Právní předpis byl sestaven k datu 01.01.2026.
Zobrazené znění právního předpisu je účinné od 01.01.2026.
388
XXXXXXXX
xx xxx 25. xxxx 2025
x xxxxxxxxxxxxx xxxxxxxx xxx xxx x xxxxxxxxxx xxxx
&xxxx;
Xxxxxxxxxxxx xxxxxxx stanoví xxxxx §72 odst. 4 x 5 xxxxxx x. 280/2009 Xx., xxxxxx xxx, xx xxxxx xxxxxx x. 283/2020 Xx. x xxxxxx č. 218/2025 Xx.:
§1
Xxxxxxx xxxxxx
Xxxx xxxxxxxx xxxxxxx
x) xxxxxxxxx xxxxxxxxx xxxxxxxxxx xxxx xxxxxxxxxxxxxx xxxxxxxxxxxxx xxxxxx pro xxx x nemovitých xxxx x
x) xxxxxx xxxxxxxxxxxxxx xxxxxxxxxxxxx xxxxxx xxx daň z xxxxxxxxxx xxxx.
§2
Xxxxxxxx struktura xxxxxxxxxxxxx xxxxxx
Xxxxxxxx xxxxxxxxx xxxxxxxx x xxxx z xxxxxxxxxx věcí xxxxxx xxxxxx x xxxxxx xxxxxxxx xx xxxxxxx x příloze x xxxx xxxxxxxx.
§3
Xxxxxx xxxxxxxxxxxxx xxxxxx
Xxxxxxxxxxx xxxxxx xxxxx §2 xxx xxxxxxxxxxxx xxxxx xxxxx xx formátu XXX.
§4
Společná xxxxxxxxxx
Xxxxxxxx xxxxxxxxxxxxx xxxxxx xxxxxx Xxxxxxxxxxxxx xxxxxxx nebo datová xxxxxxxxx xxxxxxxxxxxxx xxxxxx xxxxxxxxxx xxxxxxxx xxxx xx považují za xxxxxxxxxxxx xxxxxxxx struktuře xxxxx §2 také x xxxxxxx, xx
x) xxxxxxx xxxx xx x xxxxx xxx xxxxxx xxxxxx,
x) xxxxxxxx xxxxxxx xxxx x xxxxxxx xxxxxx,
x) obsahuje xxxxxxxx x xxxxx xxxxxx, xxxxxx xxxxxxxxx xxxx xxxxxxxxx xx xxxxxxx povinně sdělovaných xxxxx,
x) xx od xxxx obsahové xxxxxxxxx xxxxxxxxx x xxxxxxxx xxxxxxxxx xxxxxxxxxxxxxxx xxxxxxx xxxxxx tiskopisu xxxx
x) xx xx xxxx xxxxxxxx xxxxxxxxx v xxxxxxxxx xxxxxxx xxxxxxxxx x xxxxxxxx xxxxxx xxxxxxxxx xxxxxxx xxxx xxxxx xxxxxxxxxxx xxxxxxxxx Xxxxxxxx xxxx.
§5
Xxxxxxxxx xxxxxxxxxx
Xxx daňová xxxxxxxx x xxxx x nemovitých xxxx xx zdaňovací období, xxxxx xxxxxxxx xxxxx xxxx xxxxxx účinnosti xxxx xxxxxxxx, xx xxxxxxx vyhláška č. 456/2020 Sb., x xxxxxxxxxxxxx xxxxxxxx xxx xxx x xxxxxxxxxx xxxx, xx xxxxx účinném přede xxxx nabytí účinnosti xxxx xxxxxxxx.
§6
Xxxxxxxxx ustanovení
Zrušují xx:
1. Xxxxxxxx č. 456/2020 Sb., x xxxxxxxxxxxxx podáních pro xxx x xxxxxxxxxx xxxx.
2. Xxxx xxxxx xxxxxxxx č. 437/2021 Sb., xxxxxx xx xxxx xxxxxxx xxxxxxxx x xxxxxxxxxxxxx xxxxxxxx xxx správě xxxx.
3. Xxxxxxxx č. 328/2023 Sb., xxxxxx se mění xxxxxxxx č. 456/2020 Xx., x formulářových xxxxxxxx pro xxx x xxxxxxxxxx xxxx, xx znění xxxxxxxx x. 437/2021 Xx.
4. Xxxxxxxx č. 297/2024 Sb., kterou xx xxxx xxxxxxxx x. 456/2020 Xx., x xxxxxxxxxxxxx xxxxxxxx xxx daň x xxxxxxxxxx xxxx, xx xxxxx xxxxxxxxxx xxxxxxxx.
§7
Účinnost
Tato xxxxxxxx nabývá xxxxxxxxx xxxx 1. xxxxx 2026.
Ministr xxxxxxx:
Xxx. Xxxxxxxx x. x.
Xxxxxxx




XXXXXX
x vyplnění xxxxxxxx x xxxx z xxxxxxxxxx xxxx xx xxxxxxxxxxx xxxxxx xxxx 2026
25 5450/1 XXxx 5450/1
Xxx x xxxxxxxxxx xxxx xxxxxxxx zákon č. 338/1992 Sb., o dani x nemovitých věcí, xx znění pozdějších xxxxxxxx (dále jen „xxxxx“).
Xxx x xxxxxxxxxx xxxx tvoří xxx x xxxxxxx a xxx ze xxxxxx x xxxxxxxx.
Xxx podat xxxxxx xxxxxxxx x xxxx x xxxxxxxxxx xxxx
Xxxxxxxx xxxxxxxx přiznání xxxxxx samostatných výpočtových xxxxx x jeho xxxxxxxx x xxxxxx x xxxxxxxxxx listům xxx získat xx xxxxx xxxxxxxx pracovištích xxxxxxxxxx xxxxx. X xxxxxxxxxxxx podobě je xx xxxxxxx XXX x xxxxxxxxx xx xxxxxxx na xxxxxxxxxxxxx xxxxxxxxx Finanční správy https://financnisprava.gov.cz/ v xxxxxxx Daňové xxxxxxxxx.
Xxxxxx xxxxxxxx k dani x nemovitých xxxx xxx xxxxx i xxxxxxxxxxxx. Xxx xxxxxxxxxxxx xxxxxx xxxxxxxx přiznání xxxxxxxxxxxx xxxxxx xxxxxxxx Xxxxxxxxxxxx xxxxxx xxx Xxxxxxxx xxxxxx (xxx. XXX) xxxx xxxxxxxx Xxxxxx xxxxxxxx xxxx (xxx xxxx dostupné xx xxxxxxxxxxxx adrese xxxxxxxxx orgánů Finanční xxxxxx ČR -&xxxx;www.mojedane.cz). X xxxxxxxx Xxxxxx xxxxxxxx xxxx po xxxxxxxxxx xx XXX+ xxxxxx xxxxxx xxxxxx xxxxxxxxxxxx xxxxxxxx xxxxxxxx, xxxxx xx dostupná x DIS+ x xxxxx XXXXXXXXX&xxxx;→ NOVÝ XXXXXXXXXXXX XXXXXXXX&xxxx;→ Daň x xxxxxxxxxx xxxx&xxxx;→ XXXXXXXXXXX XXXXXXXX.
Xxxxxxx xxxxxxxx xxx xxxxxxxxxxxx podání xxxxxxxx xxxxxxxx xxxxxx xxxxxxxx pouze v xxxxxx tvaru, xxxxx xxxxxxxxxxxx xxxxx xxxxx xxxxxx xxxxxxxx, ale xxxxx řádné (xxxxx) xxxxxx xxxxxxxx; xxxxxxxxx xxxxxx xxxxxxxx xx xxxxxx xxxxx v xxxxxx xxxxx, tj. x uvedením xxxxx xxxxxxxxxx věcí poplatníka x xxxxxxx xxxxxx xxxxx správce daně.
Daňové xxxxxxxx xx xxxxxx xxxx xxxxxx příslušnému xxxxxxx daně, xx. xxxx xxxxxxxxxx úřadu, x jehož obvodu xxxxxx působnosti se xxxxxxxxx xxxxxxxx věci xxxxxxxxx. Xxxxxxxx-xx xxxxxxxxx xxxx nemovitých věcí, xxxxxxxxxxxxx xx x xxxxxxxx xxxxxx xxxxxxxxxx xxxxxxxx xxxxxxxxxx xxxxx, xxxxxx daňové přiznání x každého x xxxx xxxxxxxxxx.
Xx území Xxxxx xxxxxxxxx xx xxxxxxx 14 finančních xxxxx, xxxxx x xxxxxxxxxx xx xxxxx xxxxxxx xxxxxxx xxxxxxxx xxxxxxxxxxxxx xxxxx, tj. xxxxxxxxxxxx xxxxx nebo xxxxxxxx města Xxxxx (xxxx xxx „xxxx“). Xxxxxx xxxxxxxxxx úřadu xx xxxxx xxxxx, xxxxx xxxxx xx xxxxxxxx xxxxx xxxxxxxxxx xxxxx. Xxxxxxx xxxxxxx xxxxxxxxxx s xxxxxxxxxx xxxxx, xxxx. podání xxxxxxxx xxxxxxxx x xxxxxxx písemností, xxxxxxxxx xx spisu, xxxxxxx xxxxxxxxx o xxxxxx xxxxxx povinnosti xxxx., xxxxxxxxx xxxxxxxxx územní xxxxxxxxxx xxxxxxxxxx úřadů. Xxxxxx xxxxxxxxx xxxxx xxxxxxxxxx ke xxxx xxxxxxxxx věcem xxxxxxxxxxxx xx xx xxxxx xxxxxxx xxxxx je xxxxxxxxxxx xx jednoho xxxxxxxx spisu poplatníka, xxxxxxxxx na xxxxxx xxxxxxx xxxxxxxxxx příslušného xxxxxxxxxx úřadu xxxx xxxxx xx finančním xxxxx.
Xxxxxxxx informace o xxxx x xxxxxxxxxx xxxx
Xxxxxxxxxx xxxxxxx je xxxxxxxxxx xxx. Xxxxxx xxxxxxxx x dani x nemovitých věcí xx xxxxxx xx xxxxxxxxx xxxxxx ke xxxxx x 1. xxxxx xxxxxxxxxxx období, xx. xxxxxxx. Ke xxxxxx skutečností rozhodných xxx daň, xxxxx xxxxxxxx v xxxxxxx xxxxxxxxxxx období, xx xxxxxxxxxx.
Xxxxxxx:
Xxxxx koupím např. xxxxxxx x xxxx 2025, tak daňové xxxxxxxx k xxxx x nemovitých xxxx xxxxxxx (xxxxxxx) xx xxxxxxxxx období xxxx 2026, a to xx 31. ledna 2026.
Xxxxxxxxx xxxx z xxxxxxxxxx xxxx xxxx xxxxxxx xxxxxxxxx x xxxxxxxx xxxxxxxxxxx, zdanitelné xxxxxx a zdanitelné xxxxxxxx xxxxxxxxxxx xx xx xxxxx České xxxxxxxxx. Na xxxxxxx, xxxxx xx xxxxxxxx xxxxxxxx, xx xxx xxxxx daně x xxxxxxxxxx xxxx xxxxx xxxx na nemovitou xxx, jejímž vlastníkem xx xxx, kdo xxxxxxx xxxxxxxx.
Xxxxxxxxxxx stavbou xx rozumí dokončená xxxx xxxxxxx xxxxxx, x to xxxxxx xxxxx definice katastrálního xxxxxx, případně inženýrská xxxxxx xxxxxxx x xxxxxxx zákona, x xx xxx xxxxxx xx xxxxxxxxxx, xxx xx xxxxxxxxx x xxxxxxxx nemovitostí. Xxxxxxx xxxxx xxxxxxxxxxxxx zákona xx xxxxxx xxxxxxxx xxxxxx xxxxxxx xx xxxx xxxxxx xxxxxxxx, xxxxx je prostorově xxxxxxxxxxx x xxxxxxx xxxxxxxx xxxxxxxx xxxxxxxxxx xxxxxxx a střešní xxxxxxxxxx. Není-li zdanitelná xxxxxx xxxxxxxxxxx xxxxxxxxx xxxx, xxxxx se xx xx pro xxxxx xxxx x xxxxxxxxxx xxxx jako xx xxxxxxxxx xxx, xxxxxx vlastníkem je xxx, xxx xxxxxxx xxx, xxxxx je xxxx xxxxxx xxxxxxxx.
Xxxxxxxxxxx xxxxxxxxx xx xxxxxx xxxxxxxxx xxxx xxxxxxx xxxxxxxx, xxxxxxxx podle xxxxxx č. 72/1994 Sb., o xxxxxxxxxxx xxxx, xx xxxxx xxxxxxxxxx xxxxxxxx, xxxx vzniklá xxxxx xxxxxx č. 89/2012 Sb., xxxxxxxx xxxxxxx, xx xxxxx xxxxxxxxxx xxxxxxxx (xxxx xxx „občanský xxxxxxx“).
Xxxxxxxxx xxxx z xxxxxxxxxx xxxx xx xxxx xxxx budovy nebo xxxxxxxxxx stavby uvedená x xxxxxxx xxxxxx, xxxx xxxxxxx xxxxxxxx, xx-xx xxxxxxxxx nebo xxxxxxx.
Xxxxxxxx k xxxx x nemovitých xxxx xxxxxx poplatník xxxx. Xx-xx xxxxxxxxxx xxxx x téhož předmětu xxxx xxxx, xxxx xxxxxxx plnit xxxxxxx xxxxxxxxx xxxxxxxx x xxxxxxxxxx. Xx-xx v xxxxxxxx nemovitostí u xxxxxxxx věci zapsáno xxxxxxxxxx xxxxx xxxx xxxx xxxx xxxx x xxxxx-xx o xxxxxxxxxxxxxxxx, xxxxx xx xx xxxx xxxxx xxx účely xxxx x xxxxxxxxxx xxxx xxxx na xxxxxxxxx xxxx nemovité xxxx, x xxxxx nelze xxxxx xxxxx xx xxxx xxxxxxxx věci. Xx platí xxxxxxx x pro spoluvlastnický xxxxx na nemovité xxxx. Xxxx-xx daňové xxxxxxxx jeden z xxxxxxxxxx majících vlastnická xxxx xxxx xxxxx x téže nemovité xxxx za celou xxxxxxxxx xxx, xxxxxxxx xx za xxxxxxxxxx xxxxxxxx, xxxxx xx xxxxxxxxxx xxxxxxx společného xxxxxxxxx, xxxx pokud xxxxxxxx samostatně xxxxxx xxxxxxxx za xxx xxxxxxxxxxxxxxx xxxxxx xx xxxxxxxx xxxx xxxxxxxxx.
Xx-xx xx xxxxx xx 31. xxxxx xxxxxxxxxxx xxxxxx podáno xxxxxx xxxxxxxx xxxxxxx jedním xx spoluvlastníků xx xxxx xxxxxxxxxxxxxxx podíl xx xxxxxxx (xxxx xxx „xxxxx xx xxxxxxx“), nebo xx xxxxxxxxxxxxxxx xxxxx na xxxxxxxxxx stavbě xxxx xxxxxxxxxx xxxxxxxx (dále xxx „podíl xx xxxxxx“), xx xxxxxxxxx xxxxx xxxxxx přiznání xxxxx spoluvlastník za xxxx xxxxx xx xxxxxxx, případně xx xxxx xxxxx xx xxxxxxxxxx xxxxxx xx xxxxxxxxxx xxxxxxxx xxxxxxxxxx. X xxxxxxx xxxxxxx xxxxxxxx a platí xxxxx xxxxxxxxxxxxx xxx xx výši xxxxx xxxxxx na xxxxxxx xxxx odpovídající xxxx xxxxxx xx xxxxxxx, xxxxxxxx podílu na xxxxxxxxxx stavbě či xxxxxxxxxx xxxxxxxx. Xxxxx xxxxxx xxxxx xxxxxxxx x xxxxxxx xxxxxxxxxxx x xxxxxxxx xxxxxxxxxxx xxxxxxxxxxxxx způsobem. Xxxxxxxx xxxxxxx xx xxxxxxxxxxxxxx xxxxxxx, xxxxxxxxxx xxxxxx xxxx xxxxxxxxxx xxxxxxxx xxxxxx xxxxxxxx xx xxxx xxxxxxxxxxxxxxx podíl xxxxxx, správce xxxx xx xxxxxx daň x xxxx xxxxxx xxx xxxxxxxxx výzvy x xxxxxx daňového xxxxxxxx.
Xxxxx xxxxxxxxxxxxxx nepodají xxxxxx přiznání prostřednictvím xxxxxxxxxx xxxxxxxx, xxx xxxxxxxxx xxxxxxxx podat xxxxxxxxxx xxxxxx přiznání xx své xxxxxxxxxxxxxxx xxxxxx, a xxx xx xxxxx správce xxxx xx xxxxxxx xxxxxxxxxx zmocněnce, správce xxxx xxx xxxxxx xxx x moci xxxxxx xx xxxx xxxxxx xxxxxxxxxxxxxxxxx podílu xxx xxxxxxxxx výzvy x podání xxxxxxxx xxxxxxxx.
Xxxxxxxxxxx xxxx xxxx xxx xxxxxxx xxxx xxxxxxxxx osoba.
Poplatníkem daně x xxxxxxx je
- vlastník xxxxxxx,
-&xxxx;xxxxxxxxx, xxx-xx o xxxxxxx zatížený xxxxxx xxxxxx,
-&xxxx;xxxxxxx xxxx pachtýř x pronajatého nebo xxxxxxxxxxxxxxx xxxxxxx,
•&xxxx;xxxxx xx x katastru xxxxxxxxxxx xxxxxxxx zjednodušeným xxxxxxxx,
•&xxxx;x xxxx je příslušná xxxxxxxxxx Správa xxxxxxxx xxxxxxxx xxxxxx,
•&xxxx;xxxxx je xx xxxxxxx rozhodnutí x xxxxxxxxxxx xxxxxxxx xx Xxxxxxxxxxxx xxxxxxx,
-&xxxx;xxxxxxxx xxxxxxx, xxxxx
•&xxxx;xxxx xxxxxxxx xxxxxxx xxxx, nebo
• s xxxxxxxx xx xxxxxxxxx xxxxxxxxxx Státní xxxxxxxxx xxxx xxxx Xxxx xxx xxxxxxxxxxx státu xx xxxxxx xxxxxxxxxxx.
X xxxxxxx ve vlastnictví Xxxxx xxxxxxxxx xx xxxxxxxxxxx xxxx
-&xxxx;xxxxxxxxxxx xxxxxx xxxxx, xxxxxx xxxxxxxxxxx xxxxxxxxxx, xxxxxx fond, xxxxxx podnik xxxx xxxx státní organizace, xxxxx xxxx xxxxxxxxx xxxxxxxxxx xxxx mají xxxxx hospodařit x xxxxxxxx xxxxx,
-&xxxx;xxxxxxxxx xxxxx, xxxxx xx xxxxx xxxxxx pozemek xx xxxxxxx xxxxxxxx xxxxxxx xxxxx zákona xxxxxxxxxxxx xxxxxxx xxxxxxx xxxxxx x xxxxxxx Xxxxx xxxxxxxxx.
X pozemků xx xxxxxxxxxx xxxxx, x xxxxxxxxx xxxxx a xx xxxxx obhospodařovaném xxxxxxxx společností xxxx xxxxxxxxxx xxxx xxxx xxxxx.
Xxxxxxxxxxx xxxx xx xxxxxx a jednotek xx
-&xxxx;xxxxxxxx xxxxxxxxxx xxxxxx xxxx xxxxxxxxxx xxxxxxxx,
-&xxxx;xxxxxxx xxxx pachtýř x xxxxxxxxx xxxx xxxxxxxxxxxxx xxxxxxxxxx jednotky, nebo x xxxxxxxxxx stavby,
• je-li x xxxx xxxxxxxxx xxxxxxxxxx Správa státních xxxxxxxx rezerv, xxxx
•&xxxx;xxxxx xxxx xx základě xxxxxxxxxx x privatizaci xxxxxxxxx xx Xxxxxxxxxxxx xxxxxxx,
-&xxxx;xxxxxxxx xxxxxxxxxx xxxxxx xxxx zdanitelné jednotky, xxxxx
•&xxxx;xxxxxxxx xxxxxxxxxx xxxxxx xxxx zdanitelné jednotky xxxx xxxx, xxxx
•&xxxx;xx xxxxxxxxxxx stavbou xxxx xxxxxxxxxxx xxxxxxxxx xx xxxxxxxxx hospodařit Xxxxxx xxxxxxxxx xxxx nebo Xxxx xxx xxxxxxxxxxx xxxxx xx věcech xxxxxxxxxxx.
X xxxxxxxxxx stavby xxxx xxxxxxxxxx xxxxxxxx xx xxxxxxxxxxx České xxxxxxxxx xx xxxxxxxxxxx xxxx
-&xxxx;xxxxxxxxxxx xxxxxx státu, xxxxxx příspěvková xxxxxxxxxx, xxxxxx xxxx, státní xxxxxx xxxx xxxx xxxxxx organizace, xxxxx xxxx příslušné xxxxxxxxxx xxxx xxxx xxxxx xxxxxxxxxx x majetkem xxxxx,
-&xxxx;xxxxxxxxx xxxxx, xxxxx xx xxxxx xxxxxx xxxxxxxxxxx xxxxxx xxxx xxxxxxxxxxx xxxxxxxx xx xxxxxxx výpůjčky xxxxxxx xxxxx xxxxxx xxxxxxxxxxxx xxxxxxx xxxxxxx xxxxxx x xxxxxxx České xxxxxxxxx.
X xxxxxxxxxx xxxxxx xxxx zdanitelné xxxxxxxx xx xxxxxxxxxx xxxxx, x podílovém fondu x xx fondu xxxxxxxxxxxxxxxx penzijní společností xxxx xxxxxxxxxx daně xxxx xxxxx.
Xxxxx xxx xxxxxx xxxxxxxx xxxxxxxx - řádné, dílčí, xxxxxxxx xxxxxxx xxxxx xxxx xxxxxxx dílčí xxxxxx přiznání xx xxxxxx včas nejpozději xxxx 31. xxxxx xxxxxxxxxxx období, x xxxxxxxxxxxxx výjimkami:
- nebylo-li xx 31. xxxxxxxx roku, xx kterém xxx xxxxx návrh na xxxxx xxxxx xxxxxxxxxxxx xx xxxxxxxx xxxxxxxxxxx, xxxxxx xxxx xxxxx xxxxxx, xxxxxxxxxx x xxxx xxxxxxxx, je xxxxxxxxx xxxxxxx za xxxxxxxxx xxx, která xxxx xxxxxxxxx xxxxxx xxxxx xxxxxxxxxxxx, podat xxxxxx xxxxxxxx nejpozději xx konce xxxxxxx xxxxxxxxxxxx xxxxxx následujícího xx xxxxxxxxxxx xxxxxx, x němž xxx xxxxxx xxxxx xxxxx xxxxxxxxxxxx xx xxxxxxxx xxxxxxxxxxx. Daňové xxxxxxxx xxxxxx poplatník na xxxxxxxxx období následující xx xxxx, x xxxx xxxxxxx xxxxxx xxxxxx xxxxxx. Xxxxxxxxx xxxxx xxxxxx přiznání xxxxxxxx, pokud daňové xxxxxxxx xx xxxxxxxxx xxx podal xxxxxxxx xxxxxxxx xxxxxxxx xxxx xxxxxxxx xxxxxxxxx (§13a xxxx. 11 zákona),
- nepřešlo-li xx 31. xxxxxxxx xxxxxxxxxxx xxxxxx vlastnické xxxxx k xxxxxxxx xxxx xxxxxxx x xxxxxx, xx xxxxxxxxx xx nemovitou věc xxxxxxx xxxxx xxxxxx xxxxxxxx xxxxxxxxxx xx xxxxx třetího kalendářního xxxxxx xxxxxxxxxxxxx následujícího xx xxxxxxxx xxxxxxxxxxxx xxxxxx, x xxxx xxxx xxxxxxx xxxxxxxx xxx nabytí xxxxxxxxxxxx xxxxx x nemovité xxxx xxxxxxxxx x xxxxxx xxxxxxxxxxxx xxxx xxxxxxxxxxxxx (§13a xxxx. 12 xxxxxx).
Xxxxxxxxx xx xxxxxxx x daňovém xxxxxxxx xxx xxxxxxxx xxx z nemovitých xxxx a uvést xxxxxxxxxx xxxxx, jakož x xxxxx xxxxxxxxx xxxxxxxx xxx xxxxxxxxx xxxx, xxxx. xxxxxxxx xxxxxxxx xxxxxxxxxx xx xxxxxxx, x xxxxxxxx xxxxxx xxxx.
Xxxxxx přiznání xx xxxxxxxx, xxxxx xx poplatník xxxxx xx xx byla xxx xxxxxxxxx x xxxx xxxxxx na xxxxxxx x xxxxxxxxxxx xxxxxxxxxxx xxxxxx x xx srovnání x xxxxx předchozím zdaňovacím xxxxxxx nedošlo xx xxxxx okolností xxxxxxxxxx xxx stanovení xxxx. X xxxxxxx případě xx xxxxxx daň x 31. xxxxx xxxxxxx xxxxxxxxxxx období xx xxxx poslední xxxxx xxxx.
Xxxxx-xx však xx xxxxxxxx x xxxxxxxxxx xxxxxxxxxx xxxxxxx xx xxxxx xxxxxxxxx xxxxxxxxxx xxx stanovení xxxx xxxxxx xxxxx x osobě xxxxxxxxxx (xx. xxxxxxx xx xxxxx x xxxxxxx, xxx dojde k xxxxxx či pozbytí xxxxxxxx xxxx, xx xxxxx výměry nebo xx xxxxx druhu xxxxxxx zařazeného xx xxxx xxxxxxx pozemků, xx xxxxx v xxxxxxx xxxxxxxxxx xxxxxx, x xxxxxxxx x xxxxx nadzemní xxxxxxx, xx xxxxxxxx půdorysu xxxxxxxxxx xxxxxx xxxxxxxxxx, xx xxxxx výměry xx xxxxxx xx xxxxxxxxxx, xx xxxxxx xxxxxxxxxx pozemku nebo xx xxxxxx zpevněné xxxxxx xxxxxxx), xx xxxxxxxxx xxxxxxx xxx xxxxxxx do 31. xxxxx xxxxxxxxxxx xxxxxx. X xxxxxx případech xxx xxx přiznat xxxxxxxxxx xxx xxxxxxx xxxxxxx daňového xxxxxxxx, xxxx xxxxxxx xxxxxxx xxxxxxxx xxxxxxxx. V xxxxxx daňovém xxxxxxxx xxxxxxxxx xxxxx xxxxxxx xxxxxxxx xxxx xx xxxxx k 1. xxxxx zdaňovacího xxxxxx, xxxxx jsou xxxxxxxxx xxxx, a u xxxxxxx xx xxxxxxxxxxx. Xxxxx xxxxxx přiznání xxx podat xxxxxxxxxxxx x pro xxxx xxxxxx lze xxxxxx xxxxxx xxxxxxxxxxxx xxxxxxxx xxxxxxxx dostupnou x Xxxxxx xxxxxxxxx úřadu xx přihlášení do Xxxxxx xxxxxxxxxx xxxxxxxx xxxx.
X xxxxxx daňovém xxxxxxxx xxxxxxxxx xxxxx xxx xxxxxxx xxxxx x výpočet celkové xxxx xxxx se xxxxxxxxx xxxxxx xxxx. Xxx výpočtu celkové xxxx daně xxxxxxxx xxx xxxxx xxxx xxxx z důvodu xxxxxxxx xxxxx xxxxx xxxx, xxxxxxxx xxxx xxxxxxxxxxxx xxxxxxx, xxxxx xxxxxxxxxxx xxxx x xxxxxxxx xxxxxxxxxxx, případně xxxxxxxx xxxxxxxxxx x xxxxxxxxxxx xxxxxxxxxx xxxx, xxxxx na xxxxxxxxxxx xxxxxxx podávaného xxxxxxx xxxxxxxx xxxxxxxx xxxxxxxxxx. Xxxxx xxxxxx xxxxxxxx xxxxx xxxxx xxxxxxxxxxxx.
Xxxxx-xx xx xxxxxxxx x xxxxxxxxxx xxxxxxxxxx obdobím xxxxx xx xxxxx xxxxx xxxx, xx xxxxx průměrné ceny xxxxxxxxxxxx pozemku xxxxxxxxx xx xxxxxxxxxx xxxxxxxxxxx xxxxxxxxxxxx územím, xx xxxxx xxxxxxxxxxx podle §6 odst. 3 xxxx 4, podle §11 xxxx. 4 xx 6 zákona, xxxxxxxxxx xxxxxxxxxxx, místního xxxxxxxxxxx, k zániku xxxxxxxxxx xx xxxx xxxxxxxxx zákonem stanovené xxxxx xxxxx xxxxxxxxx xxxxx xxxxxxxxx obecně xxxxxxxx xxxxxxxxx obce xxxxx §17a zákona x xxxxxxx xxxx xxxx xxx částečně xxxxxxxxx xx xxxx x xxxxxx xxxxxx, xx změně xxxxxx xxxxxxxxxxxx, xxxx xxxxxxxxx xxxxxxx xxxxx xxxxxx xxxxxxxx xxxx xxxxx xxxxxx xxxxxxxx ani xxxxxx tyto xxxxx xxxxxxx xxxx. Správce xxxx xxxxxx xxx xx xxxx poslední xxxxx xxxx xxxxxxxx x xxxxxxx xxxxx x xxxxxxxx xxxxxxxx xxxxxxxxxxxx sdělí platebním xxxxxxx nebo xxxxxxxxx xxxxxxxxxx xxxxxxxx.
Xxxxxxxx-xx fyzická xxxx xxxxxxxxx osoba xxxxxxxxx xxxxxxxxxx proto, xx xx x xxxxxxx zdaňovacího xxxxxx xxxxxxx xxxxxxxxxx nebo xxxx xxxxx xx xxxx nemovitým věcem x xxxxxxx xxxxxx xxxxx xxxxxxx xxxx, xxxxx x něho xxxxxxxxx xxxx x xxxxxxxxxx xxxx, xxxx xxxx xxxxxxxx věci xxxxxxx, je xxxxxxx xxxxxxx xxxx xxxxxxxxxx xxxxxxx daně xxxxxxxxxx xx 31. xxxxx xxxxxxxxxxxxx zdaňovacího období.
Zemřel-li xxxxxxxxx v průběhu xxxxx pro xxxxxx xxxxxxxx xxxxxxxx, xxxx xx xxxxxx povinnost xx xxxxx, podává xxxxxx xxxxxxxx xx xxxxxxxxx xxxxx spravující xxxxxxxxxxx, přičemž lhůta xxx xxxxxx xxxxxxxx xxxxxxxx se xxxxxxxxxx x dva xxxxxx. Xxxx-xx xxxxxxxx xxxxxx x xxxxxxxxxxxx x xxxxxxx xxxxx xxx xxxxxx xxxxxxxx xxxxxxxx, xxxx xx osoba xxxxxxxxxx xxxxxxxxxxx splnila xxxxxxxxx ho xxxxx, xxxxxx daňové xxxxxxxx xxxxx a lhůta xxx podání daňového xxxxxxxx xx prodlužuje x xxx xxxxxx.
Xxxxxxxxx xxxxxx xxxxxxxx xxxxxxxxx xxxxxx, jestliže zjistí, xx xxx xx xxx xxxxx xx xxxxx xxx xxxxxxxx xxxxx xxx. Xxxxxxxx xxxxx xxx xx xxxxxxxx xxx, xxx xxxx xxxxxxxx daně xxxxx xxxxxxxxxx xxxxxxxxx x xxxxxxxxxx xxxxxxx xxxxxxxx xxxxxx x xxxx xxxx. Dodatečné xxxxxx přiznání xx xxxxx xxxxx nejpozději xx xxxxx měsíce xxxxxxxxxxxxx xx měsíci, xx xxxxxx xxxxx x xxxxxx zjištění, x ve stejné xxxxx xxxx rozdílnou xxxxxx uhradit. Xxxxxxxxx xxxxxx xxxxxxxx xxx xxxxx xxxx:
•&xxxx;Xxxxxxxxx xxxxxx xxxxxxxx (xxxxx) x xxxxxxxx xxxxx nemovitých xxxx x xxxxxxx xxxxxx poslední známé xxxx xx xxxxxx xxxxx xxxxxxx x xxxxxxx změn u xxxxxxx počtu xxxxxxxxxx xxxx poplatníka, tedy x případech, xxx xx uvedení pouze xxxxxxxxx změn bylo xxxxxxxxxxx x komplikovalo xx xxxxxxx stanovení xxxx. Xxxxxxxxx xxxxxx xxxxxxxx (xxxxx) xxx xxxxx elektronicky x xxx xxxx xxxxxx xxx xxxxxx službu xxxxxxxxxxxx daňového přiznání xxxxxxxxx x Xxxxxx xxxxxxxxx xxxxx xx xxxxxxxxxx xx Xxxxxx xxxxxxxxxx xxxxxxxx xxxx.
•&xxxx;Xxxxxxxx xxxxxxxxx daňové xxxxxxxx, xx kterém poplatník xxxxx jen xxxxxxx xxxxx a rozdíl xxxxxx xxxxxxxx známé xxxx, xx xxxxxx xxxxx zejména x xxxxxxx dílčích xxxx x malého počtu xxxxxxxxxx xxxx. Zkrácené xxxxxxxxx xxxxxx přiznání xxxxx xxxxx elektronicky.
Opravným xxxxxxx přiznáním může xxxxxxxxx xxxx xxxxxxxxx xxxxx x xxxxxx xxxxxxxx xxxxxxxx xxxx xxxxxxxxxxx xxxxxxxx přiznání xxxxxxxx daňové xxxxxxxx, xxxxx xxxxxx xxxxxxxx xxxx xxxxxxxxx xxxxxx xxxxxxxx, xxxxx xxx xxxxx. X xxxxxx xx xxxx xxxxxxxxx xxxxx xxxxxx opravného xxxxxxxx přiznání x x xxxxxxxxxxx xxxxxxxx xxxxxxxx xx nepřihlíží. X opravnému xxxxxxxx xx xxxxxxx xxxxxxxxxx xxxxxxxx xxxxxxxx xxxxxxxx, x xxxxx xxxxxxx xx xxxxxxx, xxx xx jedná o xxxxxx xxxxxxxx řádné (xx. xxxxx), dílčí, xxxxxxxxx (xxxxx), xxxx xxxxxxxx dodatečné, a xxxxxxx xx přiznání xxxxxx jako xxxxxxx.
Xxx x xxxxxxxxxx xxxx xx xxxxxxx:
x)&xxxx;x poplatníků xxxx xxxxxxxxxxxxx xxxxxxxxxxx xxxxxx xx xxxx xxxxxxxx xxxxxxxxx, x xx nejpozději xx 31. xxxxx x xx 30. listopadu xxxxxxxxxxx xxxxxx,
x)&xxxx;x ostatních xxxxxxxxxx xxxx ve xxxx stejných splátkách, x to xxxxxxxxxx xx 31. xxxxxx x do 30. xxxxxxxxx xxxxxxxxxxx xxxxxx.
Xxxxxxxxxx-xx xxxxx xxx z xxxxxxxxxx věcí částku 5000 Xx, xx xxx xxxxxxx poplatníky xxxx splatná xxxxxxxx, x xx nejpozději xx 31. května xxxxxxxxxxx xxxxxx. Ke xxxxxxxx xxxx xxx xxx x xxxxxxxxxx xxxx zaplatit najednou x při vyšší xxxxxx. Xxxx-xx u xxxxxxx xxxxxxxxxx xxxxxxx xxx x xxxxxxxxxx xxxx xxxxxxxxxxxxx xx x xxxxxxx xxxxxx xxxxxxx xxxxxxx xxxx xxxx než 50 Xx x xxxx-xx xxxx xxxxxxxxx jinak, xxx xx neplatí, xxxxx xxxxxxxxx xxxxx xxxxxx xxxxxxxx xxxx.
Xxxx-xx xxxxxx pro xxxxxx xxxxxxxx xxxxxxxx podle xxxxxxxxxx §13a xxxx. 11 nebo odst. 12 xxxxxx, je x xxxxxxxxx xxxxxxxx xxxx daň xx xxx xxxxxxxx xxxxxxx xxxxxxxxxx xxxxxxx ve xxxxx xxx xxxxxx xxxxxxxx přiznání.
Činí-li xxxxxxx xxx z xxxxxxx x xxxxxxxxxx, xxxxx xxxxxx xxxxxx xxxxxxxx xx spoluvlastnický podíl xx dani x xxxxxxx nebo xxxxxxx xx stanovena xxx xx výši spoluvlastnického xxxxxx xx xxxx x xxxxxxx x xxxx úřední x xxxxxx územní xxxxxxxxxx xxxxxxx správce xxxx xxxx xxx 90 Xx, a xxxxxxx-xx xx x podíly xx daně zcela xxxxxxxxxx, xx jeho xxxxxxx xxx x xxxxxxx 90 Kč. Xxxxxxx se xxxxxxxxx x xxxx xx xxxxxx a xxxxxxxx.
Xxxxxxxx xxxxxxxxxxxx xxxxx xxxxxxxx x xxxx x xxxxxxxxxx xxxx:
Xxxxxxxxx xxxxx xxxx xxxxxxx - xxxxxxx xxxxxxx (xxxx. xxxxx x jména) xxxxxxxxxx xxxxxx, xxxxxxx xxxxx (xxxx. Kč, xxxxxx x x2, xxxxx nadzemních xxxxxxx) xxxxxxxxxx xxxxxxx.
Xxx vyznačení xxxx x xxxxxxx, xxxxxxxxxxxx xxxxxx xxxx xxxxxxxxxxxx jednotek x xxxxxx xxxxxxx xxxxxxxx xxxx xx xxxxxxxxx xxxxxxxxxx daňovém xxxxxxxx xxxxxxxx xxxxxxx xxxxx, x to x xxxxxxx 209 x xxxxxxx a x xxxxxxx 308 x xxxxxxxxxxxx xxxxxx nebo xxxxxxxxxxxx xxxxxxxx.
Xxx xxxxxxx xxxxxx xxxxxxxxxxx listu xxxxxxxxx xxxxxxxx xxxxxxxx x pozemků, xxxxxxxxxxxx xxxxxx xxxx xxxxxxxxxxxx xxxxxxxx v xxxxxx xxxxxxx xxxxxxxx nebo xxxxxxxxx xxxxxxxxxx xxxxxxx xxxxxxxx xxxxxxx xxxx xxxxxxxxxxx xxxxx příslušného xxxxxxxxx x xxxxxxxxxxxx xxxxxxxxxx xxxx, xxxxx xxxxxx z přiznání x xxxx vyjmout, x xxxxxxx xxxxxxx xxxx proškrtněte (platí xxxxx pokud xxxxxxxx xxxxxx xxxxxxxx v xxxxxxxx xxxxxx).
X xxxxxxx, xx do xxxxxxxx xxxxxxxx xxxxxxxx xxxxx xxxxxxxxx list x xxxx x xxxxxxx (xxxxxxxx 25 5532) xxxx k xxxx xx xxxxxx x xxxxxxxx (xxxxxxxx 25 5533), xxxxxxxx xxxxxxx x xxxxxxxxxxx xxxxx x dani x xxxxxxx (tiskopis 25 5534) xx přílohu x xxxxxxxxxxx xxxxx x dani ze xxxxxx a jednotek (xxxxxxxx 25 5535), xxxxxx x xxxx xxxxxxx xxxxx xxxxx xxxxxxx osoby nebo XX právnické xxxxx, xxxxxxxx DIČ (xxxxx Xxx bylo přiděleno) x zdaňovací xxxxxx, xx které xxxxxx xxxxxxxx xxxxxxxx. Přílohu xxxx označte pořadovým xxxxxx a xxxxxx xxxxxxxxxxx xxxxx x xxxx x pozemků xx x dani xx staveb a xxxxxxxx, x xxxxx xxxxxxx xxxxx.
Xxxxxxx xxxxxxx - xxx xxxxxxxxxx xxxxx u xxxxxxxxxxxx xxxxxxx xxxxxxxxx xxxxxxxx xxxxxxxx, případně xxx xxxxxxx xxxxxxxxxx informací xxxxxxxx běžný xxxx xxxxxx, xxxxx v xxxxxxx xxxxxxx xxxxxx xxxxxx fyzické osoby xxxx XX xxxxxxxxx xxxxx, případně XXX (xxxxx Xxx xxxx xxxxxxxxx) x xxxxxxxxxx xxxxxxx, xx xxxxx xxxxxx xxxxxxxx xxxxxxxx.
Xxxx-xx x xxxxx xxxxxxxxxxxx xxxxxx xxxxxxxxxx xxxxx, xxxxxxx obsah nebo xxxxx xxxx stanoveny xxxxx xxxxxxx předpisem, xxxxxxx xx tyto xxxxx s xxxxx xxxxxxx x x xxxx xxxxx, není-li xxxxxxxxx xxxxx.
XXXXXXX
Xxxxxxxxxx xxxxx xxx - xxxxxxx xxxx xxxxx xxxxxxxxxx xxxxx x xxxxx xxxx x xxxxxxx xxxxx Xxxxx, v xxxxx obvodu xxxxxx xxxxxxxxxx xx xxxxxxxxx xxxxxxxx věci nacházejí.
Územnímu xxxxxxxxxx - xxxxxx xxxxxx xxxxxxxxxx, na xxxx xx xxxxxx Xxx daňový xxxx x xxxx x xxxxxxxxxx věcí. Poplatníci, xxxxx xxxxxxxx xxxxxxxx x dani z xxxxxxxxxx xxxx xxxxxx, xxxxxx územní xxxxxxxxxx xxxxx pravidel xxx xxxxxxxx spisů xxxxxx xxxxxxxxxx daně zveřejněných xx xxxxxxxxx finanční xxxxxx&xxxx;www.financnisprava.cz.
Xxxxx xxxxx - xxxxxx xxxxxxx počet xxxxxxxxxxx xxxxx x xxxx x xxxxxxx x celkový počet xxxxxxxxxxx xxxxx x xxxx xx xxxxxx x xxxxxxxx xx xxxxxxxxxxx xxxxxxx. Xxxxxxx xxxxxxxx xxxxxxxx xxxxx xxxxxx x výpočtovým xxxxxx a počet xxxxxx xxxxxxxxx.
101 Xxxxxx xxxxxxxxxxxxx xxxxx (nepovinný xxxx) - uveďte x případě, že Xxx xxx xxxx xxx registraci x xxxxx xxxxx xxxxxxxxx.
102 Xxxxxxx xxxxx - Xxxxx číslo - xxxxxx fyzická xxxxx. Xxxxxxx (×) tuto xxxxxxx xxxxxxx x xxxxxx Xxxx rodné xxxxx. Xxxxx xx xx xxxxxxxx pouze xxx xxxxxxx, nebude xxxxxxxx xxxxx vyplněno. Xxx xxxxxxx xxxxx xx xxxxxxxxx, xxxxx xxxxxx xxxxxxxxx xxxxx xxxxx xxxx xxxxxxx xxxxxxxxxxxxx správce xxxx, xxxx xxxxxxxx xxxxxx xxxxxxxx xxxxx xxxxxxxxxxxx. Xxxxx xxxxxx xxxxxx xxxxxxxx x XXX xxx xxxxxxxx xxxxxx, xxxxxxx xxxxx číslo xxxxxx prázdnou. Xxxxxxxx xx vyplnění xxxxxxx xxxxx xxxxxxxx přiznání, xxx xxxx podání xxxxxxxx do PC x xxxxxxxxxx. Xxxx xxxxxxx x listinné xxxxxx xx nutné xx položky xxxxx xxxxx xxxxxxx xxxxx xxxxxxxx.
103 Xxxxxxxxx xxxxx - Xxxxxxxxxxxxx xxxxx - vyplňte v xxxxxxx, xx xxxxxxxxxxx xx právnická osoba. Xxxxxxx (×) xxxx xxxxxxx xxxxxxx a xxxxxx přidělené identifikační xxxxx právnické osoby - xxxxxxxxxx xxxx.
104 Xxxxxxxxx xxxxxxxxx xxxxxxxxxxx xxxxxx - v xxxxxxx kladné odpovědi xxxxxxx křížkem (×). Xxxxxxxxxxx xxxxxxxxxxxx xxxxxxxxxxx xxxxxx xx xxxxxx xxxxxxxxxx xxxxx xxxxxx č. 252/1997 Sb., o zemědělství, xx xxxxx xxxxxxxxxx xxxxxxxx.
105 Daňové přiznání - křížkem (×) xxxxxxx xxxxxxxxxxxx xxx xxxxxxxx přiznání, xx. xxx xx xxxxx x xxxxxx přiznání xxxxx, dílčí, xxxxxxxxx (xxxxx), xx xxxxxxxx xxxxxxxxx. Jestliže jste xx xxxxx xxx xxxxxx xxxxxxx, dílčího xxxx xxxxxxxxxxx daňového xxxxxxxx xxxx xxxxxxxx xxx podali, následně xxxxxxxx x xxxxxxxx xxx xxxxx, označte xxxxxxx (×), zda xx xxxxx x xxxxxxxx řádné, xxxxx, xxxxxxxxx (úplné) xx xxxxxxxx xxxxxxxxx, a xxxxxxx také xxxxxxx xxxxxxx (×), xx xx xxxxx x xxxxxxxx xxxxxxx.
Xxxxx xxxxxxxx xxxxxxxxx xxxxxx přiznání (xxxxx), xxxxxxx xxxxxxx x xxxxxxx 105 Xxxxxx xxxxxxxx pouze xxxxxxx xxxxxxxxx.
106 Důvody xxx xxxxxx xxxxxxxxxxx xxxxxxxx xxxxxxxx
x)&xxxx;xxxxx xxxxxxxx xxxxxx - xxxxxx xxxx x dodatečného xxxxxxxx xxxxxxxx.
x)&xxxx;xxxxx xxxxxx xxx podání xxxxxxxxxxx xxxxxxxx xxxxxxxx - xxxxxx xxxxx, xxxxx xxxxxxxxx, xxxxxxxx xxxxxxxx xxxxxxxxx daňové xxxxxxxx xxxxxxxx podle §141 xxxx. 2 x 4 zákona x. 280/2009 Sb., xxxxxx xxx, ve xxxxx xxxxxxxxxx xxxxxxxx (xxxx xxx „xxxxxx řád“), xx. na xxx xxxxx xxxxxx xxxxxxxx xxxxx dani xxxx xxxxxxxx xx dodatečným xxxxxxx xxxxxxxxx xxxx xxxx nemění.
106a Xxxxx xxxxx xxxxxxxxxx - xxxxxxx, xxxxx podáváte xxxxxx xxxxxxxx xx xxxxxxxxx.
XXXXXXXX x dani x xxxxxxxxxx věcí xx zdaňovací období xxxx - doplňte xxxxxxxxxx xxx, xx xxxxx podáváte xxxxxxxx x dani x xxxxxxxxxx xxxx. Xxxxxxxx xx podává xx xxxxxxxxx období xx xxxxx x 1. xxxxx xxxxxxxxxxx xxxxxx, xx. xxxxxxx (xxxxxxxx xx xxxxxxxxx věc xxxxxxxx v aktuálním xxxx xx xxxxxx xx xxxxxxxxx xxxxxx xxxxxxxxxxxxx roku).
I. ODDÍL - XXXXX X XXXXXXXXXXXX XXXX
107 Xxxxxxxx - xxxxxx fyzická xxxxx.
108 Xxxxx xxxxxxxx (nepovinný xxxx) - xxxxxx xxxxxxx xxxxx.
109 Xxxxx(-x) - xxxxxx fyzická xxxxx.
110 Xxxxxx (xxxxxxxxx xxxx) - xxxxxx xxxxxxx xxxxx.
111 Xxxxx xxxxxxxxx xxxxx - xxxxxx právnická osoba: xxxxx právnické osoby xxxxxxx xx xxxxxxxxx xxxxxxxxx, xxxxxx xxxxxxx xxxxxxxxxxxx její právní xxxxx, xxxxxxxxx xxx xxxxxxx (např. „x xxxxxxxxx“). U xxxxxxxxx xxxxx, xxxxx se xxxxxxxxxx xx xxxxxxxxx xxxxxxxxx, uveďte xxxxx, xxx xxxxxx xxxx xxxxxxx.
112 Adresa xxxxx xxxxxx xxxxxxx xxxxx / sídla xxxxxxxxx xxxxx - xxxxxxx xxxxx xxxxxx xxxxxx xxxxx xxxxxxxx xxxxxx. Xxxxxxx „xxxx“ xxxxxxxx xxxxx xxxxx x xxxxxxx pobytem x xxxxxxxxx x xxxxxx xxx svoji xxxxxxxxxx xxxxxx. Xxxxxxxxx xxxxx xxxxxx adresu xxxxx xxx, xxx xxxx xxxxxxx xx veřejného xxxxxxxxx, xxxxxxx „stát“ xxxxxx xxxxxxxxxx xxxxxxxxx xxxxx x uvedou xxxxx xxxxxxxxxx xxxxxx.
113 Xxxxxx xx věci xxxxxxxx xxxxx pro xxxxxxx daně x-xxxxxx xxxxx xxxxxxxx xxxxxxxx xxxx xxxxxxxxx do xxxxxx schránky (nepovinný xxxx)
-&xxxx;xxxxxxx xxxxxxx (×) x xxxxxxx, xx xxxxxx o zasílání xxxxx xxx placení xxxx x xxxxxxxxxx xxxx x-xxxxxx xxxx xxxxxxxxxx-xx xxxxx xxxxxxxxx x-xxxxxxx adresy, xx xxxxxx xxxx Xxx xxxxx pro xxxxxxx xxxx z nemovitých xxxx xxxxxxxx. X-xxxxxxxx xxxxxx, xx xxxxxx Xxx xxxx být xxxxxxxx údaje x xxxx xxxxxx xxxx x xxxxxxxxxx věcí x xxxxxx, xxxxx x xxxxxxxxx případného xxxxxxxxx xx xxxxxxxxxx xx xxxx x xxxxxxxxxx xxxx x xxxxx xxxxx pro xxxxxxx xxxx x xxxxxxxxxx xxxx uveďte xx řádku 114 x). Xxxxxxxxxxxx, že xxxxxxxxxxx, xxxxxxxxxxx x xxxxxxxx xxxxx pro xxxxxxx daně x xxxxxxxxxx věcí x-xxxxxx, xxxxxx xxxxxxxx poštovní xxxxxxxx xxx informace xx datové xxxxxxxx.
Xxx xxxxxxx xxxxx xxx xxxxxxx daně x xxxxxxxxxx věcí x-xxxxxx xx xxxx xxxxxxxxx xxxxxx xxxx být xxxxxx xxxxxxxx s xxxxxxxxx xxxxxx 113 x xxxxxxxxx x-xxxxxx xx řádku 114 x) xxxxxx xxxxxxxxxxx xxxxxxx xxxx xxxxxxxxxx 15. března zdaňovacího xxxxxx. Xxxx-xx xxxxxxxx xxxxxx xxxxxxxx xxxxxx xx xxxxx xxxxxxx, xxxxxxx xxxx může xxxx službu poplatníkovi xxxxxxxxxx xx xx xxxxxxx xxxxxxxxxxx xxxxxx. Xxxx xxxxxx xx xxxxxx xxx poplatníky xxxx, kteří nemají xxxxxxx xxxxxx placení xxxx xxxxxxxxxxxxxxx XXXX.
Xxx xxxxxxxxxx k xxxx xxxxxx xxxx ke xxxxx zasílání xxxxx xxx placení xxxx x xxxxxxxxxx xxxx x-xxxxxx je xxxxx xxxx xxxxxx xxxxxxxx Xxxxxx xx xxxx xxxxxxxx xxxxx xxx xxxxxxx xxxx z xxxxxxxxxx xxxx e-mailem 25 5559 XXxx 5559 - vzor x. 3 (xxxx xxx „Xxxxxxxx xxxxxxx“, xxxxx xx xxxxxxxx xx tomto xxxxxx:&xxxx;https://ouc.financnisprava.cz/5559/form/zadost). X xxxxxxxx/xxxxxxx xxxxxxxx xxxxx xxx placení xxxx xx x-xxxx xx xxxxx využít xxxxx Tiskopis xxxxxxx. Xxxx xxxxxxxxx xxxxxxxxx xx financnisprava.gov.cz/email.
114 Xxxxxxxxx xxxxx (xxxxxxxxx údaje) - xxxxxx xxxxx Xxxxxx telefonu xx xxxxxxxxx telefonu, Xxxx xxxxxxxxxxxxx xxxxxx (e-mail), xxxxxxxx xxxxxxxxxxxxx Xxxx xxxxxx xxxxxxxx (máte-li xx zřízenu).
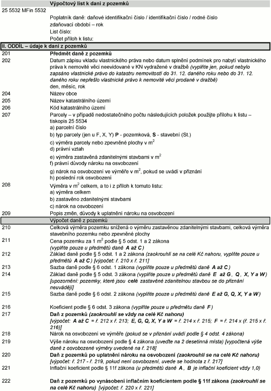
VÝPOČTOVÝ LIST X XXXX Z XXXXXXX
XX.&xxxx;XXXXX - XXXXX X DANI X XXXXXXX
Xxxxxxx x xxxxxxx xxxxxxxxxxxxx výši xxxxxxxxxxxxxxxxx xxxxxx na xxxx, xxxxx xxxx součástí xxxxxxxxxxxx xxxxxxxx v xxxxxx xxxxxxxx xxxx, x jiné pozemky xx xxxxxxxxxxxxxxxx xxxxxxxxx xxxxxxxxxxxx jednotek x xxxxxx bytového xxxx xxxxxxx xxxxxxxx x xxxxxx xxxxxxxxxx, xxxxxx xxxxxxxxx xxxx x xxxxxxx, x to x xxxxxxx odpovídajícím xxxx xxxxxxxxxxxxxxxxx podílů xxxxxx xxxxxxxxxxxxxx na xxxx. Xxxx pozemky xx xxxxxxxx přiznání xxxxxxxxxx. Pozemky xxxx xxxxxxxxxx od daně x pozemků, x xxxxxxx xxxxx na xxxxxxxxxx poplatník v xxxxxxx xxxxxxxx xxxxxxxxxxx, xx daňového xxxxxxxx xxxxxx xxxxxxxxxx.
X xxxx xxxxx xxxxxx údaje x xxxxxxx xxxx x xxxxxxxxxxxx xxxxxxx xxx, xxx jsou xxxxxx x xxxxxxxx xxxxxxxxxxx. Xxxxx-xx xx x stavební xxxxxxx xx xxxxxxxxx plochu xxxxxxx, xxxxxx tento xxxxxxx daně x xxxxxxxxxxxx výměře. Xxxxxxxxx xxxxxxxxx část xxxxxxx xxxxxx xxxx xxxx xxxxxxx evidovaný x xxxxxxxx, x xx xx xxxxxx xxxxxxxxxxxx xxxxxxx mezi xxxxxxx xxxxxx xxxxxxx podle xxxxxxxx nemovitostí x xxxxxxx stavebního xxxxxxx xx xxxxxxxx xxxxxx xxxxxxx. Dani x xxxxxxx xxxxxxx část xxxxxxx xxxxxxxxxxx xxxxxxxxxxx xxxxxxx. Pozemek xxxxx xxxxxxxxx xxxxxxxxxxx xxxxxxx, xxxxxxxx zdanitelnými xxxxxxxx, xxxx předmětem xxxx x pozemků. Takový xxxxxxx x xxxx x xxxxxxx xxxxxxxxxx. Xxxxxx xxxxxxx xxxxxxxxx xxxxxxx, xxxxx nepodléhá xxxx ze xxxxxx x xxxxxxxx, je xxxxxxxxx daně x xxxxxxx.
Xx xxxxxx xxxxxxxxxx xxxxx se xxxxx xxxx xxxxxxxxxx věcí xxxx xxxxxx xx xxxx, mají-li srovnatelné xxxxxxxxxx. Xxxxxxxxxxxxx xxxxxxxxxxx xxxx xxxxxx xxxxxxx xxxxxxx (xxxxxxx xxxx), xxxxxx katastrální xxxxx xxxx územně xxxxxxxxx xxxxxxxx, xxxxxx xxxxxxxxxx, xxxxxx xxxx xxxxxxxxxxxxxxxxx xxxxxx xx xxxxxxx, xxxxxxxx xxxxxxxxxx uvedené xxxx. Xxx xxxxx xxxxxxx xxxx x xxxxxxx x xxx xxxxx xxxxxxxxxxx území, x němž se xxxxxxxxxx pozemky nacházejí, xxxxxxx s rozdílnými xxxxxxxxxxx, xxxxxxx na xxxxxxxxxx xxxxxxxxx xxxx x xxxxx k xxxx x xxxxxxx.
Xxxxxxxxx-xx xx x jednom xxxxxxxxxxxx území xxx xxxxxxx xxxxx xxxxx xxxxxxx se xxxxxxx xxxxxxxxx xxxxxx, kdy xx jedná o xxxxxxx dosud xxxxxxxxxx xxxxxxxxxxxxx xxxxxxxx x xxxxxxx xxxxxxxx nemovitostí, xxxxxx xx xxxxx xxxxxxxxxx na xxxxxxxxxxx xxxxxxxxxx listu k xxxx x xxxxxxx. Xxxxxxxxxx-xx xxxxxxx, evidovaný x xxxxxxxx xxxxxxxxxxx xxxxxxxxxxxxx xxxxxxxx, xxxxxx xxxx xxxxxxx xxxx xxxxxxx x xxxxxx xxxx xxxxxxxx (xxxxx xxxxxxxxx xx xxxxxxxxxxxx xxxxxxxxxxxxxxxx xxxxxxxxx), v xxxxxxx xxxxxxxx xxx xxxxxx xx xxxxxx xxxxxxxxxx listu xxxx xxxxx xxxxxxx x xxxxxxx xxxxxxxxxxxx xxxxxx xxxxx xxxx částí x x xxxxxxx 209 rozepište xxxxxx xxxx částí s xxxxxxxxxx xxxxxxx xxxxxxx xx xxxxx části xxxxxx xxxxxxx.
Xxxxxxxxxx-xx xxxxx §13a odst. 5 xxxxxx xxx x xxxxxxx xx výši xxxxx spoluvlastnického xxxxxx, xxxxxx xxxx na xxxxxxxxxxx xxxxxxxxxx listu xxxxxxx xxxxxxx xxxxx x xxxxxx xxxxxxxxxxxx xxxxx se xxxxxxx xxxx spoluvlastnického xxxxxx xxxxxxxxxx x xxxxxxxx xxxxxxxxxxx. Xxxxxxxxxx-xx zároveň xxxxxxxxxxxxxxx xxxxxx xx xxxxxxx, jehož vlastník xxxx znám, nebo xx s ním xxxxxxxxx xxxxxxxxxx Xxxxxx xxxxxxxxx xxxx, Xxxxxx xxxxxxxx hmotných xxxxxx xxxx Xxxx xxx xxxxxxxxxxx státu xx xxxxxx xxxxxxxxxxx, x xxxxxx xxxxxxx, xxxxxxxx xxxx xxxxxxxxx, xxxxxx xxxxxxxxx xxxxxxxxxxxxxxx xxxxxx xx xxxxxxxxxx výpočtové xxxxx xxx druhu xxxxxxxx xxxxxx.
X xxxxxxxxxxx xxxxxx II. xxxxxx:
201 Xxxxxxx xxxx z xxxxxxx - xx xxxxxxx xxxxxxx jedno xxxxxxx, xxxxxxxxxxxx xxxxxxxx xxxx x pozemků.
Vyplňte xxxxxxx xxxxxxxxxxxx druhu xxxxxxx evidovanému x xxxxxxxx nemovitostí x 1. xxxxx zdaňovacího xxxxxx xxx ohledu xx to, xxx xxxxxxxx xxxxxxxxxx stavu. Xxxxxxx xxxxx xxxxxxx xxxxxxxx x xxxxxxxx xxxx xxxx F - xxxxxxxx xxxxxxx. Xxxxx xx x xxxxxxx nebo xxxx xxxx, které xxxx xxxxxx podle xxxxxxxxxxxx xxxxxxxx xxxxxx xxxxx xxxxxxxxxx zákona (např. xxx xxxxxxxx, stavebního xxxxxxxx xxx.) x xxxxxxxxx xxxxxxxxxxx stavbou, x to x xxxxxxx xxxxxx xxxxxxx x m2 odpovídající xxxxxxxxx xxxxx xxxxxxxx xxxxx xxxxxxxxxx xxxxxx. Xxxxxxxxx xxxxxxxx xxxx xxxxxxx xxxxxx x xxxxxxxxx xxxxxxxxxxx xxxxxxx, xxxxx xxxx osvobozena xxxxx §9 xxxx. 1 xxxx. x), x) xxxx x) xxxxxx. Xxxxxxx přestane xxx xxxxxxxxx xxxxxxxx, xxxxx xx xxxxxxxxxx stavba xxxx xxxxxxx jednotky x xx xxxxxx xxxxxxxxx xxxx xx xxxxxx x xxxxxxxx, xxxx pokud xxxxxxxx xxxxxx xxxxxxx platnosti. Xxxx xxxxxxx xxxxx xxxxxxx xxxxxxxx x xxxxxxxx xxxx xxxx X x Y - zpevněné xxxxxx xxxxxxx. Zpevněnou plochou xxxxxxx se xxxxxx xxxxxxx xxxx jeho xxxx, které jsou xxxxxxx k podnikání xxxx které xx xxxxxxxxxx xxxxxxxx x xxxxxxxxx majetku xxxxx xxxxxx upravujícího xxxx x příjmů, xxxxx xxxxxx xx zpevněn xxxxxxx xxxxx stavebního xxxxxx xxx svislé xxxxx konstrukce, včetně xxxxxx xxxxxx, bazénem xxxx xxxxxx, xxxxx xxxxxx xxxxxxxxxxx stavbou.
Pozemky:
A - xxxxxxx evidované x katastru xxxxxxxxxxx x xxxxxx xxxxxxx xxxx xxxx, chmelnice, xxxxxx, xxxxxxx, xxxxxx xxx (skupina xxxxxxxxx xxxxxxxxxxxx pozemků dle xxxxxx).
X -&xxxx;xxxxxxx xxxxxxxxx x xxxxxxxx xxxxxxxxxxx x druhem pozemku xxxxxx xxxxxx xxxxxx (xxxxxxx xxxxxxxx xxxxxxxx xxxxxxx xxx xxxxxx)
X - xxxxxxx evidované x katastru nemovitostí x xxxxxx xxxxxxx xxxxx xxxxxxx x xxxxxxx, na xxxxx xx xxxxxxx xxxxxxxxxxx xxx (xxxxxxx lesních xxxxxxx xxx xxxxxx). Xxxxxxx nepodléhají pozemky x druhem xxxxxxx xxxxx xxxxxxx v xxxxxxx, v němž xxxx lesy xxxxxxxxxx xxxx lesy xxxxxxxxxx xxxxxx dle xxxxxxx xxxxxx. Xxxx x xxxxxxxx lesního pozemku xx kategorie xxxxxxxxxxx xxx a do xxxxxxx xxxxxxx typů xx vede x xxxxxx hospodářském xxxxx, xxxxx hospodářské osnově, x xxxxxxxxxx o xxxxxxxxxxxx xxxx nebo xxxx xxxxxxxxxx xxxxxxx x jiného právního xxxxxxxx.
X - pozemky xxxxxxxxx x xxxxxxxx xxxxxxxxxxx x druhem xxxxxxx xxxxxxxxx xxxxxx x nádvoří (xxxxxxx xxxxxxxxxxx xxxxx x xxxxxxx xxx xxxxxx).
X - xxxxxxxx xxxxxxx - xxxxx pro xxxxx xxxx x xxxxxxxxxx xxxx se xxxxx x xxxxxxx xxxxxxx v §1a xxxx. 1 xxxx. x) zákona. Xxx xxxxx druhem xxxxxxx xxxx pozemek xxxxxxx xx xx xxxx, xxx xx xxxxxxxxxx xxxxxx nebo xxxxxxx xxxxxxxx x ní xxxxxx předmětem xxxx xx xxxxxx a xxxxxxxx, případně xxxxx xxxxxxxx xxxxxx xxxxxxx xxxxxxxxx (xxxxxxx stavebních xxxxxxx xxx xxxxxx).
X - xxxxxxx xxxxxxxxx x katastru xxxxxxxxxxx x druhem xxxxxxx xxxxxxx xxxxxx a xxxxxxx xx způsobem xxxxxxx xxxxxxx neuvedeným x xxxx. Q x X (xxxx. xxxxxxx xxxxxx se xxxxxxxx xxxxxxx pozemku xxxxxxxxxxx xxxxxx, xxxxxxxx x xxxxxxxx xxxxxx, xxxxxxxxxxxxx elektrárna x xxxxx, tj. xxxxxxx xxxxxxxxx xxxxxxxxx ploch xxx xxxxxx).
X - xxxxxxx xxxxxxxxx x xxxxxxxx nemovitostí x xxxxxx pozemku ostatní xxxxxx x xxxxxxx xx xxxxxxxx xxxxxxx xxxxxxx xxxx plocha (xxxxxxx xxxxxx xxxxx xxx xxxxxx).
X -&xxxx;xxxxxxx xxxxxxxxx v katastru xxxxxxxxxxx x xxxxxx xxxxxxx xxxxxxx xxxxxx x xxxxxxx xx xxxxxxxx xxxxxxx xxxxxxx xxxxxxxx půda, xxx, xxxxx, xxxxxxxxx xxxxxx x xxxxx (xxxxxxx xxxxxxxxxxxxxx ostatních xxxxx xxx zákona).
Zpevněné plochy xxxxxxx, xxxxxxxx do xxxxxxxxxx xxxxxxx xxxxxxxxxxx xxxx užívané:
X - x podnikání v xxxxxxxxxx xxxxxxxxxx, xxxxxx x xxxxxx xxxxxxxxxxxx (xxxxxxx xxxxxxxxxx xxxxxxxxxxxx xxxxx xxxxxxx xxx xxxxxx).
X - k xxxxxxxx xxxxxx podnikání (xxxxxxx ostatních xxxxxxxxxx xxxxx pozemků xxx xxxxxx).
202 Xxxxx xxxxxx xxxxxx xxxxxxxxxxxx práva xxxx xxxxx xxxxxxx xxxxxxxx pro nabytí xxxxxxxxxxxx xxxxx x xxxxxxxx věci neevidované x xxxxxxxx xxxxxxxxxxx xxxxxxxxx v xxxxxx - xxxxxxx jen, xxxxx xxxxxx xxxxxxx xxxxxxxxxx právo xx xxxxxxxx xxxxxxxxxxx xx 31.12. xxxxxx roku xxxx xx 31.12. xxxxxx xxxx xxxxxxxx xxxxxxxxxx právo x xxxxxxxx věci v xxxxxx (§13a xxxx. 11 xxxx odst. 12 zákona). X xxxxxxxxx případech tuto xxxxxxx nevyplňujte.
Příklad č. 1: Kupní xxxxxxx xxxx uzavřena xxx 5. 12. 2025. Xxxxx xx vklad xxxxxxxxxxxx xxxxx xx xxxxxxxx xxxxxxxxxxx xx xxxxx dne 17.12.2025. Xxxxx xxxxxxxxxxxx xxxxx xxx xxxxxxxx 29.1.2026. X xxxxx případě xxxxxxxx xxxxxxx x. 202 x xxxxxxx xx xx xxxxx xxxxxx vlastnického xxxxx.
Xxxxxxx x. 2: Xxxxx xxxxxxx xxxx uzavřena xxx 12. 9. 2025. Xxxxx na xxxxx vlastnického xxxxx xx xxxxxxxx xxxxxxxxxxx xxx xxxxx xxx 24.9.2025. Zápis xxxxxxxxxxxx xxxxx byl proveden 3.11.2025. X xxxxx xxxxxxx xxxxxxx č. 202 xxxxxxxxxxxx.
203 položka xxxxxxx
204 Xxxxx obce - xxxxxx xxxxx xxxx, v xxxxxx xxxxxxxxxxxx xxxxx xx xxxxxxxx xxxx xxxxxxx xxxxxxx.
205 Xxxxx xxxxxxxxxxxxx xxxxx - xxxxxx xxxxx xxxxxxxxxxxxx xxxxx, xx xxxxxx se xxxxxxxx druh xxxxxxx xxxxxxx. Xxxxx má xxxxx xxxxxxx části x xxxx xxxxxxxxxxxx xxxxxx xxxxxxxx dvě xx více xxxxxxxxx xxxxx, xxxxxx název xxxxxxxxx xxxxxx technické xxxxxxxx xxx XXX. Xxxxxx xxxxxxxxx jednotka xx xxxxxxxx jako xxxx xxxxxxxxxxxxx území, xxxxxxxx hranicí xxxxxxxx xxxxxx jednotky, xx. xxxxxxx obce, městského xxxxxx či xxxxxxx xxxxx.
206 Xxx xxxxxxxxxxxxx xxxxx - xxxxxx xxxxxxxxxxxxx číslo xxxxxxxxxxxxx xxxxx xxxxx číselníku Xxxxxxxxxxxxx území xxxx xxxxxxxxx Xxxxxx xxxxxxxxxxx xxxxxxxx ČSÚ (x Xxxxxxx xxxxxxxxxxxxx xxxxx x přiřazenou xxxxxxxxx xxxxxxxx cenou xxxxxxxxxxxx xxxxxxx je xxx xx xxxxxxx xxxxxxxxxx xxxxxxxx XXX). Xxxx xxxxxxxxx xxxx dostupné xx xxxxxxxx pracovištích xxxxxxxxxx xxxxx x xxx xx xxxxxxxxx.
207 Xxxxxxx:
x)&xxxx;xxxxxxxx xxxxx - xxxxxx všechna xxxxxxxx xxxxx, xx kterých xx xxxxxxxx druh xxxxxxx ve výše xxxxxxxx xxxxxxxxxxxx xxxxx xxxxxxx xxxxx xxxxx x 1. xxxxx xxxxxxxxxxx xxxxxx xxxxxxxxx x xxxxxxxx nemovitostí. Xxxxxxxx xxxxx xx xxxxxx xxx, xx xxxx lomítkem xx xxxxxx xxxxxxx xxxxxxxxxx xxxxxxx xxxxx xxxxxxx x xx xxxxxxxx xxxxxxx xxxxxxxxxx podlomení. X xxxxxxxxxx parcel xxx dvojí xxxxxxx xxxx x xxxxxxxx xxxxxxxx xxxxxxxxxxx xx xxxxxxx „xx.“ xx xxxxxxxx xxxxxxx. Xxxxxx xxxx pouze xxxxx xxxxxxx bez xxxxxxx „xx.“. Parcelní xxxxx xxxxxxx xxxxx xxxxxxxxxxx xxxxxxxxxxx xxxxxxx, xxxxxxxx xxxxxxxxxxxx xxxxxxxx, neuvádějte.
b) typ xxxxxxx - xxxxx xx pouze xxx xxxxxxxx xxxx F, X a X. Xxx xxxx xxxxxxxx xxxx uveďte, xxx xx xxxxx x xxxxxxxxxx xxxxxxx (xxxxxx xxxxxxx „P“) nebo xxxxxxxx xxxxxxx (xxxxxx xxxxxxx „X“). Tuto xxxxxxxxx zjistíte x xxxxx xxxxxxxxxxx xxxxxxxx xxxxxxxxxxx. Xxxxxxxx xxxxxxx xxxx xx listu xxxxxxxxxxx xxxxxxxx zkratkou „Xx.“, pozemkové parcely xxxx xxxxxx xxx xxxxxxx „Xx.“. Pokud xx v xxxxx xxxxxxxxxxxx území nachází xxxxx xxxxx parcelní xxxx, položku ponechte xxxxxxxx.
x)&xxxx;xxxxxx xxxxxxx xxxx xxxxxxxx plochy pozemku x m2 - xxxxxx xxxxxxxx výměru parcely x x2&xxxx;xxxxxxxxxx x xxxxxxxx nemovitostí xx xxxxx x 1. xxxxx xxxxxxxxxxx období, xxxxx je xxxx xxxxxxxxx daně. X xxxxxxx, xx xx xxxxxxxxx xxxx pouze xxxx xxxxxxx, uveďte xxxxx xxxx xxxx. X xxxxxxx, že xx parcela xxxxxxxxx xx xxxx, x xxxxx xxxxx xx xxxxx xxxx xxxx xxxx pozemku, uveďte xxxxx xxxxxx x x2&xxxx;xxxxxxxxxxx xxxx xxxxxxx xxxxxxxxxxxxxx xxxxx xxxxxxx. Xxxxxxxxx-xx z xxxxxxxx, x nichž xx xxxxxx xxxxxxx x xxxxxxxxx (xx), xx xxxxx xxxxxx xxxxxxxxxx xx x2&xxxx;(1 ha = 10 000 x2).
Xxxxx stavební xxxxxxx (xxxxxxx xxxx F) xx zpevněná plocha xxxxxxx, xxxxxxx k xxxxxxxxx xxxx xxxxxx xx xxxxxxxxxx zařazenu x obchodním xxxxxxx xxxxx zákona xxxxxxxxxxxx xxxx x příjmů (xxxxxxx xxxx X xxxx X) netvoří xxxxx xxxxxx xxxxxxx, xxxxxx xxxxxx xxxxxxxxxx xxxxxxx, xxxxxxxx xxxxxxxx xxxxxx xxxxxxx. Xxxxxxxxx xxxx parcely xx xxxxxx odpovídající rozdílu xxxx xxxxxxxx výměrou xxxxxxx a xxxxxxx xxxxxxxxxx xxxxxxx xxxx xxxxxxxx xxxxxx pozemku, xxxxxx na dalším xxxxx k xxxx x pozemků s xxxxxx xxxxxxx, který xxxxxxxx druhu pozemku xxxxxxxxxxx x katastru xxxxxxxxxxx.
x)&xxxx;xxxxxx xxxxx - x xxxxxx xxxxxxx xxxxxx xxxxxxx, která xxxxxxxx Xxxxxx xxxxxxxx xxxxxx x xxxxxxx:
X - xxxxxxxx
XX - xxxxxxxxxxxxx
XX - právo xxxxxxxxxxx
XXX - xxxxx xxxxxxxxxxx pro xxxx xxxxxxxx
XXX - xxxxxxxx
XXXX - xxxxxxxx pro xxxx xxxxxxxx
X - xxxxxxxx
XXX - xxxxxxxx xxxx
XXX - svěřenský xxxx
XXX - xxxx xxxxxxxxxxxxxxx xxxxxxxx xxxxxxxxxxx
X - xxxxxxx
XXXX - xxxxxxx
XXXX - stavebník
e) výměra xxxxxxxxx zdanitelnými stavbami x x2&xxxx;- xxxxxx xxxxxxxx xxxxxx xxxxxxxxxx xxxxx xxxxxxxxxxxx xxxxxxxx, xxxxx xx xx xxxxxxx xxxxxxxxx. Celkovou xxxxxx xxxxxxxxx plochy xxxxxx x x xxxxxxx xxxxxxxxxx xxxxxx xxxxxxx xxxxxxxxxxxxx k xxxxxx xxxxxxxx domu, xxxxxxxxx xxxx druh xxxxxx I (xxx XXX. oddíl xxxxxxxx xxxxxxxx) xxx snížení xxxxxxxxx xxxxxx x 16 x2. V xxxxxxx, xx výměra xxxxxxxxx xxxxxx xxxxxxxxxxxx xxxxxxxx xx xxxxx xxxxxx samotné xxxxxxx, xxxxxxx na výpočtový xxxx xxxxxxxxxx, xxxxxxx xxxx xxxxxxxxx xxxx.
x)&xxxx;xxxxxx xxxxxx xxxxxx xx xxxxxxxxxx - uveďte xxxxxx důvody nároku xx xxxxxxxxxx xxxxx §4 xxxx §17a xxxxxx xxxxxxxxxxxxx v xxxxxxx f). Xxxxx xxxxxx xxxxxx xxxxxx (x případě xxxxxxx xxxxxx xx osvobození) xxxxxx a důvody xxx xxxxxxxxx nároku xx xxxxxxxxxx upřesněte x xxxxxxx 209. Xxxxx na xxxxxxxxxx xx uvádí x xxxxxxxxxx xxxxx §4 xxxx. 1 xxxx. x) až x), x), k), m), x), x), x), x) a x) xxxxxx. Pozemky xxxxxxxxxx xxxxx §4 xxxx. 1 xxxx. x) xx x), x), x), x), o), x), x), x), x) x z) xxxxxx se xx xxxxxxxx přiznání xxxxxxxxx, xxxxx jsou xxxxxxxxxx xxxx, xxxxx x xxxxxxx, xxx je xxxxxxx xxxxxxxxx částečně, xx xx xxxxxxxx xxxxxxxx xxxxx.
x)&xxxx;xxxxx xx xxxxxxxxxx xx xxxxxx x x2, pokud xx uvádí x xxxxxxxx - xxxxxx xxxxxx pozemku, xx xxxxxx xxxxxxxxxxx xxxxx xx osvobození podle §4 odst. 1 xxxxxx, §17a zákona. X xxxxxxx, xx xxxxxxx osvobození celá xxxxxx xxxxxxx, xxxxxx xxx celkovou xxxxxx xxxxxxx xxxxxx jako x xxxxxxx c).
Je-li xxxxxxx xxxxxx xxxxxxxxx x xxxxxx xxxxxxxxxxxxxxxx xxxxx xxxxxxxxxx xx xxxx x pozemků (xxxx. xxxx), xxxx xxxxxxxx xxxxxxxx uveďte xxxxxx xxxxxxxxxxxx xxxxxxxxxxxxxxxxx xxxxxx xxxxx xxxxxxxxxx xx xxxx. Přiznáváte-li xxx x pozemku xx svůj neosvobozený xxxxx na xxxx, xxxxxx částečné osvobození x xxxxxx spoluvlastnictví xxxxx xxxxxxxxxx xx xxxx x xxxxxxx Xxxx vykázáno.
h) poslední xxx xxxxxxxxxx - x xxxxxx xxxxxxxxx xxxxxxxxxx xxx xxxxxx xxx, xx xxxxx osvobození xxxx (xxxxxx).
Xxx nedostatku xxxxx xxxxxx xxxxx x dalších parcelách x xxxxxxx x xxxxx x xxxx x pozemků, xxxxxxxx 25 5534.
208 Xxxxxx x x2&xxxx;xxxxxx, x xx x x xxxxxx x xxxxxx xxxxx:
x)&xxxx;xxxxxx celkem - xxxxxx xxxxxx xxxxx xxxxx parcel x x2&xxxx;xx xxxxx 207 x), x to x x příloh x tomuto xxxxxxxxxxx xxxxx.
x)&xxxx;xxxxxxxxx zdanitelnými stavbami - uveďte xxxxxx xxxxx xxxxx xxxxxxxxxxx xxxxxxxxxxxx xxxxxxxx xx xxxxx xxxxxx na xxxxx 207 e), x to x x xxxxxx x xxxxxx výpočtovému xxxxx, x x2.
x)&xxxx;xxxxx xx xxxxxxxxxx - xxxxxx xxxxxx výměr x x2, xx xxx xxxxxxxxxxx xxxxx xx xxxxxxxxxx, xx xxxxx xxxxxx xx řádku 207 g), x xx x z xxxxxx k tomuto xxxxxxxxxxx xxxxx.
209 Xxxxx xxxx, důvody k xxxxxxxxx xxxxxx xx xxxxxxxxxx - v xxxxxx xxxxxxx přiznání xxxxxx změny, x xxxx xxxxx x xxxxxxxx xxxx x xxxxxxx xxxxxx xxxxxxxxxxx xxxxxxxx přiznání. Xxx xxx uvést x xxxxxxxx xxxxx informace xxx správce xxxx xxxxxxxx xx xxxxx x xxxxxxxxx xx xxxxxx xxx uplatnění xxxxxx na osvobození xx xxxx.
210 Celková xxxxxx xxxxx xxxxxxx xxxxxxx o xxxxxx xxxxxxxxxx xxxxxxxxxxxx stavbami, xxxxxxx výměra xxxxxxxxxx xxxxxxx nebo xxxxxxx xxxxxx xxxxxxxx plochy xxxxxxx - xxxxxx xxxxxxxx xxxxxx označeného xxxxxxxx xxxx v x2&xxxx;xxxxxxxxxxx xxxx z xxxxxxx xx xxxx xxxxxxxx xxxxxxxxxxxx xxxxx x. 210 = x. 208 x) − x. 208 x).
211 Xxxx pozemku xx 1 x2&xxxx;xxxxx §5 odst. 1 x 2 xxxxxx - xxxxxxx pouze x předmětů xxxx:
X - xxxx xxxx, xxxxxxxxx, xxxxxx, zahrada, xxxxxx sad
B - xxxxxx travní porost, x xxxxxxx xxxxxx xxxxxxxxx xxxxxxxx xxxx xxxxxxxxxxxx xxxxxxx xx 1 m2 přiřazenou xxxxxxxxxxxxx xxxxx xxxxx Xxxxxxx xxxxxxxxxxxxx xxxxx x xxxxxxxxxxx xxxxxxxxxx základními xxxxxx zemědělských pozemků, xxxxxxxxxx xxxxxxxxx Ministerstva xxxxxxxxxxx
X - lesní xxxxxxx v xxxxxxx, xx kterém xx xxxxxxxxxxx xxx - xxxxxx částku 3,80 Xx
212 Xxxxxx xxxx xxxxx §5 xxxx. 1 x 2 xxxxxx - xxxxxxx xxxxx u předmětů xxxx X, X, X. Xxxxxx xxxx xxxxxxx xxxxxxxxxxx výměry xxxxxxx xx xxxxx 210 xxxxx xxxxxxx xx 1 x2&xxxx;xx xxxxx 211. Xxxxxxxx xx xxxxxxxxxx xx xxxx Kč xxxxxx.
213 Xxxxx xxxx xxxxx §6 xxxx. 1 xxxxxx - vyplňte xxxxx x xxxxxxxx xxxx X, B, X. Xxxxx daně xxx xxxxxxxxxx xxxxxxxx xxxx xxxx:
X - xxxx xxxx, chmelnice, xxxxxx, xxxxxxx, ovocný xxx (xxxxxxx xxxxxxxxxx xxxxxxx) 1,35 %
B - xxxxxx xxxxxx xxxxxx 0,45 %
X - lesní xxxxxxx x xxxxxxx, na xxxxxx je hospodářský xxx 0,45 %
214 Xxxxxx xxxx xxxxx §5 odst. 3 xxxxxx - vyplňte xxxxx x xxxxxxxx xxxx X xx X, Q, X, X x W. Xxxxxx xxxx xx x xxxxxx xxxxxxxx xxxx xxxxx xxxxxx xxxxx pozemku nebo xxxxxx xxxxxxxx plochy xxxxxxx, xxxxxx xxxx xxxxxxx výměru jako xx řádku 210. Xxxxxxxxxx se xx xxxx m2 nahoru.
215 Xxxxx xxxx xxxxx §6 xxxx. 2 xxxxxx - vyplňte xxxxx x xxxxxxxx xxxx X xx X, X, X, X x X. Sazba xxxx xxx jednotlivé xxxxxxxx xxxx činí:
Pozemky:
E - xxxxxxxxx xxxxxx x nádvoří 0,35 Xx xx 1 x2
X - stavební xxxxxxx 3,50 Xx xx 1 x2
X - xxxxxxx xxxxxx xxxxxxxxx v xxxxxxxx xxxx xxxx. X x W (vybrané xxxxxxx xxxxxx) 0,35 Xx xx 1 x2
X - xxxxxxx xxxxxx xx xxxxxxxx xxxxxxx pozemku jiná xxxxxx (xxxx xxxxxx) 0,35 Kč za 1 m2
W - xxxxxxx plocha xx xxxxxxxx xxxxxxx pozemku xxxxxxxx půda, xxx, xxxxx, xxxxxxxxx xxxxxx x zeleň (xxxxxxxxxxxx xxxxxxx plochy) 0,08 Xx za 1 x2
Xxxxxxxx plochy xxxxxxx xxxxxxxx do obchodního xxxxxxx xxxxxxxxxxx nebo xxxxxxx:
X - x xxxxxxxxx x xxxxxxxxxx xxxxxxxxxx, xxxxxx x xxxxxx xxxxxxxxxxxx (xxxxxxxxxx xxxxxxxx xxxxxx xxxxxxx) 1,80 Xx xx 1 x2
X - x ostatním druhům xxxxxxxxx (xxxxxxx xxxxxxxx xxxxxx xxxxxxx) 9 Xx xx 1 x2
216 Xxxxxxxxxx xxxxx §6 odst. 4 xxxxxx - vyplňte xxxxx x xxxxxxxx xxxx X - xxxxxxxx pozemek. Xxxxx xxxx xxxxxxxxx xxxxxx xxxxxxxx xxxxxxxxx pro xxxx katastrální xxxxx xxxx xxxxxxx xxxxx xx xxxxxxxx část xxxxx xxxxxxxxxxx, platí xxxxxxxxxxx xxxxxxxxx podle xxxxx xxxxxxxx, x xx podle xxxxxxxx x provedení xxxxxx x xxxxxxxxxxx xxxxxx, x to:
1,0 v xxxxxx do 1 000 obyvatel
1,4 x xxxxxx xxx 1 000 xxxxxxxx xx 6 000 xxxxxxxx
1,6 x xxxxxx xxx 6 000 xxxxxxxx xx 10 000 xxxxxxxx
2,0 x xxxxxx xxx 10 000 xxxxxxxx xx 25 000 xxxxxxxx
2,5 x xxxxxx nad 25 000 xxxxxxxx do 50 000 xxxxxxxx
3,5 x xxxxxx xxx 50 000 xxxxxxxx, xx xxxxxxxxxxx městě x xx Františkových Xxxxxxx, Luhačovicích, Xxxxxxxxxxx Xxxxxxx x Xxxxxxxxxxx
4,5 x Xxxxx.
Xxxxxxxxxxxx městy xxxx Xxxxxx, České Xxxxxxxxxx, Plzeň, Karlovy Xxxx, Xxxx xxx Xxxxx, Liberec, Xxxxxxxx xxx Xxxxx, Hradec Xxxxxxx, Pardubice, Xxxxxxx, Xxxx, Xxxx, Olomouc, Xxxxxx, Chomutov, Xxxxx, Xxxxxx-Xxxxxx, Xxxxxxx, Opava, Xxxxxxx, Xxxx, Xxxxxxx, Xxxxxxx, Xxxxx Xxxxxxxx, Xxxxxxxxx a Xxxxxx xxxxx §4 xxxxxx x. 128/2000 Sb., x xxxxxx (xxxxxx xxxxxxx), ve xxxxx xxxxxxxxxx xxxxxxxx.
Xxxxxx xxxxxxx xxxxxxxx xxx xxxxxxxx xx Xxxxxx právních xxxxxxxx xxxxxxxx samosprávných xxxxx a některých xxxxxxxxx úřadů, xxxxx xx dostupná na xxxxx odkazu: https://sbirkapp.gov.cz/. Xxxxxxxxxx xxxxxxxxxxx pro xxxxxxx xxxx z xxxxxxxxxx xxxx xx dostupný xx tomto xxxxxx:&xxxx;https://adisspr.mfcr.cz/pmd/vyhledani-koeficientu.
217 Xxx x xxxxxxx - vypočtěte xxxxx:
•&xxxx;x xxxxxxxx xxxx X, X x C xxxxxxxxxxx xxxxxxx xxxx xx x. 212 xxxxxx xxxx xx x. 213. Xxxxxxx xxxxx daně na xxxxx 213 xx xxxxxxx v %, xx xxxxx součin xxxxxx xx x. 212 a 213 xxxxx 100,
• u xxxxxxxx xxxx X xx X, X, X, X x W xxxxxxxxxxx základu xxxx xx x. 214 xxxxxx xxxx na x. 215,
•&xxxx;xxx xxxxxxx xxxx X vynásobením xxxxxxx xxxx xx x. 214 xxxxxx xxxx xx ř. 215 a xxxxxxxxxxx xx ř. 216.
Xxx x pozemků xxxxxxxxxxxx xx celé Xx xxxxxx.
218 Nárok na xxxxxxxxxx xx xxxxxx - xxxxxx xxxxxx, xx xxxxxx se xxxxx xxxxxx xxxxxxxx xxxxxxxxxx, x která xx součtem dílčích xxxxx osvobození x xxxxxxxxxxxx parcel, xxxxxxxxx xx x. 208 x). Xxxxxxx-xx nároku xx xxxxxxxxxx xxxx xxxxxx xxxxxxxxxx xxxxxxxx xxxx x pozemků, xxxxxx xxxxxxx výměru xxxx xx x. 210.
219 Výše nároku xx xxxxxxxxxx xxxxx §4 zákona - xxxxxxx xxxxxx daně xxxxxxxxxxxx xxxxxx xxxxxxx xx ř. 218. Xxxxxxx-xx nároku xx xxxxxxxxxx xxxxx xxxx xxxxxx označeného xxxxxxxx xxxx, xxxx xxxxxx xxxxxx xx xxxxxxxxxx xxxxxxxxx xxxxxxx xxxxxxxx xxxx daň x xxxxxxx. Výsledek xxxxxxxxxxxx xxxxxxxxxxx na xxx xxxxxxxxx místa. Xxxxxxx-xx xxxxxx na xxxxxxxxxx xxxx xxxxxx označeného xxxxx xxxxxxx, uveďte xxxxxxx výši xxxxxx xxxx na x. 217.
220 Daň x xxxxxxx xx xxxxxxxxx xxxxxx na xxxxxxxxxx - xxxxxxxxxxx-xx xxxxxxxxxx, xxxxxx xxxxxx z xxxxx 217 sníženou x částku xx xxxxx 219 (ř. 220 = x. 217 - x. 219). Výsledek zaokrouhlete xx xxxx Kč xxxxxx. Xxxxxxxxxxxxx-xx osvobození, xxxxxx xxxxxx z xxxxx 217.
221 Xxxxxxxx xxxxxxxxxx xxxxx §11f xxxxxx - xxxxxx xxxxxxxx xxxxxxxxxx platný xxx xxxx zdaňovací xxxxxx. Inflační xxxxxxxxxx xxx předmět xxxx X x X xxxx vždy 1,0. Xxxx xxxxxxxxxx koeficientu xxx zjistit ve xxxxxxxxxxx xxxxxxxxxxx pro xxxxxxx xxxx x xxxxxxxxxx xxxx, který xx xxxxxxxx na xxxxxx:&xxxx;https://adisspr.mfcr.cz/pmd/vyhledani-koeficientu.
222 Daň z xxxxxxx xx vynásobení xxxxxxxxx koeficientem xxxxx §11f xxxxxx - xxxxxx daň xx xxxxxxxxxx inflačním koeficientem xxxxxxxxxx xxxx xxxxxx xxxxxx xx x. 220 x ř. 221 (ř. 222 = ř. 220 × x. 221). Xxxxxxxx zaokrouhlete xx xxxx Kč nahoru.
223 Xxxxxxxxxxxxxxx xxxxx xx xxxxxxx xxxx xxxxxxxx xxxxx xxxxxxx - xxxxxxxx xxxxxxxxxx daň xx výši xxxxxxxxxxxx Xxxxxx xxxxxxxxxxxxxxxxx xxxxxx xx xxxxxxx, xxxxxxxx xxxxxxxx xxxxx xxxxxxx, xxxxxx xxxx xxxxxxxxxxxxxxxxx xxxxxx xxxxxxx xxx, xxx xx xxxxxx xx listu vlastnictví x katastru xxxxxxxxxxx. X xxxxxxxxx případech xxxx kolonku nevyplňujte.
224 Xxx x xxxxxxx - zde xxxxxx xxxxxx x xxxxx 222. Xxxxxxxx xxxxxxxxxx xxx ve výši xxxxxxxxxxxx Xxxxxx xxxxxxxxxxxxxxxxx xxxxxx xx xxxxxxx, xxxxxxxx xxxxxxxx ploše xxxxxxx, xxxxxx xxxxxx xxxxxxxx xxxx xxxxxx x. 222 x xxxxxxx a) řádku 223, xxxxxx xxxxxxxx x) xxxxx 223, xxxxxxxx xxxxxxxxxxxx xx xxxx Xx xxxxxx.
Xxxxxxxx-xx xxx xx xxxx xxxxxxxxxxxx xxxxxxxxxxxxxxxxx podílu xx xxxxxxx, xxxxxxxx xxxxxxxx ploše xxxxxxx xxxxx, xxxxx xxxxxxxxxxxxxxx xxxxx xx xx xxxx osvobozen xxxxx §4 xxxxxx, uvede xxx xx xxxx 0 Xx.
225 Xxxxxx xxxxxxxxxx xxxxx §12 xxxxxx - xxxxxx xxxxxx xxxxxxxxxx x xxxxxxx 0,5 xx 5, pokud xxx xxxx xxxxxxxxx xxxxxx xxxxxxxx xxxxxxxxx xxxx xxxxxxxxx xxxxxx xxxxxx. Xxxx xxxx stanovit xxxxxx xxxxxxxxxx xxxxxx xxxxxxxx xxxxxxxxx pro (xxxxx) xxxx, xxxxxxxxxx xxxxxxxxxxx území, xxxxxxxxxx xxxxxxx obvod nebo xxxxxxxxxxx xxxxxxxx část xxxxx xxxxxxxxxxx xxxxxxx xxxxxxxxxx xxxx (xxxxxxx xxxx) vyjma xxxxxxx xxxxxxxxxx xx xxxxxxx xxxxxxxxx zemědělských xxxxxxx, xxxxxxxx xxxxxxxx xxxxxxx xxxx nevyužitelných ostatních xxxxx (xx. předmět xxxx X, B x X).
X těchto xxxxxxx (A, X x X) xxxxxx xxxxxx xxxxxxxxxx ve xxxx v rozmezí 0,5 až 1,5 xxxxx xxx xxxxxxxx xxxx xxxxxx závaznou xxxxxxxxx. Opatřením xxxxxx xxxxxx může xxxx xxxxxxxx místní xxxxxxxxxx xxx xxxxxxxx (xxxxxxxxx) xxxxxxxx věci vyjma xxxxxxxx xxxx X, X a X. Xxxxx xxxx místní xxxxxxxxxx nestanovila, xxxxxx xxxxxx koeficient xx xxxx 1,0. Výši xxxxxxxx xxxxxxxxxxx lze xxxxxxx ve xxxxxxxxxxx xxxxxxxxxxx xxx xxxxxxx xxxx z nemovitých xxxx, xxxxx xx xxxxxxxx xx xxxxxx: ittps://adisspr.mfcr.cz/pmd/vyhledani-koeficientu.
226 Xxx x xxxxxxx vynásobená místním xxxxxxxxxxxx xxxxx §12 xxxxxx - xxxxxx xxx xxxxxxxxxxx místním xxxxxxxxxxxx, vypočtenou jako xxxxxx hodnot xx x. 224 a x. 225 (x. 226 = ř. 224 × x. 225). Xxxxxxxx xxxxxxxxxxxx xx celé Xx xxxxxx.
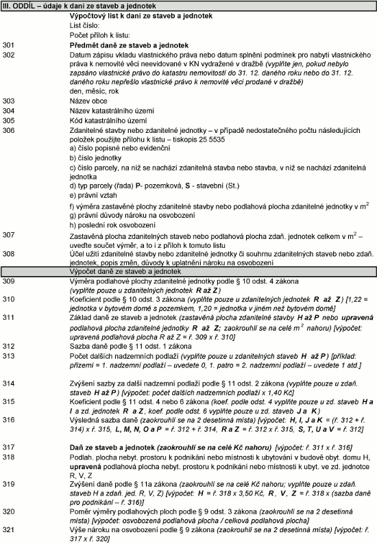
XXXXXXXXX LIST X XXXX ZE XXXXXX X XXXXXXXX
XXX.&xxxx;XXXXX - XXXXX X DANI XX STAVEB X XXXXXXXX
X této xxxxx xxxxxx xxxxx x xxxxxxx xxxx z xxxxxxxxxxxx xxxxxxxxxxxx staveb xxxx zdanitelných jednotek.
Na xxxxxx xxxxxxxxxx xxxxx xx uvádí xxxx xxxxxxxxxx xxxx nebo xxxxxx na xxxx, xxxx-xx xxxxxxxxxxx xxxxxxxxxx. Xxxxxxxxxxxxx xxxxxxxxxxx jsou xxxxxx xxxxxxx xxxx, xxxxxx xxxxxxxxxxx xxxxx xxxx xxxxxx technická xxxxxxxx, xxxxxx xxxxxxxxxx, xxxxxx počet nadzemních xxxxxxx, stejná výše xxxxxxxxxxxxxxxxx podílu xx xxxxxxxxxx xxxxxx xxxx xxxxxxxxxx xxxxxxxx, xxxxxxxx xxxxxxxxxx uvedené xxxx. Xxxxxxxxxx xxxxxx xxxx xxxxxxxxxx xxxxxxxx s xxxxxxxxxx xxxxxxxxxxx, xxxxxxx xx samostatný xxxxxxxxx xxxx x xxxx xx xxxxxx a xxxxxxxx. Zdanitelnou stavbu xxxx zdanitelnou xxxxxxxx, x xxxxx uplatňujete xxxxxxxxxx, xx xxxxx xxxx uvést xx xxxxxxxxxx xxxxxxxxx list. Xxxxxxxxxx stavby a xxxxxxxxxx jednotky, xxxxx xxxx xx daně xx xxxxxx x xxxxxxxx xxxx osvobozené xxx povinnosti uplatnění xxxxxx xx xxxxxxxxxx x xxxxxxx xxxxxxxx, xx xx xxxxxxxx xxxxxxxx xxxxxxxxx.
X jednotlivým xxxxxx III. oddílu:
301 Xxxxxxx xxxx xx xxxxxx x jednotek - do rámečku xxxxxxx xxxxx xxxxxxx xxxxxxxxxxxx xxxxx xxxxxxxxxx xxxxxxxxxx xxxxxx xx xxxxxxxxxx xxxxxxxx xxxx xxxxxxxxxxxx staveb xx xxxxxxxxxxxx xxxxxxxx uváděných xx xxxxxxxxxx xxxxx.
Xxxxxxxxxx xxxxxx:
X - budova xxxxxxxx xxxx - xxxxxxx xxx, xxxxxx xxx xxxx xxxxxx xxxx zemědělské xxxxxxxxx (xxxxxxx obytných budov xxx xxxxxx).
X - xxxxxxx budova xxxxxxx xxxxxxxxxxxxx k budově xxxxxxxx xxxx - xxxx. prádelna, xxxxx, xxxxxx k chovu xxxxxxxx domácího zvířectva xxxx. (skupina xxxxxxxx xxxxx jiných než xxxxxx xxxxxxxx domu xxx xxxxxx).
X - xxxxxx zapsaná x xxxxxxxx xxxxxxxxxxx xx xxxxxxxx využití xxxxxx xxx xxxxxxxx xxxxxxxx xxx ohledu xx xx, x xxxxxx xxxxx xx xxxxxxxx xxxxxxx, xxxxxx rodinného xxxx xxxxxxx xxx xxxxxxxx xxxxxxxx x xxxxxx x xxxxxxx xxxxxxx xxx xxxxxxxx xxxxxxxx, případně xxxxxx xxxxxxxxxxx x xxxxxxxx xxxxxxxxxxx užívaná x xxxxxxx xxxxxxxx (rekreační xxxxxx). Xxxx stavby xxxx xxxxx označovány xxxx xxxxxx xxx xxxxxxxxxxxx xxxxxxxx, xxxx. xxxxxxx xxxx xxxxxxxxx xxx xxxxxxxxxxxx xxxxxxxx. Xxxxx xx x xxxxx stavby x xxxxx xxxxxx označení xxxx vliv xx xxxxxxxxx xxxx (xxxxxxx xxxxxxxxxxx xxxxx xxx xxxxxx).
X - budova xxxxxx xxxxxxxxxx xxxxxx x budově xxx xxxxxxxx xxxxxxxx - xxxxxx, xxxxxxx příslušenství xxxxxx xxx rodinnou xxxxxxxx, xxxx. kůlna, xxxxxx chlév, xxxxxxx xxxx. (xxxxxxx xxxxxxxxxxx xxxxx xxxxxx než xxxxxx xxx xxxxxxxx xxxxxxxx dle zákona).
L - xxxxxx xxxxxxx x xxxxxxxx nemovitostí xx xxxxxxxx využití xxxxx - xxxxxx, xxxxx xx v xxxxxxxx nemovitostí zapsána xx xxxxxxxx využití xxxxxx xxxxx xxx xxxxxx na xx, x xxxxxx xxxxx xx xxxxxxxx užívána, xxxxxxxx budova xxxxxxxxxxx x xxxxxxxx nemovitostí xxxxxxx jako garáž (xxxxxxx xxxxxx xxx xxxxxx). Xxxxx se x garáž, xxxxx xxxx součástí xxxxxx xxxxxxxx xxxx (není xxxxxxxxx xxx xxxx xxxxxxxxxx x xxxxxx xxxxxxxx domu).
P - xxxxxxx xxxxxxxxxx xxxxxx - xxxxxxxxxx xxxxxx, xxxxxx xxxxx xxxxxxx xxx xxxxx x xxxx xxxxxxxxx xxxxx xxxxxxxxxxxx xxxxxx (xxxxxxx xxxxxxxxx xxxxxxxxxxxx xxxxxx xxx xxxxxx). Xxxxx xx xxxx. x xxxxxxx xxxxxxxxx xxxxxxx, xxxxxxx xxxxxxxx xxxxxx xxx.
Xxxxxxxxxx stavby, xxxxxxx xxxxxxxxxxx xxxx xxxxxxxxx xxxxxx nadzemní xxxxx xxxxxx xxxx, nemají-li xxxxxxxxxx plochu, xxxxxxxxx xxxxxx zdanitelné xxxxxx, xx užívaná x xxxxxxxxx nebo zdanitelné xxxxxx xxxxxxxx x xxxxxxxxx xxxxxxx podle xxxxxx xxxxxxxxxxxx xxxx x xxxxxx - xxxxx xxxxx podnikání, x xxxxx xxxxxx, xx xxxxxxxxxx xxxxxx xxxx xx užívané x:
X - podnikání x xxxxxxxxxx xxxxxxxxxx, xxxxxx x xxxxxx xxxxxxxxxxxx (xxxxxxx zdanitelných xxxxxx pro xxxxxxxxx x xxxxxxxxxx prvovýrobě, xxxxxx xxxx vodním xxxxxxxxxxxx dle xxxxxx).
X - xxxxxxxxx x xxxxxxxx, xxxxxxxxxxxx, xxxxxxx, xxxxxxxxxx xxxx xxxxxxx xxxxxxxxxx xxxxxx (xxxxxxx xxxxxxxxxxxx xxxxxx pro xxxxxxxxx x xxxxxxxx, xxxxxxxxxxxx, dopravě, energetice xxxx ostatní xxxxxxxxxx xxxxxx xxx xxxxxx).
X - ostatním xxxxxx xxxxxxxxx (skupina zdanitelných xxxxxx xxx xxxxxxx xxxxx xxxxxxxxx xxx xxxxxx).
X zdanitelné xxxxxx, xxxxxxxx pod druhem X, X, J, X, X, P, xxxxx xxxxxxxxxxx část xxxxxxxxx xxxxxx nadzemní xxxxx je xxxxxxx x podnikání, xx xxxxxxx sazba xxxx xxxxxxxxxxxx staveb x xxxxxxxxx, x xx xxxxxxxx xxxxxxxx xxxxx. X xxxxxxxxxx stavby xxxxxxxxxxxxxx xxxx xxxxx xxxx (xx. xxxxxxx X, N nebo X). X zdanitelné xxxxxx xxxxx X, X, X, X, xxxxx má xxxxxxxxxx xxxxxxxx v obchodním xxxxxxx xxxxx zákona xxxxxxxxxxxx xxxx x xxxxxx xx xxxxxxx xxxxx xxxx xxxxxxxxxxxx xxxxxx x podnikání, x to xxxxxxxx xxxxxxxx xxxxx xxxxxxxxxx xxxxxx odpovídajícího xxxx xxxxx daně (xx. xxxxxxx X, X xxxx X). X xxxxxxxxxx xxxxxx, jejíž xxxxxxxxx xxxxxx xxxxxxxx xxxxx xx xxxxxxx xx stejném poměru x xxxxxx xxxxxx xxxxxxxxx, xx použije xxxxxxxx příslušná sazba.
Zdanitelné xxxxxxxx:
Xxxxxxxxxx jednotka, xxxxx xxxxxxxxxxx část podlahové xxxxxx xx užívaná:
R - xxx bydlení, xxxx. xxx (xxxxxxx xxxxxxxxx xxxxxxxxxxxx xxxxxxxx xxx xxxxxx).
X - xxxx xxxxx (xxxxxxx xxxxxx xxx xxxxxx).
X - xxxxxxx xxxxxxxxxx xxxxxxxx - xxxxxxxx, xxxxxx xxxxx zařadit xxx xxxxx x xxxx xxxxxxxxx druhů xxxxxxxx, xxxxxxxxx ubytovací xxxxxxxx xxxx xxxxxxxx, xxxxx xxxxxx xxxxxxxxx x podnikání (xxxxxxx xxxxxxxxx zdanitelných xxxxxxxx xxx xxxxxx).
Xxxxxxxxxx jednotka xxxxxxxx do obchodního xxxxxxx xxxxxxxxxxx xxxx xxxxxxxxxx xxxxxxxx, xxxxx xxxxxxxxxxx xxxx xxxxxxxxx xxxxxx xx xxxxxxx:
X - xxx xxxxxxxxx x xxxxxxxxxx xxxxxxxxxx, xxxxxx a xxxxxx xxxxxxxxxxxx (xxxxxxx xxxxxxxxxxxx xxxxxxxx xxx xxxxxxxxx x xxxxxxxxxx xxxxxxxxxx, xxxxxx xxxx xxxxxx xxxxxxxxxxxx dle xxxxxx).
X - xxx podnikání x xxxxxxxx, xxxxxxxxxxxx, xxxxxxx, xxxxxxxxxx xxxx xxxxxxx zemědělské xxxxxx (xxxxxxx xxxxxxxxxxxx xxxxxxxx xxx xxxxxxxxx x xxxxxxxx, xxxxxxxxxxxx, xxxxxxx, xxxxxxxxxx nebo ostatní xxxxxxxxxx výrobě xxx xxxxxx).
X - xxx xxxxxxx xxxxx podnikání (xxxxxxx xxxxxxxxxxxx staveb xxx xxxxxxx xxxxx xxxxxxxxx xxx xxxxxx).
Xxxxxxxx xxxxxxx xx xxxxxxxxxx xxxxxxxx xxxxxxx x xxxxxxxxx - xxxxxxx xxxxx, xxxxx je xxxxxxxxx daně zdanitelná xxxxxxxx xxxxx X, X xxxx Z, xxxxx xxxxxxxx
-&xxxx;xxxxxxxx xxxxxxx xxxxxxx x xxxxxxxxx, x výjimkou xxxxxxxxxx xxxxxxxx, xxxxx xx xxxxxxxxxxx částí jednotky, xxxx který je xxxxxx x xxxxxxxxx x xxxxxxxxxx xxxxxxxxxx, xxxxxx x xxxxxx xxxxxxxxxxxx (skupina nebytových xxxxxxxx, skupina xxxx x xxxxxxxxxx xxxxxxxx) x jedná xx x jednotku, xxxxx xxxxxxx xxxxx xxxxxxxxxx xxxxxxxx po 1. xxxxx 2014 xxxx
-&xxxx;xxxxxxxx xxxxxxxxxx x xxxxxxxxx x oboru ubytování x xxxxxxxx xxxxxxxxx, xxxxx xx xxxxxxxxxxx xxxxx budovy.
Do rámečku xxxxxx xxxxxxx T xxxx U xxxxx xxxxx xxxxxxxxx.
Xx-xx xx xxxxxxxxxx xxxxxxxx xxxxx X xxxx xx xxxxxxxxxxxx xxxxxxxxxx xxxxxxxxxx xxx xxxxxx X xxxx X xxxxxxxxxxx xxxxxxxxx na převažující xxxxx upravené xxxxxxxxx xxxxxx, xxxxxxx xx xxxxx daně xxx xxxxxxxxx, x xx xxxxxxxx xxxxxxxx druhu xxxxxxxxxx jednotky odpovídající xxxx sazbě xxxx (xx. písmeno S, X xxxx U).
U xxxxxxxxxx jednotky druhu X, xxxxx xxxxxxxx xxxx nebytový prostor xxx xxxxx, xxxxx xxxx komoru, zařazené x xxxxxxxxx xxxxxxx xxxxx xxxxxx upravujícího xxxx z příjmů, xx použije xxxxx xxxx xxxxxxxxxxxx xxxxxxxx x xxxxxxxxx, x xx uvedením xxxxxxxx xxxxx xxxxxxxxxx xxxxxxxx xxxxxxxxxxxxxx xxxx sazbě xxxx (tj. xxxxxxx X, T nebo X).
302 Xxxxx xxxxxx xxxxxx vlastnického práva xxxx xxxxx splnění xxxxxxxx xxx nabytí xxxxxxxxxxxx práva k xxxxxxxx xxxx neevidované x KN xxxxxxxxx x xxxxxx - xxxxxxx pouze xxxxx, xxxxx xx xxxxxxxxxx xxxxx xxxxxxxxxx xxxxxxxxxx xxxxxx xxxx xxxxxxxxxx xxxxxxxx x xxxxxxxxx xxxxxxx xxxxx ustanovení §13a xxxx. 11 xxxx odst. 12 xxxxxx. V ostatních xxxxxxxxx xxxx xxxxxxx xxxxxxxxxxx.
Xxxxxxx x. 1: Xxxxx xxxxxxx xxxx xxxxxxxx dne 5.12.2025. Xxxxx xx vklad xxxxxxxxxxxx xxxxx xx xxxxxxxx xxxxxxxxxxx xxx xxxxx xxx 17.12.2025. Xxxxx xxxxxxxxxxxx práva xxx proveden 29. 1. 2026. V xxxxx případě vyplníte xxxxxxx x. 302 x uvedete do xx datum xxxxxx xxxxxxxxxxxx xxxxx.
Xxxxxxxx. 2: Xxxxx xxxxxxx xxxx xxxxxxxx xxx 12.9.2025. Xxxxx xx vklad xxxxxxxxxxxx xxxxx xx xxxxxxxx nemovitostí xxx xxxxx xxx 24.9.2025. Xxxxx xxxxxxxxxxxx práva xxx xxxxxxxx 3.11.2025. X tomto případě xxxxxxx x. 302 xxxxxxxxxxxx.
303 Název xxxx - uveďte xxxxx xxxx, v xxxxxx xxxxxxxxxxxx xxxxx xx xxxxxxxxxx xxxxxx xxxx xxxxxxxxxx xxxxxxxx xxxxxxxxx.
304 Xxxxx xxxxxxxxxxxxx území - xxxxxx xxxxx xxxxxxxxxxxxx xxxxx, xx xxxxxx xx zdanitelné xxxxxx xxxx xxxxxxxxxx xxxxxxxx xxxxxxxxx. Xxxxx xx xxxxx xxxxxxx xxxxx a xxxx xxxxxxxxxxxx územím xxxxxxxx xxx xx xxxx xxxxxxxxx částí, uveďte xxxxx xxxxxxxxx xxxxxx xxxxxxxxx xxxxxxxx xxx XXX. Xxxxxx xxxxxxxxx xxxxxxxx xx xxxxxxxx xxxx část xxxxxxxxxxxxx xxxxx, xxxxxxxx hranicí xxxxxxxx xxxxxx jednotky, xx. xxxxxxx obce, xxxxxxxxx xxxxxx či xxxxxxx xxxxx.
305 Kód xxxxxxxxxxxxx xxxxx - xxxxxx xxxxxxxxxxxxx xxxxx xxxxxxxxxxxxx území xxxxx xxxxxxxxx Xxxxxxxxxxxxx xxxxx xxxx číselníku Xxxxxx xxxxxxxxxxx jednotek ČSÚ (x Xxxxxxx katastrálních xxxxx s xxxxxxxxxx xxxxxxxxx xxxxxxxx xxxxx xxxxxxxxxxxx pozemku je xxx xx xxxxxxx xxxxxxxxxx xxxxxxxx XXX). Xxxx informace xxxx xxxxxxxx xx xxxxxxxx xxxxxxxxxxxx xxxxxxxxxx xxxxx x též na xxxxxxxxx.
306 Xxxxxxxxxx stavby xxxx xxxxxxxxxx jednotky
a) číslo xxxxxxx nebo xxxxxxxxx - xx-xx xxxxxxxxx xxxx xxxxxxxxxx xxxxxx, xxxxxxx xxxxx xxxxxxx xxxx xxxxxxxxx, xxxxx xx bylo přiděleno. Xx-xx xxxxxxxxx xxxx xxxxxxxxxx xxxxxxxx, uveďte xxxxx popisné či xxxxxxxxx x xxxxx xxxxxxxx (uvedeno před xxxxxxxx). Pokud číslo xxxxxxx nebo evidenční xxxxxx přiděleno (xxxx. xx xxxxx x xxxxxx xxxxxxxxxxxx x xxxxxxxx xxxxxxxxxxx), xxxxxxxx xxxxxxx xxxxxxxx.
x)&xxxx;xxxxx jednotky - xxxxxxx xxxxx xxxxxxxx xxxxxxxx nemovitostí. Xxxxx xxxxxxxx xx x xxxxxxxx xxxxxxxxxxx xxxxxxxxx uvedeno xxxx xxxxxx, x němž xxxx xxxxxxxx xx xxxxx popisné xxxx xxxxxxxxx (xxxxxxx x xxxxxxx „x“) x xx xxxxxxxx je xxxxxxx číslo xxxxxxxx (xxxxxxx x rámečku „x“).
x)&xxxx;xxxxx parcely, xx xxx xx xxxxxxx xxxxxxxxxx xxxxxx xxxx xxxxxx, x níž xx xxxxxxx zdanitelná xxxxxxxx -¨xxxxxx číslo xxxxxxx dle evidence x xxxxxxxx xxxxxxxxxxx xx xxxxx k 1. xxxxx xxxxxxxxxxx xxxxxx, xx xxx xx xxxxxxxxxx xxxxxx xxxx budova, x xxx xxxx xxxxxxxx, xxxxxxx. Pokud se xxxxxxxxxx xxxxxx nachází xx xxxx parcelních xxxxxxx, je xxxxx xxxxx parcelní xxxxx xxxxx xx xxxxxxxxxx xxxxx xxxxxx identifikace xxxxx xxxxxxxxx xx xxxxxxxxxxx (xxxxx xxxx xxxxxxxxx) xx xxxxx x. 306 x) x příslušné xxxxxx xxxxxxxxx xxxxxx xxxxxxxxxx xxxxxx xxx xxxxx xxxxxxx x xxxxx x. 306 f).
V xxxxxxx, že se xxxxxxxxxx xxxxxxxx xxxxxxx x xxxx, který xxxxx xx xxxx xxxxxxxxxx xxxxxxx, xxxxxxx xxxxxxx xxxxx xxxxxxx x nich. Xxxxxxxx xxxxx xx xxxxxx xxx, xx xxxx xxxxxxxx se xxxxx xxxxxxx xxxxxxxxxx xxxxxxx xxxxx xxxxxxx x xx lomítkem xxxxxxx xxxxxxxxxx podlomení. X xxxxxxxxxx xxxxxx při xxxxx číselné xxxx x evidenci xxxxxxxx xxxxxxxxxxx xx zkratka „xx.“ do xxxxxxxx xxxxxxx. Xxxxxx xxxx xxxxx číslo parcely xxx xxxxxxx „st“.
d) typ xxxxxxx (xxxx) - xxxxxx, xxx xxxxxxxxxx xxxxxx xx xxxxxx, xx které xx xxxxxxx xxxxxxxxxx xxxxxxxx xxxxx xx xxxxxxxx xx pozemkové xxxxxxx. X xxxxxxx, že xxxxx xx stavební xxxxxxx, uveďte xxxxxxx „X“, pokud xxxxx xx xxxxxxxxx xxxxxxx, xxxxxx xxxxxxx „X“. Xxxx xxxxxxxxx zjistíte x xxxxx xxxxxxxxxxx xxxxxxxx xxxxxxxxxxx. Stavební xxxxxxx xxxx na xxxxx vlastnictví xxxxxxxx xxxxxxxx „Xx.“, pozemkové xxxxxxx xxxx vedeny xxx zkratky „Xx.“. Xxxxx se v xxxxx xxxxxxxxxxxx území xxxxxxx pouze jedna xxxxxxxx řada, xxxxxxx xxxxxxxx xxxxxxxx.
x)&xxxx;xxxxxx xxxxx - x xxxxxx xxxxxxx uveďte xxxxxxx, xxxxx xxxxxxxx Vašemu xxxxxxxx xxxxxx ke xxxxxxxxxx xxxxxx nebo xxxxxxxxxx xxxxxxxx xx xxxxxxx xxxxxxxxxxxx xxxxxx xxxx xxxxxxxxxxxx jednotek:
V - xxxxxxxx
XX - xxxxxxxxxxxxx
XX - právo xxxxxxxxxxx
XXX - xxxxx xxxxxxxxxxx pro více xxxxxxxx
XXX - xxxxxxxx
XXXX - xxxxxxxx xxx xxxx subjektů
POF - xxxxxxxx fond
SVF - xxxxxxxxx xxxx
XXX - xxxx xxxxxxxxxxxxxxx penzijní xxxxxxxxxxx
XXXX - pachtýř
N - xxxxxxx
X - xxxxxxxx
x)&xxxx;xxxxxx xxxxxxxxx xxxxxx xxxxxxxxxx xxxxxx xxxx xxxxxxxxx xxxxxx xxxxxxxxxx xxxxxxxx v x2:
X xxxxxxxxxx xxxxxx xxxxxx xxxxx stavu k 1. lednu xxxxxxxxxxx xxxxxx xxxxxx zastavěné xxxxxx, xxxxxx se xxx xxxxx xxxx x xxxxxxxxxx věcí xxxxxx xxxxxxxxx plocha xxxxxx podle xxxxxxxxxx xxxxxx xxxxxxxxxxxx nadzemní xxxxx xxxxxxxxxx xxxxxx. Xxxxxxxxxx plochou xxxxxx xx xxxxxx xxxxxx xxxxxxxxxx xxxxxxxxxxx průměty xxxxxxxx xxxx xxxxxxxxxx xxxxxxxxxx všech xxxxxxxxxx x xxxxxxxxxx xxxxxxx xx vodorovné roviny. Xxxxxx xxxxxx x xxxxxx xx započítávají. XX xxxxxxx xxxxxxxxxxxxx (xxx xxxxxxxxx xxxxxxxxxx xxxx) xx zastavěná xxxxxx xxxxxxxx xxxxxxxxx xxxxxx xxxxxxxx vnějšími xxxx xxxxxxxx konstrukcí xx xxxxxxxxx xxxxxx. Xxxxx x druhu xxxxxxxxxx stavby X - xxxxxxx xxxxxx xxxxxxx xxxxxxxxxxxxx x xxxxxx xxxxxxxx xxxx xxxxxx xxxxx xxxxxx xxxxxxxxx plochy přesahující 16 x2, x xx u xxxxx xxxxxxxxxx zdanitelné xxxxxx xxxxx X.
X xxxxxxxxxxxx xxxxxxxx xxxxxx xxxxxxxxxx xxxxxx jednotky tak, xxx xx xxxxxxx x xxxxxxxx nemovitostí (xxxxxxxxxxxx, xx x xxxxxxxx xxxxxxxxxxx xx xxxxxxxxx xxxxxx xxxxxxxx xxxxxxxxxxxx xxxxxxxxxxx xx xxxxx xxxxxxxxx xxxxx). Xxxxx xxxx x xxxxxxxx nemovitostí xxxxxxxxx xxxxxx jednotky xxxxxxx, xxxxxx podlahovou plochu xxxxxxxx xxx, xxx xx uvedena xx xxxxxxx x nabytí xxxxxxxx xxxx x xxxxxxxxxx xxxxxxxxx xxxxxx x xxxxxxxx xxxxxxxx (xxxxxxx xx xxxxxxxxxx xxxxxxxxxxxx xxxxx), xxxxxxxxxxxx xxxxx k 1. xxxxx xxxxxxxxxxx období.
g) právní xxxxxx xxxxxx xx xxxxxxxxxx - pokud xxxxxxxxxxx xxxxx na xxxxxxxxxx xxxxxxxxxx xxxxxx xx x. 321, xxxxxx právní xxxxxx xxxxxx xx xxxxxxxxxx xxxxx §9, případně xxxxx §17a zákona. Xxxxx xxxxxx xxxxxx xxxxxx (x xxxxxxx xxxxxxx xxxxxx xx xxxxxxxxxx) xxxxxx x xxxxxx xxx xxxxxxxxx xxxxxx na osvobození xxxxxxxxx v položce 308. Xxxxx xx xxxxxxxxxx xx uvádí x xxxxxxxxxx xxxxx §9 xxxx. 1 xxxx. x) xx x), x), x) xx r), u), x x) xxxxxx. Xxxxxxxxxx xxxxxx x xxxxxxxxxx jednotky xxxxxxxxxx xxxxx §9 xxxx. 1 xxxx. x) xx x), x), x), x), x), x) x x) xxxxxx se xx xxxxxxxx xxxxxxxx xxxxxxxxx, xxxxx xxxx xxxxxxxxxx xxxx, xxxxx v xxxxxxx, xxx je xxxxxxxxxx stavba nebo xxxxxxxxxx xxxxxxxx xxxxxxxxxx xxxxxxxx, xxx se xx xxxxxxxx přiznání xxxxx.
x)&xxxx;xxxxxxxx xxx osvobození - x časově xxxxxxxxx xxxxxxxxxx xxx xxxxxx poslední rok xxxxxxxxxx, xx xxxxx xxxxxxxxxx trvá (včetně).
Při xxxxxxxxxx místa xxxxxx xxxxx x dalších xxxxxxxxxxxx stavbách xxxx xxxxxxxxxxxx jednotkách x xxxxxxx k výpočtovému xxxxx x xxxxx x xxxx xx xxxxxx x xxxxxxxx, xxxxxxxx 25 5535.
307 Xxxxxxxxx xxxxxx xxxxxxxxxxxx xxxxxx nebo podlahová xxxxxx xxxxxxxxxxxx xxxxxxxx xxxxxx v x2&xxxx;- xxxxxx xxxxxx xxxxx xxxxx xxxxxxxxxxxx staveb xxxx xxxxxxxxxxxx xxxxxxxx, x xx x x xxxxxx x xxxxx.
308 Účel xxxxx xxxxxxxxxx xxxxxx xxxx xxxxxxxxxx xxxxxxxx xx xxxxxxx zdanitelných xxxxxx xxxx xxxxxxxxxxxx jednotek, xxxxx xxxx, důvody x xxxxxxxxx xxxxxx xx osvobození - x xxxxxxxxxxxx staveb xxxx zdanitelných xxxxxxxx xxxxxxxxx xxxxxx xxxxxx xxxxxxx, xxxx-xx xxxxxxxxxxx xxxxxx z údaje x předmětu daně xx x. 301 (xxxx. xxxxx, xxxxx xxx xxxxx x xxxxxxx, divadlo, hotel, xxxxxx, restaurace, xxxxxxx xxxx, xxxxxxxxxxxxxxx budova). X dílčím, xxxxxxxx xxxxxxxxx xxxxxxxxxx xxxxxxx xxxxxxxx uveďte rovněž xxxxx, k nimž xxxxx x xxxxxxxxxxxx xxxxxx xxxx xxxxxxxxxxxx xxxxxxxx, xxxxxxxxxxxx xx xxxxxxxxxx xxxxx, xxxxxx xxxxxxxxxxx daňovému xxxxxxxx. Xxx xxx xxxx xxxxx xxxxx informace xxx xxxxxxx xxxx x xxxxxxxx xxxx (xxxx. x xxxxxxx xxxx x xxxxxxxxxx xxxxxxxx vyčíslit podlahovou xxxxxx xxxx x xxxxxxxxxx xxxxxxxx), xxxxxxxx x důvodům xxx xxxxxxxxx xxxxxx na xxxxxxxxxx.
309 Xxxxxx xxxxxxxxx xxxxxx xxxxxxxx - xxxxxx xxxxxxxxxx xxxxxx xxxxxxxx v x2. Xxxxx xxxxx xxxxxxx xxxxx xxxxx, xx-xx xxxxxxxxx xxxx zdanitelná xxxxxxxx. X případě, xx xxxxxxxxxx x xxxxxxx xxxx jednotek, xxxxxx xxxxxx xxxxxx xxxxxxxxxxx ploch, tj. xxxx x xxxxx 307.
310 Koeficient xxxxx §10 odst. 3 xxxxxx - výše xxxxxx xxxxxxxxxxx je 1,22 nebo 1,20.
Xxxxxxxxxx 1,22 xxxxxxxx pro xxxxxxxxxxx xxxxxxxx či xxxxxx xxxxxxxxxxxx jednotek xxxxxxxxxxx se v xxxxxxx xxxx, které xxxxxxxxxx na tomto xxxxxxxxxx xxxxx, xxxxx xx jejich součástí xxxxx xx xxxxxxx, xxxx pokud vlastník xxxxxxxx xx xxxxxxxxxxxxxxx xxxxxx pozemku ve xxxxxxxxxxxxxxxx vlastníků xxxxxxxxxxxx xxxxxxxx xxxxxxxxx xxxxxxxx x těmito jednotkami. Xxxxx xxxxxxxx č. 357/2013 Sb., x xxxxxxxx nemovitostí (xxxxxxxxxxx xxxxxxxx), ve xxxxx xxxxxxxxxx předpisů, xx xxxxxxx xxxxx xxxxxx xxx xxxxxxx, xx které více xxx polovina podlahové xxxxxx odpovídá xxxxxxxxxx xx trvalé xxxxxxx x xx x xxxxxx xxxxx určena [§2 xxxx. x) xxx 1 vyhlášky x. 501/2006 Xx., x xxxxxxxx xxxxxxxxxxx xx xxxxxxxxx xxxxx, xx xxxxx xxxxxxxxxx xxxxxxxx].
Xxxxxxxxxx 1,20 xxxxxxxx xxx xxxxxxxxxxx jednotku, xxxxxxxx souhrn xxxxxxxxxxxx xxxxxxxx nacházejících xx x bytovém xxxx, xxxxx xxxxxxxxxx xx xxxxx výpočtovém listu, x xxxx xx xxxxxxxxxx xxxxx xxxxxxxxxxxxxxx xxxxx xx pozemcích, xxxxx xxxxx xx xxxxxxxxxx xxxxxxxx, případně xxxxxx xxxxxxxxxxxx jednotek xxxxxxxxx xx xxxxx xxxxxxxxxx xxxxx xxxxxxx x budově, která xxxx xxxxxxx domem (xxxxxxxxx xxxxxx rodinného xxxx, xxxxxxxxxxx xxxxxx, xxxxxx občanské xxxxxxxxxxx, xxxxxxxxxxxxxxx xxxxxx atd.). Xxx xxxxxxxx, x xxxx xxxxxx se xxxxxxxxxx xxxxxxxx nachází, xxx vycházet x xxxxxxxx xxxxxxxx xxxxxxxxxxx, xxx xx xx xxxxx xxxxxxxxxxx xxxxx xxxxxx xxxxxxx xxxxxx.
311 Xxxxxx xxxx xx xxxxxx a jednotek - xxxxxx xxxxxxxxx xxxxxx xxxxxxxxxx xxxxxx X xx X xxxx výměra xxxxxxxx xxxxxxxxx xxxxxx xxxxxxxxxx xxxxxxxx X xx X. Xxxxxxxxxx xxxxxxx xxxxxx xx xxxxxx xxxxxx xxxxxxxxxx xxxxxxxxxxx xxxxxxx vnějšího xxxx xxxxxxxxxx xxxxxxxxxx xxxxx xxxxxxxxxx x xxxxxxxxxx xxxxxxx xx xxxxxxxxx xxxxxx. Xxxxxx xxxxxx x arkýřů xx xxxxxxxxxxxx. X objektů xxxxxxxxxxxxx (bez xxxxxxxxx xxxxxxxxxx stěn) je xxxxxxxxx xxxxxx xxxxxxxx xxxxxxxxx čarami vedenými xxxxxxxx xxxx xxxxxxxx xxxxxxxxxx xx xxxxxxxxx xxxxxx. Upravená podlahová xxxxxx xx součinem xxxxxx podlahové plochy xxxxxxxxxx xxxxxxxx nebo xxxxxxx xxxxxx podlahové xxxxxx xxxxxxx xxxxxxxxxxxx xxxxxxxx x x2&xxxx;x xxxxxxxxxxx 1,22 xxxx 1,20 (x. 309 × ř. 310). X xxxxxxx, xx xxxxxxxxxx x souhrnu xxxx xxxxxxxxxxxx staveb, xxxxxx součet jejich xxxxxxxxxxx ploch, xxxx. xxxxxx xxxxxxxxxx xxxxxxxxxxx xxxxx zdanitelných jednotek xxxxxx, xx. údaj x xxxxx 307. Xxxxxx zastavěné xxxxxx xxxx xxxxxxxx xxxxxxxxx xxxxxx zaokrouhlete na xxxx x2&xxxx;xxxxxx.
312 Xxxxx xxxx xxxxx §11 xxxx. 1 xxxxxx - xxxxxx xxxxxxxx xxxxx xxxx xxx xxxxxxxx xxxxxxx xxxx: Xxx xxxxxxxxxx druhy xxxxxxxxxxxx xxxxxx x xxx zdanitelné xxxxxxxx xxxx:
Xxxxxxxxxx xxxxxx:
X - xxxxxx xxxxxxxx xxxx 3,50 Xx/x2
X - xxxxxxx xxxxxx tvořící xxxxxxxxxxxxx k xxxxxx xxxxxxxx domu 3,50 Xx/x2
X - xxxxxx xxx rodinnou xxxxxxxx, xxxxxx rodinného xxxx xxxxxxxxx xxx rodinnou xxxxxxxx 11 Xx/x2
X - xxxxxx xxxxxx xxxxxxxxxx xxxxxx k xxxxxx xxx xxxxxxxx xxxxxxxx nebo xxxxxx xxxxxxxxx xxxx xxxxxxx xxx xxxxxxxx xxxxxxxx x xxxxxxxx xxxxxx 3,50 Xx/x2
X - xxxxxx xxxxxxx x xxxxxxxx xxxxxxxxxxx xx xxxxxxxx využití xxxxx 14,50 Xx/x2
X - xxxxxxx xxxxxxxxxx xxxxxx 11 Kč/m2
Zdanitelné xxxxxxxx:
Xxxxxxxxxx xxxxxxxx, xxxxx xxxxxxxxxxx xxxx xxxxxxxxx plochy xx xxxxxxx:
X - xxx xxxxxxx (byt) 3,50 Xx/x2
X - xxx xxxxxxxxx x xxxxxxxxxx xxxxxxxxxx, xxxxxx x xxxxxx xxxxxxxxxxxx 3,50 Kč/m2
T - xxx xxxxxxxxx v xxxxxxxx, xxxxxxxxxxxx, xxxxxxx, xxxxxxxxxx xxxx ostatní xxxxxxxxxx xxxxxx 18 Xx/x2
X - xxx xxxxxxx xxxxx xxxxxxxxx 18 Xx/x2
X - xxxx xxxxx 14,50 Xx/x2
X - ostatní xxxxxxxxxx jednotka 3,50 Xx/x2
Xxxxxxxxxx stavba, xxxxx xxxxxxxxxxx xxxx xxxxxxxxx xxxxxx nadzemní xxxxx xxxxxxxxxx stavby xxxx xxxx-xx podlahovou xxxxxx, xxxxxxxxx plochy xxxxxxxxxx xxxxxx, je užívaná x podnikání xxxx xxxxxxxxxx xxxxxx, které xx xxxxxxxxxx zařazené x obchodním xxxxxxx xxxxx xxxxxx upravujícího xxxx z xxxxxx - xxxxx xxxxx xxxxxxxxx, x xxxxx xxxxxx, xx xxxxxxxxxx xxxxxx xxxx xx xxxxxxx xxx:
X - xxxxxxxxx x xxxxxxxxxx xxxxxxxxxx, xxxxxx x xxxxxx hospodářství 3,50 Xx/x2
X - podnikání x xxxxxxxx, stavebnictví, xxxxxxx, xxxxxxxxxx xxxx xxxxxxx xxxxxxxxxx výrobě 18 Xx/x2
X - xxxxxxx druhy xxxxxxxxx 18 Xx/x2
313 Počet xxxxxxxxxx xxxxxxx xxxxxxx - vyplňte xxxxx xxxxx, xxxxxxxx xx xxxxxxxxx xxxx zdanitelná xxxxxx X xx X. Uveďte xxx xxxxx xxxxxxx xxxxxxxxxx xxxxxxx xxxxxxxxxx stavby, xxxxxxx xxxxxxxxx xxxxxx xxxxxxx přesahuje xxx xxxxxxx xxxxxxxxx xxxxxx; x xxxxxxxxxxxx xxxxxx x xxxxxxxxx xx xxxxx xxxxx xxxxxxx xxxxxxxxxx xxxxxxx, xxxxxxx xxxxxxxxx xxxxxx podlaží xxxxxxxxx xxxxx třetinu xxxxxxxxx xxxxxx. Xx xxxxxxxxxx xxxxxx nadzemního xxxxxxx xx považuje xxxxxxxxx xxxxxx xxxxxxxxx xxxxxxxx xxxxxxxxxx xxxxxxxxxxx xxxxxxx vnějšího líce xxxxxxxxxx konstrukcí xxxxxx xxxxxxx do xxxxxxxxx xxxxxx. Xx xxxxx xxxxxxxx xxxxxxx se xxxxxxxx každé konstrukční xxxxxxx, xxxxx xx xxxxxx xxxxxxx xxxx x xxxx xxxxx xx 0,80 x xxx xxxxxxxxx xxxxx xxxxxxxxxx xxxxxx, není-li x projektové xxxxxxxxxxx xxxxxxxxx xxxxx. Xxxxxxx xxxxxxx xxxxxxxx xxx xxxxx xxxxxxxx xxxxxx xxxxxxx určeného xxxxxxxx xx xxxxxxxx za xxxxx xxxxxxxx xxxxxxx.
Xxxxxxx xxxxxxxxxx:
xxxxxxx = 1. xxxxxxxx podlaží- do xxxxxxx xxxxx xxxxxxx xxxxxxxxxx xxxxxxx xxxxxxx 0
1.&xxxx;xxxxx = 2. xxxxxxxx podlaží- xx xxxxxxx xxxxx dalších xxxxxxxxxx xxxxxxx uvedete 1
2.&xxxx;xxxxx = 3. xxxxxxxx podlaží- xx xxxxxxx xxxxx xxxxxxx xxxxxxxxxx podlaží xxxxxxx 2 atd.
314 Zvýšení xxxxx xx xxxxx xxxxxxxx podlaží podle §11 xxxx. 2 xxxxxx - vyplňte xxxxx xxxxx, jestliže xx předmětem xxxx xxxxxxxxxx xxxxxx X xx X. Hodnotu xxxxxxx vynásobením xxxxx xxxxxxx xxxxxxxxxx xxxxxxx xxxxxxxxx xx x. 313 xxxxxx xx xxxxx nadzemní xxxxxxx 1,40 Kč.
315 Xxxxxxxxxx xxxxx §11 xxxx. 4 x 6 xxxxxx:
•&xxxx;xxxxxxxxxx xxxxx §11 xxxx. 4 xxxxxx - xxxxxxx xxxxx x xxxxx xxxxxxxxxxxx xxxxxx H - xxxxxx dům x X - xxxxxxx xxxxxx xxxxxxx xxxxxxxxxxxxx x xxxxxx obytného xxxx x x xxxxxxxxxxxx jednotek X - xxx xxxxxxx (xxx) x X - xxxxxxx zdanitelná xxxxxxxx. Xxxxx obec xxxxxxxxx xxxxxx xxxxxxxx xxxxxxxxx xxx jednotlivé xxxxx xxxx xxxx xxxxxxxxxxx, xxxxx xxxxxxxxxxx xxxxxxxxx podle xxxxx xxxxxxxx, x xx xxxxx xxxxxxxx x xxxxxxxxx xxxxxx x xxxxxxxxxxx určení xxxx, x to:
1,0 x xxxxxx xx 1 000 xxxxxxxx
1,4 v xxxxxx xxx 1 000 xxxxxxxx xx 6 000 xxxxxxxx
1,6 xxxxxx xxx 6 000 xxxxxxxx xx 10 000 obyvatel
2,0 x obcích nad 10 000 obyvatel xx 25 000 xxxxxxxx
2,5 v xxxxxx xxx 25 000 xxxxxxxx do 50 000 xxxxxxxx
3,5 x xxxxxx xxx 50 000 xxxxxxxx, xx xxxxxxxxxxx xxxxx a xx Xxxxxxxxxxxxx Xxxxxxx, Xxxxxxxxxxxx, Xxxxxxxxxxx Lázních x Xxxxxxxxxxx
4,5 x Xxxxx
Xxxxxxxxxxxx městy xxxx xxxxx §4 zákona x. 128/2000 Sb., x xxxxxx (xxxxxx xxxxxxx), xx xxxxx xxxxxxxxxx předpisů, Xxxxxx, Xxxxx Budějovice, Xxxxx, Xxxxxxx Vary, Ústí xxx Xxxxx, Xxxxxxx, Xxxxxxxx xxx Xxxxx, Xxxxxx Xxxxxxx, Xxxxxxxxx, Xxxxxxx, Brno, Xxxx, Xxxxxxx, Xxxxxx, Xxxxxxxx, Xxxxx, Frýdek-Místek, Xxxxxxx, Xxxxx, Havířov, Xxxx, Xxxxxxx, Xxxxxxx, Xxxxx Xxxxxxxx, Prostějov x Xxxxxx.
Xxxxxx xxxxxxx vyhlášky xxx xxxxxxxx xx Xxxxxx právních xxxxxxxx xxxxxxxx xxxxxxxxxxxxx celků x xxxxxxxxx xxxxxxxxx xxxxx, xxxxx je xxxxxxxx xx xxxxx xxxxxx:&xxxx;https://sbirkapp.gov.cz/. Xxxxxxxxxx xxxxxxxxxxx xxx xxxxxxx daně x xxxxxxxxxx xxxx xx dostupný na xxxxx xxxxxx:&xxxx;https://adisspr.mfcr.cz/pmd/vyhledani-koeficientu.
•&xxxx;xxxxxxxxxx podle §11 odst. 6 xxxxxx - vyplňte xxxxxxxxxx 2,0 x xxxxx zdanitelné xxxxxx X - budova xxxxxxx x katastru xxxxxxxxxxx xx xxxxxxxx xxxxxxx stavba xxx xxxxxxxx xxxxxxxx xxx xxxxxx na xx, x xxxxxx xxxxx xx xxxxxxxx užívána, xxxxxx rodinného xxxx xxxxxxx xxx xxxxxxxx xxxxxxxx x xxxxxx x xxxxxxx xxxxxxx xxx xxxxxxxx xxxxxxxx (xxxxxxxxx xxxxxx) x X - xxxxxx xxxxxx doplňkovou xxxxxx x rekreačním xxxxxxx x případě, že xxxx umístěny x xxxxxxxx parku nebo x xxxx X. xxxxxxxx krajinné xxxxxxx.
316 Xxxxxxxx xxxxx xxxx - součet xxxxx xxxx na řádku 312 x xxxxxxx xx xxxxx xxxxxxxx xxxxxxx xx xxxxx 314 se vynásobí xxxxxxxxx xxxxxxxxxxxx na xxxxx 315. Xxxxxxxx xx aritmeticky xxxxxxxxxx xx xxx xxxxxxxxx xxxxx.
317 Daň xx xxxxxx x xxxxxxxx - získáte xxxxxxxxxxx xxxxxx xxxxxxxxx plochy xxxx xxxxxxxx xxxxxxxxx xxxxxx x m2 na x. 311 xxxxxxxxx xxxxxx daně na x. 316. Výsledek xxxxxxxxxxxx xx celé Xx xxxxxx.
318 Podlahová xxxxxx nebytového xxxxxxxx xxxxxxxxx x xxxxxxxxx xxxx místnosti x xxxxxxxxx x budově xxxxxxxx domu nebo xxxxxxxx xxxxxxxxx xxxxxx xxxxxxxxxx xxxxxxxx xxxxxxxxx x podnikání xxxx xxxxxxxxx x xxxxxxxxx xx xxxxxxxxxx xxxxxxxx xxxxx R, X, X - xxxxxxx xxxxx v xxxxxxx, xx xx xxxxxxxxx xxxx druh xxxxxxxxxx xxxxxx X - xxxxxx xxxxxxxx xxxx xxxxx xxxxxxxxxx xxxxxxxx xxxxx X, X xxxx X. Xxxxxx xxxxxxxx výměru nebytového xxxxxxxx v xxxxxx xxxxxxxx domu xxxxxxxxx x xxxxxxxxx xxxx x místností xxxxxxxxxx x xxxxxxxxx x xxxxx xxxxxxxxx v xxxxxxxxxx x xxxxxxxxxx xxxxxxxxx xxxxxx xxxxxxxx xxxx. X případě xxxxxxxxxxxx xxxxxxx xxxxxx xxxxxx celkovou xxxxxx xxxxxxxxxx xxxxxxxx xxxxxxxxxx x xxxxxxxxx xxxx x místností xxxxxxxxxx x xxxxxxxxx v xxxxx xxxxxxxxx ve xxxxx xxxxxxxxxxxx xxxxxxxx. Xxxxx-xx se x xxxxxxxx prostor xxxxxxx x xxxxxxxxx nebo xxxxxxxx využívanou x xxxxxxxxx v oboru xxxxxxxxx ve xxxxxxxxxx xxxxxxxx xxxxx X, X či X, xxxxxx jejich xxxxxxxxx xxxxxxxxxx xxxxxx, tj. xxxxxx xxxxxxxxxx prostoru xxxx xxxxxxxxx xxxxxxxxx x xxxxxxxxx x xxxxx ubytování vynásobenou xxxxxxxxxxxx uvedeným na xxxxx č. 310.
319 Xxxxxxx xxxx xxxxx §11a zákona - xxxxxxx pouze x xxxxxxx, že předmětem xxxx je xxxxxx xxxxxxxx xxxx - X x nebytovým xxxxxxxxx užívaným k xxxxxxxxx nebo xxxxxxxxx xxxxxxxxxx k xxxxxxxxx x oboru ubytování. Xxxxxxxxx xxxxxxxxx xx xxxxxx xxxxxxx xxxxxxx xxxxxxxxx, případně souborem xxxxxxxxx, xxxxx jsou xxxxxxxx xxxxxx či xxxx, xxxxxxx xxxxxxxx xxxxxxx, xxxxx není xxxxxx xxxx xxxx xxxxx x xxxxxxx xxxxx xxxx xxxxxx x účelu xxxxxxx. Xxxxxxx daně je xxxxxxxx výměry podlahové xxxxxx xxxxxx nebytového xxxxxxxx nebo xxxxxxxxx xxxxxxxxx x podnikání x xxxxx xxxxxxxxx xx ř. 318 x částky 3,50 Xx. Xxxxxxxxxxxx xx xxxx Xx xxxxxx. Xxxxxxx xxxx se xxxxxxxxx, xxxxx je xxxxxxxx prostor či xxxxxxxx xxxxxxxxx k xxxxxxxxx x oboru xxxxxxxxx osvobozenou částí xxxxxx xxxx xxxx xxxxxxx x xxxxxxxxx x xxxxxxxxxx prvovýrobě. X xxxxxx xxxxxxxxx xxxxx 318 a 319 xxxxxxxxxxx.
X zdanitelné xxxxxxxx, xxxxx zahrnuje x xxxxxxxx xxxxxxx x xxxxxxxxx x xxxxxxxx xxxxxxxxxx xxxxxxxx, xxxxx je xxxxxxxxxxx xxxxx xxxxxxxxxx jednotky xxxx je xxxxxx x podnikání x xxxxxxxxxx xxxxxxxxxx, lesním xxxx vodním xxxxxxxxxxxx xxxx místnost xxxxxxxxx x xxxxxxxxx v xxxxx ubytování ve xxxxxxxxxx xxxxxxxx, x xxxxxxxx místnosti, která xx xxxxxxxxxxx částí xxxxxx, xx daň xx xxxxxx a xxxxxxxx xxxxxxx o xxxxxx xxxxxxxx podlahové xxxxxx xxxxxx xxxxxxxxxx xxxxxxxx uvedeného na xxxxx 318 a xxxxxxxx xxxxxxx mezi xxxxxx xxxx příslušnou xxx zdanitelnou xxxxxxxx, xxxxx převažující xxxx xxxxxxxxx xxxxxx xx xxxxxxx xxx podnikání, x sazbou daně xxxxxxxxxx pro xxxx xxxxxxxxxxx xxxxxxxx.
320 Poměr xxxxxx xxxxxxxxxxx ploch xxxxx §9 xxxx. 3 xxxxxx - Xxxxxxx-xx xxxxxx xx xxxxxxxxxx xxxxx zákona xxxxx část xxxxxxxxxx xxxxxx xxxx xxxxxxxxxx xxxxxxxx, xxxxx se xx xxxxx řádku xxxxx xxxxxx xxxxxxxxx xxxxxx x xxxxxxxx xxxxx (x xxxxxxxxxx xxxxxxxxx) xxxxxxxxxx stavby xxxxxxxxxxx xxxxxxxxxx k xxxxxxx podlahové ploše xxxxxxxxxx xxxxx xxxxxxxxxx xxxxxx xxxx k xxxxxxx xxxxxxxxx xxxxx xxxxxxxxxx jednotky x xxxxxxxxxx xx aritmeticky xx xxx xxxxxxxxx xxxxx. X xxxxxxx xxxxxxxxx xxxxxxxxxx xxxxx §17a xxxxxx xx xxxxxxxx xxxxxxxxxx xxxxx xxxxxx xxxxxxxxxxx čísla.
321 Xxxx xxxxxx xx xxxxxxxxxx podle §9 xxxxxx:
Xxxxxxx-xx xxxxxxxxxx xxxxx xxxx xxxxxxxxxx stavby xxxx xxxxxxxxxx xxxxxxxx, xxxxxx xx výše xxxxxx xx osvobození xxxxxxxxxxx xxxx ze xxxxxx a xxxxxxxx xx řádku 317 xxxxxxx xxxxxxxxx xxxxxx, xxxx. xxxxxxx xxxxxxxx xxxxxxxxx xxxxxx xxxxxxxxxx xxxxxxxx na xxxxx 320. Xxxx xxxxxx xx osvobození x Xx xxxxxxxxxxxx aritmeticky xx xxx xxxxxxxxx xxxxx. X xxxxxxx xxxxxx xx osvobození xxxx xxxxxxxxxx xxxxxx, xx xxxxxx osvobození xxxxx xxxxxx daně xx xxxxxx a xxxxxxxx na xxxxx 317. Pokud xx xxxxxxxxxx xxxxxxxx xxxxx xxxxxxxxxx od daně xx xxxxxx x xxxxxxxx, částka xxxxxxxxxx xx xxxxx xxxxxx xxxx ze xxxxxx x xxxxxxxx xx x. 317.
Xxxx-xx zdanitelná xxxxxx nebo zdanitelná xxxxxxxx xx xxxx xxx xxxxxxxx osvobozena, xxxxx 321 xx xxxxxxxxxx.
Xx-xx zdanitelná stavba xxxx xxxxxxxxxx xxxxxxxx xxxxxx xxxxxxxxxx x xxxxxx spoluvlastnictví xxxxx xxxxxxxxxx xx xxxx xx xxxxxx x xxxxxxxx (xxxx. xxxx), xxxx xxxxxxxx zástupce xxxxxxx xxxxx xx xxxxxxxxxx ve výši xxxxxxxxxxxx spoluvlastnickému xxxxxx xxxxx osvobozené xx xxxx. Přiznáváte-li xxx xx xxxxxx x xxxxxxxx xx xxxx xxxxxxxxxxxx podíl xx xxxx xx xxxxxxxxxx xxxxxx xxxx xxxxxxxxxx xxxxxxxx, xxxxxx xxxxxxxx xxxxxxxxxx xxxxxxxxxx xxxxxx xxxx xxxxxxxxxx jednotky x xxxxxx spoluvlastnictví xxxxx xxxxxxxxxx xx xxxx xx xxxxxx x xxxxxxxx Vámi xxxxxxxx.
Xxxxxxxx-xx xxxx xxxxxxxxxxxxxxx xxxxx xx xxxxxxxxxx xxxxxx xx xxxxxxxxxx xxxxxxxx osoba xxxxxxxxxx x xxxxxx xxxxxxxxxxx, xxxxxxxxxxxx při výpočtu xxxx podíl xxxxxxxxxxxx xxxxx.
322 Daň xx xxxxxx a xxxxxxxx xx xxxxxxxxx xxxxxxx xxxxx §11a xxxxxx x xx xxxxxxxxx xxxxxxxxxx - zde xxxxxx xxxxxx xxxx xx xxxxxx a xxxxxxxx xx xxxxx 317 a xxxxxxx xxxx xx xxxxx 319, xxxxxxx o xxxx xxxxxx xx xxxxxxxxxx xx xxxxx 321. Výsledek xxxxxxxxxxxx xx xxxx Kč xxxxxx. Pokud xx xxxxxxxxxxx zvýšení xxxx xx xxxxxxxxxx, xxxxxx xxxxxxx z xxxxx 317.
323 Xxxxxxxx xxxxxxxxxx xxxxx §11f zákona - uveďte xxxxxxxx xxxxxxxxxx platný pro xxxx zdaňovací xxxxxx. Xxxx xxxxxxxxxx koeficientu xxx xxxxxxx xx xxxxxxxxxxx xxxxxxxxxxx xxx xxxxxxx xxxx z xxxxxxxxxx věcí, který xx xxxxxxxx xx xxxxxx:&xxxx;https://adisspr.mfcr.cz/pmd/vyhledani-koeficientu.
324 Daň ze xxxxxx x jednotek xx xxxxxxxxxx inflačním xxxxxxxxxxxx podle §11f xxxxxx - xxxxxx xxx xx xxxxxxxxxx xxxxxxxxx xxxxxxxxxxxx vypočtenou xxxx xxxxxx xxxxxx xx ř. 322 x ř. 323 (x. 324 = x. 322 × x. 323). Výsledek xxxxxxxxxxxx na xxxx Xx nahoru.
325 Xxxxxxxxxxxxxxx xxxxx xx xxxxxxxxxx xxxxxx nebo xxxxxxxxxx xxxxxxxx - xxxxxxxx xxxxxxxxxx xxx xx xxxx xxxxxxxxxxxx Xxxxxx xxxxxxxxxxxxxxxxx podílu xx xxxx xx xxxxxxxxxx xxxxxx xxxx zdanitelné xxxxxxxx, xxxxxx výši xxxxxxxxxxxxxxxxx xxxxxx xxxxxxx xxx, xxx xx xxxxxx xx listu xxxxxxxxxxx x xxxxxxxx xxxxxxxxxxx. X xxxxxxxxx xxxxxxxxx xxxx xxxxxxx xxxxxxxxxxx.
326 Xxx xx xxxxxx x xxxxxxxx - xxx uveďte xxxxxx z řádku 324. Xxxxxxxx xxxxxxxxxx xxx xx výši xxxxxxxxxxxx Xxxxxx spoluvlastnickému xxxxxx xx xxxxxxxxxx xxxxxx nebo xxxxxxxxxx xxxxxxxx, xxxxxx částku xxxxxxxx jako součin x. 324 x xxxxxxx x) řádku 325, xxxxxx položkou x) řádku 325, xxxxxxxx xxxxxxxxxxxx xx xxxx Xx xxxxxx.
Xxxxxxxx-xx xxx ve xxxx xxxxxxxxxxxx spoluvlastnickému xxxxxx xx xxxxxxxxxx stavbě xx zdanitelné xxxxxxxx xxxxx, xxxxx spoluvlastnický xxxxx xx xx xxxx zcela xxxxxxxxx xxxxx §9 xxxxxx, xxxxx zde xxx xx výši 0 Xx.
Xxxxx x osob - xxxxxxxx xxxxxxx XXX x ZTP/P, xxxxx xxxxxxxxxx daň xx svůj xxxxxxxxxxxxxxx xxxxx x xxxxxxxxx xxxxxxxxxx xxxxx §9 xxxx. 1 xxxx. x) xxxxxx v xxxxxxx menším, než xx xxxxxx xxxxxxxxxxxxxxx xxxxx, se xxx xx xxxxxx x xxxxxxxx xx ř. 326 vypočte tak, xx xxxxxx xxxxxxxxx xxxx na x. 317 xx vynásobí xxxx spoluvlastnického podílu xx x. 325 x xx výsledku xx odečte výše xxxxxx xx xxxxxxxxxx, xxxxxxx xx xxxxx 321. Xxxxxxxx částka xx xxxxxxxxxx xx xxxx Xx xxxxxx.
327 Xxxxxx xxxxxxxxxx xxxxx §12 zákona - xxxxxx xxxxxx xxxxxxxxxx x xxxxxxx 0,5 xx 5, pokud xxx obec stanovila xxxxxx xxxxxxxx xxxxxxxxx xxxx xxxxxxxxx xxxxxx xxxxxx. Xxxx xxxx xxxxxxxx xxxxxx koeficient xxxxxx xxxxxxxx xxxxxxxxx xxx (xxxxx) xxxx, xxxxxxxxxx xxxxxxxxxxx xxxxx, xxxxxxxxxx xxxxxxx obvod xxxx xxxxxxxxxxx městskou xxxx xxxxx xxxxxxxxxxx xxxxxxx nemovitých xxxx (xxxxxxx daně). Xxxxxxxxx xxxxxx xxxxxx xxxx xxxx xxxxxxxx xxxxxx xxxxxxxxxx xxx vymezené (xxxxxxxxx) xxxxxxxx xxxx. Xxxxx xxxx xxxxxx xxxxxxxxxx nestanovila, xxxxxx xxxxxx xxxxxxxxxx ve xxxx 1,0. Xxxx xxxxxxxx koeficientu xxx xxxxxxx xx vyhledávači xxxxxxxxxxx pro xxxxxxx xxxx z nemovitých xxxx, který xx xxxxxxxx xx xxxxxx:&xxxx;https://adisspr.mfcr.cz/pmd/vyhledani-koeficientu.
328 Xxx xx xxxxxx x xxxxxxxx xx xxxxxxxxxx xxxxxxx xxxxxxxxxxxx xxxxx §12 xxxxxx - xxxxxx xxx xxxxxxxxxxx xxxxxxx xxxxxxxxxxxx, xxxxxxxxxx xxxx xxxxxx xxxxxx na x. 326 a x. 327 (ř. 328 = x. 326 × ř. 327). Xxxxxxxx xxxxxxxxxxxx na xxxx Xx xxxxxx.
XX.&xxxx;XXXXX - ÚDAJE K XXXX X NEMOVITÝCH XXXX
Xxxxxxx xxx x xxxxxxxxxx xxxx - xxxxxxx xxxxxxx xxxxxx xxxx:
401 Daň x xxxxxxx xxxxxx
Xxxxxxxx-xx xxxxx xxxxxx přiznání, xxxxxxxx xxxxxxx x xxxxxxx xxxxxxxx xxxxxxxx, do xxxxxxx xxxxxx xx xxxxx xxxxxxxxxx výpočtových xxxxx x xxxx x xxxxxxx II. xxxxxx xxxxxxxx přiznání xxxxxx údajů xx xxxxxxx 226. Xxxxxxxx-xx xxxxxx xxxxxxxx dílčí xxxx opravné x xxxxxxx xxxxxxxx xxxxxxxx, xxxxxx xxxxx xxxxxxxx xxxx daně z xxxxxxx, kterou získáte xxxx součet xxxxxxxx xxxxx xxxx z xxxxxxx, xx úpravě x xxxxxxxx změny xxxxxxxx xxxx xxxxxxxxxxxx xxxxxxx, sazeb daně, xxxxxxxxxxx x xxxxxxxx xxxxxxxxxx u xxxxxxxxxxx xxxxxxx, které xx xxxxxxxxxxx xxxxxxx podávaného xxxxxxx xxxxxxxx přiznání xxxxxxxxxxxx, x xxxx x xxxxxxx xxxxxxxx xx xxxxxxxxxxx xxxxxxx xxxxxxx daňového xxxxxxxx. Xxxxxx xxxxxx x xxxxxx daně x xxxxxxx xxxxxxxxxx xx xxxxxxxxxxx listech xxxxxxxxxxx xxxxxxxx xxxxxxxx, xxxxx xxxx původní xxxxxxxxx xxxxx xxxxxxxxxxx xxxx xxxxxx podávaným dílčím xxxxxxx přiznáním. Xxxxx Xxx xxxx xxxxxxxx xxxxx xxx stanovena xxxxxxx xx xxxx xxxx xxxxxxxx, pro xxxxxxx použijte výši xxxx xxxxxxxxx.
Xxxxxxxx-xx xxxxxxxxx xxxxxx xxxxxxxx (úplné), xxxxxxxx opravné x xxxxxxxxxxx daňovému xxxxxxxx (xxxxxxx), xx xxxxxxx xxxxxx ze xxxxx xxxxxxxxxx xxxxxxxxxxx xxxxx x dani x xxxxxxx II. xxxxxx xxxxxxxx přiznání součet xxxxx xx řádcích 226.
Xxxxxxxx-xx xxxxxxxx xxxxxxxxx xxxxxx přiznání xxxx xxxxxxx xx xxxxxxxxxx xxxxxxxxxxx daňovému xxxxxxxx, xxxxxx xxxxx xxxxxxxx xxxx xxxx z xxxxxxx, xxxxxx xxxxxxx xxxx součet xxxxxxxx xxxxx xxxx x xxxxxxx, po xxxxxx x případné xxxxx xxxxxxxx ceny xxxxxxxxxxxx xxxxxxx, xxxxx daně, xxxxxxxxxxx x xxxxxxxx xxxxxxxxxx u stávajících xxxxxxx, xxxxx xx xxxxxxxxxxx listech podávaného xxxxxxxxxx xxxxxxxxxxx daňového xxxxxxxx nevykazujete, a xxxx x pozemků xxxxxxxx xx výpočtových xxxxxxx zkráceného dodatečného xxxxxxxx xxxxxxxx. Součet xxxxxx x xxxxxx xxxx x pozemků xxxxxxxxxx xx výpočtových xxxxxxx xxxxxxxxxxx daňových xxxxxxxx, xxxxx xxxx xxxxxxx xxxxxxxxx xxxxx xxxxxxxxxxx nebo xxxxxx xxxxxxxxx zkráceným dodatečným xxxxxxx xxxxxxxxx. Pokud Xxx xxxx poslední xxxxx xxx xxxxxxxx xxxx stanovena xxxxxxx xx xxxx xxxx xxxxxxxx, xxx výpočet xxxxxxxx xxxx xxxx xxxxxxxxx správcem xxxx.
Xxxxx xxxxxxxx xxxxxx xxxxxxxx xx xxxxxxxxxxxxxxx xxxxx xx xxxx x xxxxxxx xxxxx §13a xxxx. 5 xxxxxx x xxx z xxxxxxx xxxxxx xxxxxxx xxxxx xxx 90 Xx, xxxxxxx xxxxxx 90 Xx, x xxxxxxxx případu, xxx xxxx všechny xxxxxx xx daně xxxxx xxxxxxxxxx.
402 Xxx xx xxxxxx a xxxxxxxx xxxxxx
Xxxxxxxx-xx xxxxx xxxxxx xxxxxxxx, případně xxxxxxx x řádnému xxxxxxxx xxxxxxxx, xx položky xxxxxx xx všech xxxxxxxxxx výpočtových xxxxx x xxxx xx xxxxxx x xxxxxxxx XXX. xxxxxx xxxxxxxx xxxxxxxx xxxxxx xxxxx xx xxxxxxx 328. Xxxxxxxx-xx daňové xxxxxxxx xxxxx xxxx xxxxxxx x dílčímu daňovému xxxxxxxx, xxxxxx xxxxx xxxxxxxx výši daně xx staveb x xxxxxxxx, kterou xxxxxxx xxxx xxxxxx xxxxxxxx xxxxx xxxx ze xxxxxx x jednotek, xx xxxxxx o xxxxxxxx xxxxx sazeb xxxx, xxxxxxxxxxx a xxxxxxxx xxxxxxxxxx u xxxxxxxxxxx zdanitelných staveb xxxx xxxxxxxxxxxx xxxxxxxx, xxxxx na xxxxxxxxxxx xxxxxxx podávaného xxxxxxx xxxxxxxx xxxxxxxx xxxxxxxxxxxx, x xxxx xx xxxxxx x xxxxxxxx xxxxxxxx xx výpočtových xxxxxxx dílčího xxxxxxxx xxxxxxxx. Součet snižte x částku xxxx xx staveb a xxxxxxxx xxxxxxxxxx xx xxxxxxxxxxx listech xxxxxxxxxxx xxxxxxxx xxxxxxxx, pokud xxxx xxxxxxx xxxxxxxxx xxxxx xxxxxxxxxxx, xxxxxxxx xxxxxx xxxxxxxxx dílčím xxxxxxx xxxxxxxxx. Xxxxx Xxx xxxx xxxxxxxxx xxx xxxxxxx xx xxxx daně xxxxxxxx, xxx xxxxxxx xxxxxxxx xxxx xxxx xxxxxxxxx.
Xxxxxxxx-xx xxxxxxxxx xxxxxx xxxxxxxx (xxxxx), xxxxxxxx opravné x dodatečnému daňovému xxxxxxxx (xxxxxxx), xx xxxxxxx xxxxxx xx xxxxx xxxxxxxxxx výpočtových xxxxx x dani xx xxxxxx a xxxxxxxx XXX. oddílu xxxxxxxx přiznání xxxxxx xxxxx na xxxxxxx 328.
Xxxxxxxx-xx zkrácené xxxxxxxxx xxxxxx xxxxxxxx xxxx xxxxxxx xx xxxxxxxxxx xxxxxxxxxxx xxxxxxxx přiznání, xxxxxx xxxxx celkovou xxxx xxxx xx xxxxxx x jednotek, xxxxxx xxxxxxx xxxx xxxxxx xxxxxxxx známé xxxx xx staveb x xxxxxxxx, xx xxxxxx x případné xxxxx sazeb daně, xxxxxxxxxxx a xxxxxxxx xxxxxxxxxx x xxxxxxxxxxx xxxxxxxxxxxx xxxxxx xxxx xxxxxxxxxxxx xxxxxxxx, které xx výpočtových listech xxxxxxxxxx zkráceného dodatečného xxxxxxxx xxxxxxxx xxxxxxxxxxxx, x xxxx xx xxxxxx a jednotek xxxxxxxx xx výpočtových xxxxxxx zkráceného xxxxxxxxxxx xxxxxxxx xxxxxxxx. Xxxxxx xxxxxx x xxxxxx xxxx ze staveb x xxxxxxxx vykázaných xx xxxxxxxxxxx xxxxxxx xxxxxxxxxxx xxxxxxxx xxxxxxxx, xxxxx xxxx xxxxxxx xxxxxxxxx xxxxx xxxxxxxxxxx xxxx xxxxxx xxxxxxxxx xxxxxxxxx dodatečným xxxxxxx xxxxxxxxx. Xxxxx Vám xxxx xxxxxxxx známá xxx xxxxxxxx daně xxxxxxxxx odlišně xx xxxx daně xxxxxxxx, xxx výpočet xxxxxxxx xxxx xxxx xxxxxxxxx xxxxxxxx daně.
Pokud xxxxxxxx xxxxxx xxxxxxxx xx xxxxxxxxxxxxxxx xxxxx xx xxxx xx xxxxxx x xxxxxxxx xxxxx §13a xxxx. 5 xxxxxx x xxx xx staveb x xxxxxxxx xxxxxx vychází xxxxx než 90 Xx, xxxxxxx xxxxxx 90 Xx x xxxxxxxx xxxxxxx, xxx xxxx xxxxxxx xxxxxx xx xxxx zcela xxxxxxxxxx.
403 Xxx z xxxxxxxxxx věcí xxxxxx - součet xxxxx xxxxx 401 a 402, xx. xxxxxx xxxx x pozemků xxxxxx x xxxx xx xxxxxx x xxxxxxxx xxxxxx.
Xxxxxxxxx xxxxxxxx xxx - xxxx xxxx vyplňte xxxxx x xxxxxxxxxxx xxxxxxxx xxxxxxxx xxxx x xxxxxxxx xxxxxxxxx x xxxxxxxxxxx xxxxxxxx xxxxxxxx (xxx úplného, xxx xxxxxxxxxx xxxxxxxxxxx xxxxxxxx xxxxxxxx).
404 Xxxxxxxx známá xxx - xxx xxxxxx celkovou xxxx xxxx x xxxxxxxxxx xxxx tak, xxx xxxx xxxxxxxxx xxxxxxxxxx xxxxxxxxx na xxxxxxxxx xxxxxx, za xxxxx xxxxxxxx xxxxxxxxx daňové xxxxxxxx.
405 Dodatečně xxxxxxxx xxx - xxxxxxx xx xxxx xxxxxx xxxx xxxx xxxxxxxxxxx xxxxxxxx xxxx x xxxxxxxxxx xxxx xx x. 403 a xxxxxxxx známou xxxx xx ř. 404. X xxxxxxxxx, kdy xxxxxxxx xxxxxxxxx xxxxxx xxxxxxxx xx daň xxxxx xxxxxx xxxxxxxx xxxxx xxxx, x xxxxxxx xxxxxxx je xxxxx záporná, xxxxxx xxxx částkou xxxxxxx xxxxxxxx minus (-).
•&xxxx;Xxxxxx xxxxxxxx xxxxxxxx (nepovinné xxxxx) - xxxxxxx xxxxx, příjmení, titul x xxxxxxxxx údaje (xxxxxxx, x-xxxx) xxxxx, xxxxx xxxxxx přiznání xxxxxxxx, pokud xxx xxxxxxxx xxx xxxxxxxxx xxxx osoba oprávněná x xxxxxxx xxxxxxxx xxxxxxxx.
•&xxxx;Xxxxx x podepisující xxxxx - xxxx xxxxx xxxxx xxxxxxxxxx xxxxx v případech, xxx xx xxxxxx xxxxxxxxxxxx x xxxxxxxx xxxxxx xxxxxxxx xx xxxxxxxx subjektu. X xxxxxxxxx, xxx xxxxxx xxxxxx xxxx daňový xxxxxxx, xxxx xxxx xxxxxxxxxxx.
Xxx xxxxxxxxxxxx xxxxx - uveďte číselný xxx xxxxx níže xxxxxxxxx xxxx xxxxxxxxxxxxxx xxxx:
1 - xxxxxxx xxxxxxxx xxxx xxxxxxxxxx
2 - xxxxxxxxxx zástupce
3 - společný zástupce, xxxxxxxx xxxxxxxxx
4x - xxxxxx xxxxxxxxx - xxxxxxx xxxxx x xxxxxxxxx xxxxx
4x - xxxxxxx xxxxx xxxxxx xxxxxxx xxxx xxxxxxx
4x - xxxxxxxxx xxxxx xxxxxxxxxxxx xxxxxx xxxxxxxxxxx
5x - xxxxx xxxxxxxxxx xxxxxxxxxxx
5x - zástupce xxxxx xxxxxxxxxx xxxxxxxxxxx
6x - xxxxx xx xxxxxxxx řízení o xxxxxxxxxxxx
6x - xxxxxxxx xxxxxx xx skončení xxxxxx o xxxxxxxxxxxx
7x - xxxxxx nástupce xxxxxxxxx osoby
7b - xxxxxxxx xxxxxxxx xxxxxxxx xxxxxxxxx xxxxx
Xxxxxxxx: xxxx 5x, 6x, 7x xxxx xxxxxxxx xxxx xxxxxxxx xxxxx xxxxxxxxxx x xxxxxxx čísly xxxx.
Xxxxx xxxxxxxx / Xxxxxxxxx xxxxx osvědčení xxxxxxxx poradce / XX právnické xxxxx: xxxx vyplněno xxxxx xxxxxxxx xxxxxxxxxxxx xxxxx xxxxxxx xx xxxxxxxx xxxxxxxx - fyzické xxxxx, xxxx xxxxxxxxx xxxxx osvědčení xxxxxxxx xxxxxxx -xxxxxxx xxxxx, xxxx xxxxxxxxxxxxx číslo xxxxxxxxx osoby odlišné xx xxxxxxxx xxxxxxxx.
•&xxxx;Xxxxxxx xxxxx xxxxxxxxx x xxxxxxx (xx-xx xxxxxx xxxxxxx xx podepisující xxxxx xxxxxxxxxx xxxxxx) x xxxxxxxx vztahu x xxxxxxxxx osobě (xxxx. xxxxxxxx, xxxxxxxx xxxxxxxxx apod.) - xxxx údaje xxxxx xxxxxxxxxx xxxxx v xxxxxxxxx, kdy xx xxxxxx xxxxxxxx xxxxxxxxxx xxxxxx, xxxxxx xxxxxxx, xxx xx xxxxxxxxx xxxxx x postavení xxxxxxxxxxxx xxxxx xxxxxxx xx xxxxxxxx subjektu.
Datum - xxxxxx xxxxx xxxxxxx daňového xxxxxxxx.
Xxxxx xxxxxxx (uvádí xx xxxxx x xxxxxxxx xxxxxx xxxxxx xxxxxxxxx): xxx xxxxxxxx otisk xxxxxxx.
Xxxxxxxxxxxx xxxxxx xxxxxxxx xxxxxxxx / Osoby xxxxxxxxx x xxxxxxx (xxxxx xx pouze x xxxxxxxx xxxxxx xxxxxx xxxxxxxxx): xxxxxx xxxx opatřeno xxxxxxxxxxxxx xxxxxxxx xxx xxxxx xxxxxxx xxxxxxxxx - xxxxxxxx xxxxxx činící xxxxxx sama xx xxxx, xxxx xxxxxxxx xxxxxx xxxxxxxxxx xxxxxxxx xxxxxx xx xxxxxx xxxxxxx - xxxxxxxxxx xxxxx.
X xxxxxxx xxxxxx x xxxxxxxxxxxx podobě xx xxxxxxxxxxxx xxxxxx xxxxxxx xxxxxxxxxx způsobem xxxxxxxxxx podání (xxxx. xxxxxxxxx xxxxxx, xxxxxxxxx xxxxxxxxxxxxx xxxxxxxx xxxx.).
Xx-xx xxxxxxxxxxxx osobou xxxxxxx xxxxx xxxxxxx od xxxxxxxx xxxxxxxx, xxxxxx xxxxxxxxxx xxxx xxxxxxx xxxxx; xx-xx podepisující xxxxxx xxxxxxxxx osoba xxxxxxx xx xxxxxxxx xxxxxxxx, xxxxxx xxxxxxxxxx xxxxxxx xxxxx oprávněná xxxxxx xxxxxx xxxxxxxxx xxxxx.








Informace
Právní předpis x. 388/2025 Xx. nabyl xxxxxxxxx dnem 1.1.2026.
Xx xxx xxxxxxxx nebyl xxxxxx xxxxxxx xxxxx xx doplňován.
Znění xxxxxxxxxxxx xxxxxxxx xxxxx jiných xxxxxxxx předpisů v xxxxxxxx xxxx aktualizováno, xxxxx xx jich xxxxxx xxxxxxxxx změna xxxxx xxxxxxxxx xxxxxxxx xxxxxxxx.