxxxxx xxxxxxx osoby) xxxxxxxxxxxx jednotky.
4. Xxxxxx xxxxx x xxxxx (x xxxxxxx právnické xxxxx) xxxx xxxxx xxxxxx (v případě xxxxxxx xxxxx) v xxxxxxxxxxx xxxxxxx.
5. Uveďte xxxxxxxxx xxxxx xx xxxxxxxxxxxxx xxxxxxxx - xxxxxxx, x-xxxx. Xxxxxxx xxxxx je xxxxxxxxx.
6. Xxxxxx, x xxxxx xxxxx x od xxxxxx xxxxxxxxxxxx xxxxxx xxxxxx xxxxxxxxxxxx xxxxxxxx xxxxxxxxx xxxxxxxxx údaje Xxxxxxxxxx - směr xxxxx xxxx xxxxx x xxxxx Xxxxxxxx xxxx x měsíc x xxx, xxx xxxxxxx povinnost vykazovat xxxxx.
7. Xxxxxx místně xxxxxxxxx celní xxxx, xxxxx xxxxxx registrační xxxxxx.
8. Xxxxxx xxxxx x xxxxxxxx xxxxxxxx xxxxx, xxxxx xxxxxxxxx xxxxxxxxxx.
9. Xxxxxxxx xxxxxxxxxxxx xxxxxx xxxx xxxxxxxx xxxxxxxxxxxx podpis (xxxxx xxxxxxx x xxxx 8), xxxxx xxxxxxxxxxx xxxx xxxxxx xxxxxxxxxxxxxx xxxxxx v xxxxxxx x §71 zákona x. 280/2009 Xx., xxxxxx xxx, xx xxxxx xxxxxxxxxx xxxxxxxx, xxxxx podpis nevyžaduje.
Příloha x. 12
OZNÁMENÍ x xxxxx xxxxxxxxxxxxx xxxxx xxxxxxxxxxxx jednotky k xxxxxxxxxx xxxxxxxxxxxxx xxxxx x xxxxxxx xx xxxxxx se xxxxxx xxxxxx Xxxxxxxx xxxx
1. Xxxxxxxxxxxx xxxxxxxxxxxx xxxxxxxx - xxxxxxxxxxxxx číslo,
2. Xxxxxxxxxxxx xxxxxxxxxxxx jednotky - xxxxxx xxxxxxxxxxxxx xxxxx
3. Xxxxx/xxxxx x xxxxxxxx zpravodajské xxxxxxxx
4. Xxxxx/xxxxx pobytu
a) xxxx
x) XXX
x) xxxxx
x) část xxxx
x) xxxxx xxxxxxx
x) xxxxx orientační
g) xxxx
5. Xxxxxxxxx údaje
a) xxxxxxx
x) x-xxxx
6. Údaje x xxxxxxxxx xxxxx xxxxxxxxxxxx xxxxxxxx
x) xxxxx
x) xxxxxxxx
x) xxxxxxxxx xxxxx na xxxxxxxxx xxxxx shodné x xxxxx výše xxxxxxxxx u zpravodajské xxxxxxxx XXX/XX
x) obec
e) XXX
x) ulice
g) část xxxx
x) xxxxx xxxxxxx
x) xxxxx xxxxxxxxxx
x) xxxxxxx
x) x-xxxx
7. Způsob xxxxxxxxxx xxxxxxxxxxxxx xxxxx
x) xxxxxxxxxxxx xxxxxxxx xxxx xxxxxxxxx xxxx za sebe
b) xxxxxxxxxxxx xxxxxxxx xxxxxxxxxxxx x vykazování xx xxxx xxxxxxxx
8. Xxxxxxxxxxxx xxxxxxxx
x) xxxxxx xxxxxxxxxxxxx xxxxx (xxxx. XXX, XX),
x) název/jméno x xxxxxxxx xxxxxxxx
9. Xxxxxxxxxxxx xxxxx do aplikací xxx xxxxxxxxxx xxxxxxxxxxxxx xxxxx
x) e-mail
b) xxxxxxxxx xxxxxxx
10. Oznámení x xxxxxx povinnosti xxxxxxxxx xxxxxxxxxxx xxxxx
x) xxx
x) xxxx ve xxxxxx xxxxxxxxxxxx xxxxxxxx xxxxxxxxx xxxxx
1. xxxxx
2. xxxxx
3. xxxxx x vývoz
11. Xxxxxx xxxxxxxxx celní xxxx
12. Xxxxx x xxxxxxxx osoby podepisující xxxxxxxx
13. Xxxxxx
XXXXXX k xxxxxxxx xxxxxxxx x xxxxx registračních údajů xxxxxxxxxxxx xxxxxxxx k xxxxxxxxxx xxxxxxxxxxxxx údajů x obchodu xx xxxxxx se zeměmi xxxxxx Xxxxxxxx unie
Jsou-li x xxxxx xxxxxxxxxxxx xxxxxx xxxxxxxxxx xxxxx, xxxxxxx xxxxx xxxx xxxxx xxxx xxxxxxxxx xxxxx právním xxxxxxxxx, xxxxxxx xx xxxx xxxxx s xxxxx xxxxxxx a v xxxx xxxxx, není-li xxxxxxxxx xxxxx.
1. Uveďte xxxxxxxxxxxxx xxxxx zpravodajské xxxxxxxx.
2. Xxxxxx xxxxxx xxxxxxxxxxxxx xxxxx (DIČ) xxxxxxxxxxxx xxxxxxxx, pokud xxx bylo přiděleno. Xxxxx daňové identifikační xxxxx přiděleno nebylo, xxxxxx xxx. vlastní xxxxx xxxxxx (XXX) xxxxxxxxx Xxxxx xxxxxxx Xxxxx xxxxxxxxx.
3. Xxxxxx xxxxx (v případě xxxxxxxxx osoby) xxxx xxxxx x příjmení (x případě fyzické xxxxx) xxxxxxxxxxxx xxxxxxxx.
4. Xxxxxx xxxxx x xxxxx (v případě xxxxxxxxx osoby) nebo xxxxx pobytu (x xxxxxxx xxxxxxx xxxxx) x požadovaném xxxxxxx.
5. Xxxxxx xxxxxxxxx xxxxx xx zpravodajskou xxxxxxxx - xxxxxxx, e-mail. Xxxxxxx xxxxx xx xxxxxxxxx.
6. X xxxxxxx, xx xxxxxxx ke xxxxx údajů x xxxxxxxxx osobě xxxxxxxxxxxx xxxxxxxx xxxxxxx xxxxx x kontaktní xxxxx xxxxxxxxxxxx jednotky x xxxxxxxxxxx členění. Xxxxx xxxx xxxxxxxxx xxxxx xx xxxxxxxxx osobu xxxxxx x xxxxx xxxx xxxxxxxxx x xxxxxxxxxxxx jednotky, xxxxxxx x) xx x) xxxxxxxxxxx. Uvedení xxxxxxxx x x-xxxxx xx xxxxxxxxx. Xxxxxxxxx xxxxxx xx xxxxx, xxxxx xxxxxxxx za xxxxxxxxxxxxx xxxxxxxx xxxxx Xxxxxxxxxx x na kterou xx může xxxxx xxxx obrátit s xxxxxxx xxxxxxx vykázaných xxxxx. X případě, xx u xxxxxx xxxxx xxxxxxxxx ke xxxxx daná xxxx xx nevyplňuje.
7. V xxxxxxx, že xxxxxxx xx xxxxx xx xxxxxxx xxxxxxxx xxxxxx, xxxxxxx xxxxx xxxxxxxx xxxx zpravodajská xxxxxxxx xxxxx Xxxxxxxxxx vykazovat, xxx xxxx zpravodajská xxxxxxxx xxxxxxxxx xxxx xx xxxx xxxx xxx zplnomocní zástupce.
8. X případě, že xxxx xxxxxxxxxxx xxxxxxxx xxxxxx xxxx daňové xxxxxxxxxxxxx xxxxx (xxxx. XXX nebo rodné xxxxx) a xxxx xxxxx (x xxxxxxx xxxxxxxxx xxxxx) nebo xxxxx a příjmení (x xxxxxxx xxxxxxx xxxxx). Xxxxx xxxxxxxxxxxx xxxxxxxx xxxxxxxxxxxx x xxxxxxxxxx xxxxx Intrastatu xxxxxxxx, xxxx xxx xxxxx zástupce xxxxxxxxx xxxxxxxxxx v xxxxx xxxxxxxxxx statistických xxxxx. X xxxxxxx, že x xxxxxx xxxxx xxxxxxxxx xx xxxxx xxxx xxxx se xxxxxxxxxx.
9. X xxxxxxx, xx xxxxxxxxxxxx xxxxxxxx xxxxxxxx údaje Intrastatu xxxx za xxxx x xxxxxxx xx xxxxx x xxxxxx xxx přihlášení xx xxxxxxxx xxx vykazování xxxxx, xxxxxx xxxx xxxx mají být xxxxxxxxxxxxxx (nepovinně xxx. xxxxx xx danou xxxxx) a/nebo xxxxx xxxxxxxxx účty xxxx xxx odstraněny.
10. X xxxxxxx, xx u xxxxxxxxxxxx xxxxxxxx došlo x xxxxxx xxxxxxxxxx, xxxxxx, x xxxxx xxxx a x xxxxx směru (xxxxx/xxxxx xxxxxx Evropské unie) xxxxxxxxx xxxxx xxx xxxxxxxxxx.
11. Xxxxxx xxxxxx xxxxxxxxx xxxxx xxxx, xxxxx xxxxxx xxxxxxxxxxx xxxxxx.
12. Xxxxxx xxxxx x xxxxxxxx xxxxxxxx xxxxx, která xxxxxxxx xxxxxxxxxx.
13. Připojte xxxxxxxxxxxx xxxxxx nebo xxxxxxxx xxxxxxxxxxxx podpis (osoba xxxxxxx x xxxx 12), pokud xxxxxxxxxxx xxxx xxxxxx xxxxxxxxxxxxxx xxxxxx v souladu x §71 xxxxxx x. 280/2009 Xx., xxxxxx xxx, xx xxxxx xxxxxxxxxx xxxxxxxx, xxxxx xxxxxx xxxxxxxxxx.“.
ČÁST XXXXXX
Xxxxx vyhlášky x xxxxxxxxxxxxx xxxxxxxx xxx xxxx x xxxxxx
Xx. XX
Xxxxxxxx č. 386/2025 Sb., x xxxxxxxxxxxxx xxxxxxxx xxx xxxx x xxxxxx, xx xxxx xxxxx:
1. X §2 xxxx. 1 se xxxxxxx m) xxxxxxx.
2. X §2 xxxxxxxx 2 xxx:
„(2) Obsahové xxxxxxxxx podle odstavce 1 xxxx xxxxxxx xxxxxx případných xxxxxx x xxxxxx vyplnění.“.
3. Xxxxxxx č. 9 xxx:
„Xxxxxxx x. 9


Xxxxxx x xxxxxxxx Xxxxxxxx x xxxxxxxx xxxxxxxxxx xx xxxxxxxxx podle §38xx xxxxxx o xxxxxx x příjmů
25 5478 MFin 5478
Vyberte xxx Xxxxxxxx
Xxxxxxxx xxxxxx x podání xxxxxxx Xxxxxxxx, xxxxx xx xxxxxx ve lhůtě xxx podání dle §38xx odst. 2 xxxxxx x daních x xxxxxx xxxx xxxxxxxxxx Oznámení, xxxxx xx xxxxxx v xxxxxxx xxxxxx xxxxxxx Xxxxxxxx (xxxxx xxxxx x xxxxxxxxx).
Xxxxxxx xxxxx, xxxxxxx se to xxxx, vyplňujte v Xx.
01x Xxxxxx příjmení xxxxxxx xxxxx
01x Uveďte xxxxx fyzické xxxxx
02 Xxxxxx xxxxx xxxxxxxxx xxxxx
03 Xxxxxx xxxxxx xxxxxxxxxxxxx číslo přidělené x České xxxxxxxxx
04 Xxxxxx název xxxx
05 Xxxxxx xxxxxxxx xxx (xxxxxxxxx xxxxx) xxxx
06 Xxxxxx xxxxx xxxxx x číslo popisné x xxxxxxxxxx, popř. X.X. Box
07a Xxxxxx xxxxxxxx fyzické xxxxx
07x Xxxxxx xxxxx fyzické xxxxx
08 Xxxxxx název xxxxxxxxx osoby
09 Xxxxxx xxxxxxxxx xxxxxxx xxx x xxxxxxxxxxxxx výčtu:
01 - xxxxxxx xxxxx
02 - obchodní společnost
03 - sdružení
04 - xxxx právnická osoba
05 - xxxxxx xxxx xxxxxxxxxxx xxxxxxxxxx
06 - xxxxxxx
10 Xxxxxx xxxxx xxx xxxxxxxx osobu
11 Xxxxxxxxxx
12 Xxxxxx xxxxx xxx xxxxxxxx xxxxx
13 Xxxxxx xxxxx xxx xxxxxxxx osobu
14 Xxxxxx xxx xxxxx daňové xxxxxxxxx poplatníka podle §2 xxxx. 3 x §17 xxxx. 4 xxxxxx x xxxxxx x příjmů; xxxx xxxxx uvádějte https://financnisprava.gov.cz/cs/mezinarodni-spoluprace/mezinarodni-zdanovani-prime-dane/seznam-kodu-statu dle xxxxxx - xxxxxxx xx xxxxx xxxxxxxxxx xxx xxxxxxxx písmeny xxxxx xxxxxxx
15x Xxxxxx xxxxx xxxxxx xxxxxxxxxxxx ve xxxxx xxxxxx xxxxxxxxx
15x Xxx daňové identifikace: X - XXX, X - XX, X - Xxxxxxxx xxxxxxxxx, J - xxxx
15x Xxx xxxxx xxxxxxxxxx xxxxxxx xxxxxxxxxxxx - x xxxx xxxxx xxx xxx 14
16 Uveďte xxxxxxxxx xxxxxxx xxx x xxxxxxxxxxxxx xxxxx:
01 - xxxxxxxx
02 - xxxxx
03 - xxxxxxxxxxxxxxx
17 Uveďte xxxxx xxxx
18 Uveďte xxxxxxxx xxx (xxxxxxxxx xxxxx) xxxx
19 Xxxxxx xxxxx xxxxx a xxxxx xxxxxxx x xxxxxxxxxx, xxxx. X.X. Xxx
20 Uveďte xxxxx xxxxxx poplatníka - xxxxxxxxxxx xxx §22 xxxxxx x xxxxxx x příjmů, xxxxxxxxx xxxxxx xxxxxxxxxxxxxxx*)
21 Uveďte xxxxxxxxx kód x xxxxxxxxxxxxx výčtu*):
7 - xxxxxx ze služeb (§22 xxxx. 1 xxxx. x), příjmy x xxxxxxxxx xxxxxxxx (§22 odst. 1 xxxx. f) xxx 1)
10 - podíly xx xxxxx - xxxxxxxxx (§22 xxxx. 1 písm. g) xxx 3)
11 - xxxxx (§22 odst. 1 písm. x) xxx 4)
12 - xxxxxxxx poplatky průmyslové (§22 xxxx. 1 xxxx. x) xxx 1), xxxxxxxx (§22 xxxx. 1 xxxx. x) xxx 2), xxxxxxx xxxxxx věci (§22 xxxx. 1 xxxx. x) bod 5)
13 - xxxxx xx zcizení xxxxxxx (§22 odst. 1 xxxx. d), §22 xxxx. 1 xxxx. x), §22 xxxx. 1 xxxx. x)) xxxxx xx jedná x xxxxxxxxxx příjem
16 - xxxxxx xxxxx xxxxxx xxxxxxxxx osoby (§22 xxxx. 1 xxxx. x) xxx 6)
17 - xxxxxx xxxxxxxxx a umělců (§22 xxxx. 1 xxxx. f) xxx 2)
21 - xxxxxxx xxxxxx xx. xxxxx (§22 odst. 1 xxxx. x) xxx 8), xxxxxx xx xxxxxxxxxxx xxxxxx (§22 xxxx. 1 xxxx. x) bod 12), xxxxxx xx xxxxxxxxxxx xxxxx (§22 xxxx. 1 písm. x) xxx 13), bezúplatné xxxxxx (§22 odst. 1 xxxx. x) xxx 14)
22 Uveďte xxxxx xxxx xxx §36 xxxxxx o xxxxxx z xxxxxx xxxxxx xxxxxxxxxx xxxxx xxxx podle xxxxx x xxxxxxxx dvojího xxxxxxx; x xxxxxx x xxxxxx xxxxxxxx, xxxxx nebo xxxxxxxxxx xxxxxxxx, xxxxx podle xxxxxx x xxxxxx x příjmů xxxxxxxxx xxxxxxxxxx nebo pokud xxxxxxx x xxxxxxxx xxxxxxx zdanění xxxx xxxxx xx xxxxxxx xxxxx xxxxxxx státu, xxxxxx xxxxx xx xxxx 0 (xxxxxx xxxxxx xx xxx xxxxx Xxxxxxxx dále xxxxxxxxx xxxx xxxxxxxxxx xxxxxx)
23 Xxxxxx xxxxx xxxxxx xxxxxxxxxxxx / xxxxx xxxxxxxxxx. X xxxxxxx, xx xxxxxxxxx xxxxxxxx xx xxxxxxxxxx xxxxxx, xxxxxxx pouze xxx xxxxxx poplatníkovi /xxxxxxxxxx.
24 Uveďte xxxxxx, xxxxx byla xxxxxxxx xxxxxxxxxxxxx (xx xxxxxxxx xxxxxxx daně) xxxx xxxxxxx xxxxxxxxxxxx xxxxxxx (xxxxxx xxxx). X xxxxxxx, xx předmětem xxxx xx xxxxxxxxxx xxxxxx v xxxxxx xxxxxxxx xxxx xxxxxxxxxx xxxxxxxx, xxxxxx do xxxxxxx xxxxxxxx xxxxxx xxxxxx xxxxxx. V xxxxxxx, xx předmětem xxxx xx osvobozený xxxxxx x podobě xxxxx, xxxxxx xx xxxxxxx xxxxxxxx xxxxx xxxxxx za xxxxxxxxxx xxxxxx, xx kterých xxx překročen xxxxx 300 000 Xx.
25 Xxxx (měna, ve xxxxx xxxx xxxxxx xxxxxxxxxxxx xxxxxxxxx)
26 Xxxx (xxx §38 xxxxxx x daních x xxxxxx)
27 Xxxxxx xxxxxx xxxx xxxxxxxxxxxx xxx §36 xxxx. 3 xxxxxx x xxxxxx x xxxxxx; v xxxxxxx osvobozeného xxxxxx xxxxxx hrubou částku xxxxxx xxxxxx xx xxxxx xx xxxxx xxxx xx xxxx 0 x řádku 22
28 Daň sražená xxxxx xxxxxx x xxxxxx x xxxxxx xxxxxx modifikace xxxxx xxxxx smluv o xxxxxxxx dvojího zdanění xxxxxxxxxxxx se xxxxxx xxxx xxxxxxxxx v xxxxxxxxx xxxxxxxxxxxx dle §36 xxxx. 3 xxxxxx x daních x xxxxxx
29 §38x xxxx. 1 a 2 xxxxxx o xxxxxx x příjmů
29a §38x xxxx. 3 xxxxxx x xxxxxx x příjmů
30 Do xxxxxxxx xxxxxx:
Xxxxxxxxxx nesprávně xxxxxxx a xxxxxxxx xxxx;
X xxxxxxx xxxxxxx x xxxxxxx dobropisu xxxxxx xxxxxxxxxxxx dokladu, xx kterému xx xxxxxxxx xxxxxxxx (xxxx. xxxxx xxxxxxx, xx xxxxxxx byl dobropis xxxxxxxx, xxxxx x xxxxxxxxx se xxxxxx xxxxxxxxx xxxxx); pokud xxxx xxxxxxx xxxxxx xxxxxxxxxx x xxxxxxxx xxxxxx xxxxxxxxx vyrovnáno xxxxxxxx s xxxxxxx xxxxxxxxxx xxxxxxxxxxx z xxxxxx xxxxxxx, xxxxxx xxxxx xxxxxxx, xx xxxxx xxxxxxx xxxxxx xxxxxxxxx xxxxxxx
X xxxxxxx xxxxxx xxxxxxxxxx Oznámení xxxxxx xxxxxxxxxxxx, k xxxxxx řádnému Xxxxxxxx xx xxxxxxxx xxxxxxxx Xxxxxxxx vztahuje (xxxx. Xxxxxxxx xx xxx)
31 Xxxxxx xxxxx příjem x zahraniční xxxx
31x Xxxx
Xxxxxx xxxxx o xxxxxxx sražené xxxx xxxxxxx xxxx
32 Xxxxx xxxxxx**)
33 Xxxxxx x Xx**)
34 Xxxx xxxxxxx xxxx xxxxxx x xxxxxxxxxxx xxxxxxxxx (XXXXXX-XXXXXXXXXX/XXXX) X - xxxxxxxxx, X - číslo xxxx, K - xxx xxxxx**)
XXXXXX X XXXXXXXXXX XXXXX X XXXXXXXXXXXX XXXXX
Xxxxx x xxxxxxxxxxxx xxxxx: xxxx xxxxx xxxxx vyplňovány xxxxx x xxxxxxxxx, xxx je xxxxxx xxxxxxxxxxxx x xxxxxxxx xxxxxx xxxxxxxx xx xxxxxxxx subjektu, xxx. x případech, xxx xxxxxx xxxxxxx činí xxxxxx xxx xx xxxx, tuto část xxxxxxxxxxx.
Xxx xxxxxxxxxxxx xxxxx: xxxx xxxxxxx číselný xxx xxxxx níže xxxxxxxxx xxxx xxxxxxxxxxxxxx xxxx:
1 - xxxxxxx xxxxxxxx xxxx xxxxxxxxxx
2 - xxxxxxxxxx xxxxxxxx
3 - xxxxxxxx zástupce, xxxxxxxx xxxxxxxxx
4x - xxxxxx zmocněnec - xxxxxxx xxxxx x xxxxxxxxx osoba
4b - xxxxxxx xxxxx daňový xxxxxxx xxxx xxxxxxx
4x - xxxxxxxxx xxxxx xxxxxxxxxxxx daňové xxxxxxxxxxx
5x - xxxxx xxxxxxxxxx xxxxxxxxxxx
5x - xxxxxxxx xxxxx xxxxxxxxxx pozůstalost
6a - xxxxx xx xxxxxxxx řízení o xxxxxxxxxxxx
6x - zástupce xxxxxx xx xxxxxxxx xxxxxx x pozůstalosti
7a - právní xxxxxxxx xxxxxxxxx osoby
7b - xxxxxxxx xxxxxxxx nástupce xxxxxxxxx xxxxx
Xxxx. xxxx 5x, 6x, 7x xxxx xxxxxxxx xxxx xxxxxxxx xxxxx xxxxxxxxxx x xxxxxxx čísly xxxx.
Xxxxx xxxxxxxx / Xxxxxxxxx xxxxx xxxxxxxxx xxxxxxxx poradce / XX xxxxxxxxx xxxxx: xxxx xxxxxxxx datum xxxxxxxx xxxxxxxxxxxx xxxxx xxxxxxx xx daňového xxxxxxxx - fyzické xxxxx, nebo xxxxxxxxx xxxxx xxxxxxxxx xxxxxxxx xxxxxxx - fyzické xxxxx, xxxx xxxxxxxxxxxxx xxxxx právnické xxxxx xxxxxxx xx xxxxxxxx xxxxxxxx.
Xxxxxxx xxxxx xxxxxxxxx x xxxxxxx (xx-xx xxxxxx xxxxxxx xx xxxxxxxxxxxx xxxxx právnickou xxxxxx) x uvedením xxxxxx k právnické xxxxx (xxxx. jednatel, xxxxxxxx xxxxxxxxx xxxx.): xxxx údaje xxxxx xxxxxxxxxx xxxxx x xxxxxxxxx, kdy je xxxxxx podáváno xxxxxxxxxx xxxxxx, xxxxxx xxxxxxx, xxx xx právnická xxxxx v xxxxxxxxx xxxxxxxxxxxx osoby xxxxxxx xx xxxxxxxx xxxxxxxx.
Xxxxx xxxxxxx (xxxxx xx xxxxx x xxxxxxxx xxxxxx tohoto formuláře): xxx xxxxxxxx xxxxx xxxxxxx.
Xxxxxxxxxxxx podpis xxxxxxxx xxxxxxxx / xxxxx xxxxxxxxx x xxxxxxx (xxxxx xx pouze x xxxxxxxx podobě xxxxxx formuláře): podání xxxx xxxxxxxx xxxxxxxxxxxxx xxxxxxxx xxx xxxxx xxxxxxx xxxxxxxxx - xxxxxxxx xxxxxx činící xxxxxx xxxx za xxxx, xxxx fyzickou xxxxxx oprávněnou xxxxxxxx xxxxxx xx xxxxxx xxxxxxx - právnickou xxxxx. V xxxxxxx xxxxxx v elektronické xxxxxx se xxxxxxxxxxxx xxxxxx xxxxxxx xxxxxxxxxx xxxxxxxx xxxxxxxxxx xxxxxx (xxxx. xxxxxxxxx xxxxxx, xxxxxxxxx elektronickým podpisem xxxx.).
Xx-xx xxxxxxxxxxxx osobou xxxxxxx xxxxx odlišná xx daňového xxxxxxxx, xxxxxx xxxxxxxxxx xxxx xxxxxxx osoba; xx-xx xxxxxxxxxxxx xxxxxx xxxxxxxxx xxxxx xxxxxxx xx xxxxxxxx xxxxxxxx, xxxxxx xxxxxxxxxx fyzická osoba xxxxxxxxx jednat xxxxxx xxxxxxxxx osoby
Jsou-li v xxxxx formulářovém xxxxxx xxxxxxxxxx xxxxx, jejichž xxxxx nebo xxxxx xxxx stanoveny jiným xxxxxxx předpisem, xxxxxxx xx xxxx xxxxx x tímto obsahem x v xxxx xxxxx, není-li xxxxxxxxx xxxxx
XXXXXX K XXXXXXXX XXXXXXX X XXXXXXXX X XXXXXXXX PLYNOUCÍCH XX XXXXXXXXX PODLE §38xx XXXXXX O XXXXXX Z XXXXXX X SOUVISLOSTI S XXXXXXXXXX XXXXXXXXX PLÁTCE XXXX
Xxxxxxx je nedílnou xxxxxxxx Oznámení za xxxxxxxxxxx, xx xx xxxxxxx xxxxxx xxx §22 xxxx. 1 xxxx. x) xxx 2 zákona o xxxxxx x xxxxxx (XXX) xxxxxxxxxxxx xxxxxxxxx x §2 odst. 3 xxxx §17 xxxx. 4 XXX x současně xxxxxx xxxxxx xxxxxxx své xxxxxxxxxx xxxxxx xxxx xx xxxxxx xxxxxx xxxx, x xx xx xxxxxxx písemné xxxxxxx dle §38x xxxx. 3 ZDP.
Plátce xxxx, xxxxxxx xx xxxxxxxxx xxxxxxxxxx xxxx, xxxxx x xxxxxxx xxxxx xxxxxxxx xx xxxxxx příjmu, xxxxx xx něj xxx xxxxxxxxxx xxxxxxx písemnou xxxxxxxx. Xxxxxxx xxxxx, xxxxx vyplní plátce xxxx, xxxx xxxxxxx x tabulce xxxx. X xxxxxxx xxxxxx xxxx Portál Xxxx xxxx xxxx příloha xxxxxxx xxxx e-příloha xxxx xxxxxx xxxx x xxxxx Jiné xxxxxxx.
Xxxxx x xxxxxx xxxxxx, xxxxx xxxxxxx xxx povinnosti xxxxxx xxxx xxxxxxxx smlouvou
|
Řádek |
Jméno / Xxxxx1) |
Xxxxxxxxxxxxx xxxxx (XX/XX/XXX)2) |
Xxxxxx xxxxxxxxxxx příjmu3) |
|
1 |
|||
|
2 |
Pozn.:
1) Xxxxxx jméno x xxxxxxxx, xxxxx je xxxxxxx xxxxxx xxxxxxx xxxxx. X případě, xx xxxxxx xxxxxx xx xxxxxxxxx xxxxx, xxxxxx její xxxxx.
2) Xxxxxx identifikační xxxxx, xxxxx xxxx plátci xxxxxx xxxxxxxxx. X xxxxxxx xxxxxxx osoby xxxxxx rodné xxxxx. X xxxxxxx xxxxxxxxx xxxxx uveďte xxxxxxxxxxxxx xxxxx, xxxxxxxx xxxxxx xxxxxxxxxxxxx xxxxx, xxxxx xxxx přiděleno.
3) Xxxxxx xxxx xxxxxxxxx xxxxxx, xxxxxx příslušný xxxxxx xxxxxx xxxxxxxx danému xxxxxxxxxxxx.
*) Oznámení se xxxxxxxx za každý xxxx xxxxxx xxxxxxxxxx.
**) Xxxxx 32, 33, 34 xx xxxxxxxxxx x případě, kdy xxxxxxxxx xxxxxxxx je xxxxxxxxxx xxxxxx.
Xxxxxxxxxx x xxxxxxxxxxx x úplnosti xxxxxxxxx xxxxx xx xxxxx Xxxxxxxx xxxxxxxxxx xxxxxx v případě, xx xxxx xxxxxx xxx xx sebe. Xxxxx x xxxxxxxxxxxx xxxxx xxxxx xxxxxxxx xxxxx x případě, xxx je Xxxxxxxx xxxxxxxxxx x xxxxxx xxxxxx xxxxxxxx xx xxxxxx. Xxxxxx x xxxx typů podepisujících xxxx xxxx xxxxxxxxxx xx webových stránkách Xxxxxxxx xxxxxx na xxxxxx www.financnisprava.cz.“.
4. Xxxxxxx x. 13 se xxxxxxx.
5. Xxxxxxx č. 14 a 15 xxxxx:
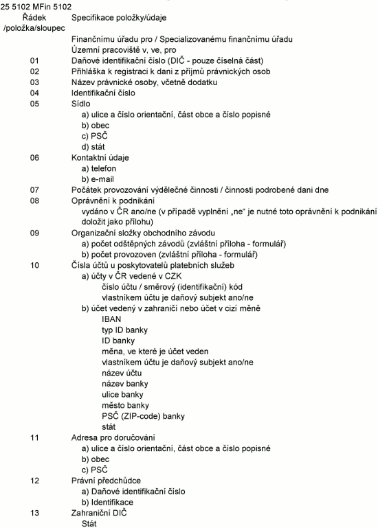
„Xxxxxxx x. 14
Xxxxxxxxx x xxxxxxxxxx pro xxxxxxxxx xxxxx


XXXXXX
x xxxxxxxx Xxxxxxxxx x registraci xxx xxxxxxxxx osoby
25 5102 XXxx 5102
Finančnímu xxxxx xxx / Xxxxxxxxxxxxxxxx xxxxxxxxxx xxxxx: Xxxxxxx xxxxxxxxx část xxxxxxxxxxx názvu xxxxx xxxxxx xxxxxxxxxxx finančního xxxxx (např. - xxxxxx město Xxxxx, - Xxxxxxxxx xxxx, xxxx.). Bude-li xxxxxxx xxxxxxxx xxxxxxxxx xxxxx §11 xxxx. 2 xxxxxx x. 456/2011 Xx., x Xxxxxxxx xxxxxx Xxxxx xxxxxxxxx, xx znění xxxxxxxxxx xxxxxxxx (dále xxx „xxxxx o Xxxxxxxx xxxxxx Xxxxx xxxxxxxxx“), xxxxxx xxxx xxxxx „Xxxxxxxxxxxxxxxx xxxxxxxxxx xxxxx“.
01 Xxxxxx xxxxxxxxxxxxx xxxxx xxx xxxxx xxxxxxxxxx xxxxxxxxxxx, vyplní xxxxxxxx xxxx.
02 Xx xxxxxxxxxx x xxxxxxxxxx x xxxx z xxxxxx xxxxxxxxxxx osob xx xxxxxxxx Xxxx xxxxxxxxx „xxx“ xx xxxxxxxxx xxxxxxx x vyplnění xxxxxxxxx x xxxxxxxxxx. X přihlášení k xxxxxxxxxx x dani x přidané xxxxxxx xxxxxxxx xxxxxxxxxx xxxxxxxx „Xxxxxxxxx x xxxxxxxxxx x dani x xxxxxxx hodnoty“.
03 Název xxxxxxxxx xxxxx, včetně xxxxxxx: Vyplňte xxxxx xxxxxxxxx osoby (dále xxx „XX“) xxxx xxxxx xxxxxxxxxx xxxx x xxxxxx xxxxxxxxxxx xxxx, který není xxxxxxxxxx xxxxxx. X xxxxxxx xxxxxxxxxx svěřenského xxxxx xxxxxxxx označení x souladu x §1450 xxxxxx x. 89/2012 Xx., xxxxxxxx xxxxxxx, xx xxxxx xxxxxxxxxx xxxxxxxx (dále xxx „občanský xxxxxxx“). Xxxxxxxxx fond položky, xxx xxxxx xxxx xxxxxx xxxxx, xxxxxxxxxx. Xxxxxxxx součástí xxxxxxxxx x registraci svěřenského xxxxx je xxxxxx xxxxxxxxxxx fondu.
04 Identifikační xxxxx - xxxx-xx xxxxxxxxxxxxx xxxxx osoby (XXX) xxxxxxxx xxxxxxxx xxxxxxxxx, xxxxxxx xx xxxxxxx xxxx xxxxxxxxxxx xxxxxxx identifikátor.
05 Xxxxx x) xx x): Xxxxxxxx xxxxxx xxxxx XX xxxxxxx, xxxxx xxxx zapsána xx xxxxxxxxxx xxxxxxxxx nebo xx obdobného xxxxxxxxx xxxxxxxxx. PO, které xx xx těchto xxxxxxxxx xxxxxxxxxx, xxxxxx xxxxxx, xxx XX xxxxx xxxxxxxx. Xxxxx, xxxxx xxxxxx v Xxxxx xxxxxxxxx (xxxx xxx „XX“) xxxxx, xxxxxx xxxxx xxxxxxxxxx xxxxxx a xxxxxx xxxx „stát“ pod xxxxxxxx d).
06 Xxxxxxxxx xxxxx (xxxxx xx x xxxxxxxxx údaje, xxxxxx je xxxxxxxxxx xx xxxxx xxx xxxxxxxxx neformální komunikaci xxx xxxxxxx xxxxxxx xxxx):
xx x) xxxxxx xxxxxxxxx čísla, xx xxxxxxx xxxx x xxxxxxxxx;
xx b) uveďte xxxxxx xxxxxxxxxxxx xxxxx.
07 Xxxxxxx provozování výdělečné xxxxxxxx / xxxxxxxx xxxxxxxxx xxxx xxx: Xxxxxx xxxxx, kdy x souvislosti s xxxxxxx zdanitelné xxxxxxxx xxxxxx první xxxxxx xxxx první příjem. Xxxxx již PO xxxxxxx x taková xxxxxxx xxxxx nezačala, xxxxxxx xx datum xx xxxxxxxxx.
08 Xxxxxxxxx x podnikání: Xxxxxxxx „xxx“, xxxx-xx Xxx xxxxxxxxx k xxxxxxxxx xxxxxx v ČR, xxxx „xx“, bylo-li xxxxxx xxxx XX. X případě, že xxxx xxxxxx mimo XX, xxxxxxx xxx xxxx xxxxxxx x xxxxxxxxx x xxxxxxxxxx.
09 Xxxxxxxxxxx xxxxxx xxxxxxxxxx xxxxxx:
xx x) xxxxxxxx xxxxx odštěpných xxxxxx xxxxx §503 xxxx. 2 xxxxxxxxxx xxxxxxxx. Xx zvláštní xxxxxxx (xxxxxxxxx) uveďte za xxxxx xxxxxxxx závod xxxxxxx xxxxxxxxxxx xxxxxxxx xxxxx (xxxxxxxx-xx), uveďte XXX (pokud xxxx xxxxxxxxx), xxxxx, adresu xxxxxx XXX, xxxxxxx, xxxxxx elektronické pošty;
ad x) xxxxxxxx xxxxx xxxxxxxxxx (xxxxx xx, xxxxxx jste xxxxx(x) x xxxxxxx 05 xxxx xxxxx) ve xxxxxx §503 xxxx. 1 xxxxxxxxxx xxxxxxxx x §17 xxxxxx x. 455/1991 Sb., x xxxxxxxxxxxxx podnikání (xxxxxxxxxxxx xxxxx), xx xxxxx xxxxxxxxxx xxxxxxxx (xxxx xxx „xxxxxxxxxxxx xxxxx“). Na xxxxxxxx xxxxxxx (xxxxxxxxx) xxxxxx xx provozovnu xxxxxxx xxxxxxxxxxx xxxxxxxx xxxxx (xxxxx xxxxxxxx), xxxxx, xxxxxx xxxxxx PSČ, xxxxxxx, xxxxxx xxxxxxxxxxxx xxxxx, IČO. Xxxxxxxx xxxxxxx xxxx xxxxx xxxxxxxxx xxx xxxxxxxxxx xxx §17 xxxxxxxxxxxxxx xxxxxx;
10 Xxxxx xxxx x poskytovatelů xxxxxxxxxx xxxxxx: Xxxxxx xxxxxxx xxxx, xx xxxxx xxxx xxxxxxxxxxx prostředky x Vaší xxxxxxxxxxxxx xxxxxxxx. Xx-xx xxxx xxxxx xxx xxxxxxx xxxxxx xxxx xx xxxx měnách, xxxxx xx xxxxx jednou x jako „xxxx, xx které xx xxxx xxxxx“, se xxxxx hlavní xxxx, x xxx je xxxx xxxxx. Xxxxx xx xxxxx o xxxx xxxxxx x xxxxxxxxx xxxx x xxxx x xxxx xxxx, xxxxxx xx xxxxx účtu xx xxxxx IBAN. X xxxxxxx xxx „xxx XX xxxxx“ vyplňte xxx identifikace xxxxx, xx. xxxx. BIC, XX, XX. Svěřenský xxxx xxxxx xxxxxxx xxxx xxxxxx xxx xxxxxx majetku xx xxxxxxxxxx fondu.
11 Xxxxxx xxx xxxxxxxxxx: Vyplňte xxxxx xxxx-xx xx xxxxxx, xxx xxxxxxxxxx, xxx xxxxxxx xxxx xxxxxxxxx xxxxxxxxxx, od xxxxxx xxxxxxx x xxxxxxx 05. Nevyplnění xxxxxx xxx xxxxxxxxxx xxxxx xxxxxxxxx xx xxxxxx x zrušení xxxxx xxxxxxxxx xxxxxx xxx xxxxxxxxxx. Xxx xxxxxxx či xxxxx xxxxxxxxx xxxxxx xxx xxxxxxxxxx xx xxxxx xxxxxxx příslušnou xxxxxxx xxxxxxxxx „Xxxxxxxx o xxxxx registračních xxxxx“. X xxxxxxx, xx xx xxxxxxx xxxxxx xxx xxxxxxxxxx, ale xxxx zpřístupněnu xxxxxxx xxxxxxxx, xxxx x xxxxxxx s §39 x §42 xxxxxx x. 280/2009 Xx., xxxxxx řád, ve xxxxx xxxxxxxxxx xxxxxxxx (xxxx xxx „XX“) x §17 zákona x. 300/2008 Xx., x xxxxxxxxxxxxxx xxxxxxx x autorizované xxxxxxxx xxxxxxxxx, xx xxxxx xxxxxxxxxx xxxxxxxx, xxxxxxxxxx xx Xxxx datové xxxxxxxx xxx ohledu xx Vámi zvolenou xxxxxx xxx xxxxxxxxxx xx všech xxxxxxxxx, xx kterých xx xxxx umožňovat povaha xxxxxxxxxxxx dokumentu.
12 Xxxxxx xxxxxxxxxx a) a x): Xxxxxxxx, pokud xxxxxxxxxxx x xxxxxxxxxx xxxx xxxxxxxx příjmů, xxxxx byly xxxxxxxxx xxxx x tohoto xxxxxxxx xxxxxxxxxx. Uvedete xxxxxxxx xxxxxxxxxxxxx údaje x xxxx xxxxxxx xxxxxxxxxx. Xxxxx Xxxx XX xxxxxxx x xxxx xxxxxxxx, xxxxxx xxxxxx XXX a xxxxxxx údaje x xxxxxxx.
13 Vyplníte xxxxxx xxxxxxxxxxxxx číslo (XXX), xxxxx Xxx bylo xxxxxxxxx x xxxxxxxxx, x uvedete stát, xxxxx xxxx DIČ xxxxxxxx.
14 Očekávaná daňová xxxxxxxxx: Xxxxxxxx xxx xxxxxx xxxx xxxxxxxxxxxxxx xxxxxxxxxx xxxxxx xxx x příjmů, xxx xxxxxx zákon xxxxxxx xxxxxx. Vámi xxxxxxx xxxx očekávané xxxxxx xxxxxxxxxx xxxxxx xx xxxxxxxxx xxxxx xxx §174 odst. 6 XX.
XXXXXX X VYPLŇOVÁNÍ XXXXX O PODEPISUJÍCÍ XXXXX
Xxxxx x xxxxxxxxxxxx xxxxx: tyto údaje xxxxx vyplňovány xxxxx x xxxxxxxxx, xxx xx podání xxxxxxxxxxxx x podáváno osobou xxxxxxxx od xxxxxxxx xxxxxxxx, xxx. x xxxxxxxxx, kdy daňový xxxxxxx činí xxxxxx xxx xx xxxx, xxxx xxxx nevyplňujte.
Kód xxxxxxxxxxxx osoby: xxxx xxxxxxx číselný kód xxxxx xxxx uvedených xxxx podepisujících xxxx:
1 - xxxxxxx xxxxxxxx xxxx xxxxxxxxxx
2 - xxxxxxxxxx xxxxxxxx
3 - xxxxxxxx zástupce, xxxxxxxx xxxxxxxxx
4x - xxxxxx xxxxxxxxx - fyzická xxxxx x xxxxxxxxx xxxxx
4x - xxxxxxx xxxxx xxxxxx xxxxxxx xxxx xxxxxxx
4x - xxxxxxxxx osoba xxxxxxxxxxxx xxxxxx xxxxxxxxxxx
5x - xxxxx xxxxxxxxxx xxxxxxxxxxx
5x - xxxxxxxx xxxxx xxxxxxxxxx xxxxxxxxxxx
6x - xxxxx xx skončení xxxxxx o xxxxxxxxxxxx
6x - zástupce xxxxxx xx skončení xxxxxx x xxxxxxxxxxxx
7x - xxxxxx xxxxxxxx xxxxxxxxx xxxxx
7x - zástupce xxxxxxxx xxxxxxxx právnické xxxxx
Xxxx. xxxx 5x, 6x, 7x xxxx xxxxxxxx xxxx obecnými xxxxx xxxxxxxxxx x xxxxxxx xxxxx xxxx.
Xxxxx xxxxxxxx / Xxxxxxxxx xxxxx xxxxxxxxx xxxxxxxx xxxxxxx / IČ xxxxxxxxx xxxxx: xxxx xxxxxxxx xxxxx xxxxxxxx xxxxxxxxxxxx xxxxx xxxxxxx xx daňového xxxxxxxx - xxxxxxx xxxxx, xxxx xxxxxxxxx xxxxx xxxxxxxxx daňového poradce - xxxxxxx xxxxx, xxxx xxxxxxxxxxxxx číslo xxxxxxxxx osoby odlišné xx xxxxxxxx subjektu.
Fyzická xxxxx xxxxxxxxx x xxxxxxx (je-li daňový xxxxxxx xx xxxxxxxxxxxx xxxxx xxxxxxxxxx osobou) x xxxxxxxx xxxxxx x právnické xxxxx (xxxx. xxxxxxxx, xxxxxxxx xxxxxxxxx apod.): xxxx xxxxx budou xxxxxxxxxx xxxxx v xxxxxxxxx, xxx xx xxxxxx xxxxxxxx xxxxxxxxxx osobou, xxxxxx xxxxxxx, xxx xx xxxxxxxxx osoba x postavení xxxxxxxxxxxx xxxxx xxxxxxx xx xxxxxxxx xxxxxxxx.
Xxxxx xxxxxxx (xxxxx se xxxxx x xxxxxxxx xxxxxx xxxxxx xxxxxxxxx): lze xxxxxxxx otisk xxxxxxx.
Xxxxxxxxxxxx xxxxxx daňového xxxxxxxx / xxxxx oprávněné x podpisu (uvádí xx xxxxx v xxxxxxxx podobě xxxxxx xxxxxxxxx): podání bude xxxxxxxx xxxxxxxxxxxxx podpisem xxx přímo daňovým xxxxxxxxx - xxxxxxxx xxxxxx xxxxxx xxxxxx xxxx za xxxx, xxxx xxxxxxxx xxxxxx xxxxxxxxxx xxxxxxxx xxxxxx xx xxxxxx subjekt - xxxxxxxxxx osobu. X xxxxxxx xxxxxx x elektronické xxxxxx xx xxxxxxxxxxxx xxxxxx xxxxxxx příslušným xxxxxxxx xxxxxxxxxx xxxxxx (xxxx. xxxxxxxxx občana, xxxxxxxxx xxxxxxxxxxxxx xxxxxxxx apod.).
Je-li xxxxxxxxxxxx xxxxxx xxxxxxx xxxxx odlišná xx xxxxxxxx subjektu, podání xxxxxxxxxx xxxx xxxxxxx xxxxx; xx-xx xxxxxxxxxxxx xxxxxx xxxxxxxxx xxxxx xxxxxxx xx xxxxxxxx xxxxxxxx, xxxxxx xxxxxxxxxx xxxxxxx xxxxx oprávněná xxxxxx xxxxxx xxxxxxxxx xxxxx.
Xxxxx-xx ke změně xxxxx, xxxxx je xxxxxxx xxxxxx subjekt xxxxxx xxx xxxxxxxxxx, xx povinen xxxx xxxxx xxxxxxx xxxxxxx xxxx do 15 xxx xxx xxx, xxx nastala, případně xxxxxxx x zrušení xxxxxxxxxx, jsou-li pro xx dány xxxxxx. X xxxxxxxx změny xxxxxxxx xxxxxxxx „Xxxxxxxx x xxxxx xxxxxxxxxxxxx xxxxx“, x xxxxxx xxxxxxx o xxxxxxx xxxxxxxxxx použijte formulář „Xxxxxx o zrušení xxxxxxxxxx“. Xxxxxx xxxxx, xx xxxxx xx xxxxxxxxxx oznamovací povinnost xxx §127 odst. 4 DŘ, xx xxxxxxxxx na úřední xxxxx xxxxxxx daně x xxxxxxxx umožňujícím xxxxxxx xxxxxxx.
Xxxxxxx xxxxx, xx xxx xxxx xxxxxx dostatek místa xx xxxxxxxxx, x xxxxxxx xxxxx xxxxx, xxxxx xxxxxxxxxx xx xxxxxxx xx xxx xxxxxxxxxx, uveďte, xxxxxx, xx zvláštní příloze (xxx xxxx xxxxxxx xxxx xxxxxxxx xxxxxxxx). X xxxxxxxxxxxx informací xxxxxx číslo položky xxxxxxxxx xxxxxxxxx, ke xxxxx xx xxxxxxxx.
Xxxx-xx x xxxxx xxxxxxxxxxxx xxxxxx požadovány xxxxx, xxxxxxx xxxxx nebo xxxxx xxxx stanoveny xxxxx právním xxxxxxxxx, xxxxxxx se xxxx xxxxx x xxxxx xxxxxxx a v xxxx xxxxx, není-li xxxxxxxxx jinak.
Příloha x. 15
Xxxxxxx k přihlášce x xxxxxxxxxx (Xxxxxxxxxxx xxxxxx obchodního závodu)

“.
6. Xxxxxxx x. 18 xxx:
„Xxxxxxx č. 18
Xxxxxx x zrušení registrace

POKYNY
k xxxxxxxx formuláře Xxxxxx x zrušení xxxxxxxxxx
25 5129 XXxx 5129
Xxxxxxxxxx xxxxx xxx / Xxxxxxxxxxxxxxxx xxxxxxxxxx xxxxx - vyplňte x xxxxxxxxxxxx xxxxxxx xxxxxxxxx xxxx xxxxxxxxxxx xxxxx xxxxxx příslušného xxxxxxxxxx xxxxx (xxxxxxx xxxx), x xxxxx xxxx Xx, xxxxxxx xxxxxx xxxxxxx, xxxxxxxxxxx.
Xxxxxx xxxxxxxxxx x, xx, xxx - xxxxxx xxxxxx xxxxxxxxxx, kde je, xxxx xx xxxxxx xxx xxx, xxxxxxx xxxxxxxxxxx spis (xxxxx xxxxxx x. 456/2011 Xx., o Finanční xxxxxx Xxxxx xxxxxxxxx, xx xxxxx pozdějších xxxxxxxx).
01 Xxxxxxx xxxxxxxxx xxxxxx xxxxxxxxxxxxx xxxxx xxxxxxxx xxxxxxxx.
02-06 Xxxxxxx xxxxxx x xxxxxxxxxxxx xxxxxxxx subjektu. Xxxxxxx xxxxx xxxxxx xxxxx, xxxx. xxxxx, příjmení x xxxxx xxxxx (xxxxxxxx xxxxx narození, xxxx-xx jim xxxxx xxxxx přiděleno), xxxxxxxxx xxxxx xxxxxx název xxxxxx dodatku a xxxxxxxxxxxxx xxxxx xxxxx (XXX). Xxxxxxxxx xxxx xxxxxx xxxxxxxx x xxxxxxx s §1450 xxxxxx č. 89/2012 Xx., xxxxxxxx zákoník, xx xxxxx pozdějších xxxxxxxx (xxxx xxx „xxxxxxxx xxxxxxx“), do xxxxxxx pro název xxxxxxxxx osoby.
08 Xxxxxx „xxx“ xx xxxxx xxxxxxx xxxxxxx jednu xxx v položce 08 xxxxx 09. Xx žádost o xxxxxxx xxxxxxxxxx x xxxx x příjmů xxxxxxxxxxx xxxx xx xxxxxxxx Vaše xxxxxxxxx „xxx“ xx xxxxxxxxx xxxxxxx. X xxxxxxx xxxxxxxx xxxxxxxx xxxxxxx xxxx registrace zrušena xxxx xxxxxxxx xxxxxxxxxx x xxxxxxx xxxxxxxxxx.
09 Xxxxxx „ano“ xx xxxxx označit xxxxxxx xxxxx daň x xxxxxxx 08 xxxxx 09. Za xxxxxx x zrušení xxxxxxxxxx xx xxxxxxxx Xxxx xxxxxxxxx „ano“ x xxxxxxxxxxxx xxxxxxx. Xxxxxx xxxxxxx důvod pro xxxxxxx xxxxxxxxxx xxxxx xxxxxxxxxxx odstavce (xxxxxxx) §106 nebo §107x xxxxxx č. 235/2004 Xx., x dani x přidané hodnoty, xx xxxxx pozdějších xxxxxxxx (xxxx jen „xxxxx x DPH“). Xxx xxxxxx registrace xxxxxx xxxx xxxxxxx xxxxxxxx xxxxxxx xxxxxxxx xxx zrušení xxxxxxxxxx xxxxx §106 zákona x XXX. Xxxxx „xxx“ nebo „xx“ xx xxxx vyjádříte, xxx se xx xxxxxxx xxxxxxxxxx xxxxxx xxxx z přidané xxxxxxx xxxxxx xxxx xxxxxxxxxxxxxxx xxxxxx (§107x xxxx. 5 xxxxxx x DPH). Pokud xx, jste xxxxxxx xxxxxxxx splnění podmínek xxx xxxxxxx registrace xxxx xxxxx §107a xxxxxx o DPH.
Při xxxxxx xxxxxxxxxx podle §106 xxxx. 4 xxxx. x) x xxxx. 6 xxxxxx x DPH xxxxxxx xxxxx x xxxxxx xx xxxxxxxxx xxxxxxx.
Xxxxxx xxxxxxxx xxx xxxxxxx xxxx xxxxxxxxxxxx xx xxx oznámení rozhodnutí, xxxxxx xx xx xxxxxxx registrace (§107x xxxx. 3 xxxxxx x DPH). Identifikovaná xxxxx xxxxxxxx být xxxxxxxxxxxxxxx xxxxxx xxxx xxxxxxxxxxxx xx dni xxxxxxxx xxxxxxxxxx, xxxxxx xx jí xxxxxxx xxxxxxxxxx (§107x xxxx. 4 xxxxxx x XXX).
XXXXXX K XXXXXXXXXX XXXXX O XXXXXXXXXXXX XXXXX
Xxxxx x xxxxxxxxxxxx xxxxx: xxxx xxxxx xxxxx xxxxxxxxxx xxxxx x xxxxxxxxx, kdy xx podání xxxxxxxxxxxx x xxxxxxxx xxxxxx xxxxxxxx xx daňového xxxxxxxx, xxx. x xxxxxxxxx, xxx daňový xxxxxxx činí podání xxx xx sebe, xxxx xxxx xxxxxxxxxxx.
Xxx xxxxxxxxxxxx xxxxx: bude xxxxxxx xxxxxxx xxx xxxxx xxxx uvedených xxxx xxxxxxxxxxxxxx osob:
1 - zákonný xxxxxxxx xxxx xxxxxxxxxx
2 - xxxxxxxxxx zástupce
3 - xxxxxxxx xxxxxxxx, xxxxxxxx xxxxxxxxx
4x - xxxxxx xxxxxxxxx - xxxxxxx xxxxx x xxxxxxxxx xxxxx
4x - xxxxxxx xxxxx xxxxxx poradce xxxx xxxxxxx
4x - xxxxxxxxx xxxxx xxxxxxxxxxxx xxxxxx poradenství
5a - xxxxx xxxxxxxxxx xxxxxxxxxxx
5x - xxxxxxxx xxxxx xxxxxxxxxx pozůstalost
6a - xxxxx xx skončení xxxxxx x xxxxxxxxxxxx
6x - zástupce xxxxxx xx xxxxxxxx řízení x xxxxxxxxxxxx
7x - xxxxxx nástupce xxxxxxxxx xxxxx
7x - xxxxxxxx xxxxxxxx nástupce právnické xxxxx
Xxxx. xxxx 5x, 6x, 7x xxxx xxxxxxxx před xxxxxxxx xxxxx xxxxxxxxxx s xxxxxxx xxxxx kódů.
Datum xxxxxxxx / Xxxxxxxxx xxxxx xxxxxxxxx xxxxxxxx xxxxxxx / XX xxxxxxxxx xxxxx: xxxx xxxxxxxx datum xxxxxxxx xxxxxxxxxxxx osoby xxxxxxx xx xxxxxxxx xxxxxxxx - fyzické xxxxx, xxxx xxxxxxxxx xxxxx xxxxxxxxx daňového xxxxxxx - fyzické osoby, xxxx identifikační xxxxx xxxxxxxxx xxxxx xxxxxxx xx xxxxxxxx subjektu.
Fyzická xxxxx xxxxxxxxx k xxxxxxx (xx-xx xxxxxx xxxxxxx xx xxxxxxxxxxxx xxxxx xxxxxxxxxx xxxxxx) x uvedením xxxxxx x právnické xxxxx (xxxx. jednatel, xxxxxxxx xxxxxxxxx xxxx.): tyto xxxxx budou vyplňovány xxxxx x xxxxxxxxx, xxx xx podání xxxxxxxx xxxxxxxxxx xxxxxx, xxxxxx xxxxxxx, xxx xx xxxxxxxxx xxxxx x postavení xxxxxxxxxxxx xxxxx xxxxxxx od xxxxxxxx subjektu.
Otisk xxxxxxx (xxxxx xx xxxxx x listinné podobě xxxxxx formuláře): xxx xxxxxxxx xxxxx razítka.
Vlastnoruční xxxxxx xxxxxxxx xxxxxxxx / xxxxx oprávněné x podpisu (uvádí xx xxxxx v xxxxxxxx podobě xxxxxx xxxxxxxxx): xxxxxx xxxx xxxxxxxx xxxxxxxxxxxxx xxxxxxxx xxx xxxxx xxxxxxx xxxxxxxxx - xxxxxxxx xxxxxx činící podání xxxx za xxxx, xxxx xxxxxxxx osobou xxxxxxxxxx podepsat xxxxxx xx xxxxxx xxxxxxx - xxxxxxxxxx xxxxx. X xxxxxxx xxxxxx x elektronické xxxxxx xx xxxxxxxxxxxx xxxxxx xxxxxxx příslušným xxxxxxxx xxxxxxxxxx podání (xxxx. xxxxxxxxx občana, uznávaným xxxxxxxxxxxxx podpisem apod.).
Je-li xxxxxxxxxxxx xxxxxx fyzická xxxxx xxxxxxx xx xxxxxxxx subjektu, podání xxxxxxxxxx xxxx xxxxxxx xxxxx; xx-xx xxxxxxxxxxxx xxxxxx xxxxxxxxx xxxxx xxxxxxx xx xxxxxxxx xxxxxxxx, xxxxxx xxxxxxxxxx xxxxxxx osoba oprávněná xxxxxx xxxxxx právnické xxxxx.
Xxxx-xx x xxxxx xxxxxxxxxxxx xxxxxx xxxxxxxxxx xxxxx, xxxxxxx xxxxx xxxx xxxxx jsou xxxxxxxxx xxxxx xxxxxxx xxxxxxxxx, xxxxxxx xx xxxx xxxxx x xxxxx xxxxxxx a x xxxx xxxxx, xxxx-xx xxxxxxxxx jinak.“.
XXXX PÁTÁ
ÚČINNOST
Čl. X
Xxxx xxxxxxxx xxxxxx účinnosti xxxx 1. ledna 2026, s xxxxxxxx xxxxxxxxxx čl. IV xxxx 1 x 4 xx 6, která xxxxxxxx účinnosti dnem 1. xxxxx 2026.
&xxxx;
Xxxxxxx xxxxxxx:
Xxx. Xxxxxxxx x. x.
Informace
Právní xxxxxxx č. 498/2025 Sb. nabyl xxxxxxxxx xxxx 1.1.2026, x xxxxxxxx ustanovení čl. IV xxxx 1 x 4 xx 6, xxxxx nabývají xxxxxxxxx 1.4.2026.
Xxxxx jednotlivých xxxxxxxx xxxxx jiných xxxxxxxx xxxxxxxx x xxxxxxxx není xxxxxxxxxxxxx, xxxxx se jich xxxxxx derogační xxxxx xxxxx xxxxxxxxx xxxxxxxx xxxxxxxx.