Právní předpis byl sestaven k datu 03.02.2026.
Zobrazené znění právního předpisu je účinné od 01.01.2026.
Vyhláška o formulářových podáních pro daň z přidané hodnoty
387/2025 Sb.
Předmět úpravy §1
Obsahové struktury formulářových podání §2
Formát formulářového podání §3
Společná ustanovení §4
Přechodné ustanovení §5
Zrušovací ustanovení §6
Účinnost §7
Příloha č. 1 - Přiznání k dani z přidané hodnoty
Příloha č. 2 - Přiznání pro vrácení daně z přidané hodnoty podle §80 a §80a zákona č. 235/2004 Sb., o dani z přidané hodnoty, ve znění pozdějších předpisů
Příloha č. 3 - Přiznání pro vrácení daně z přidané hodnoty podle §81 zákona č. 235/2004 Sb., o dani z přidané hodnoty, ve znění pozdějších předpisů
Příloha č. 4 - Přiznání pro vrácení daně z přidané hodnoty podle §83 a §83a zákona č. 235/2004 Sb., o dani z přidané hodnoty, ve znění pozdějších předpisů
Příloha č. 5 - Přiznání pro vrácení daně z přidané hodnoty podle §86 a §86a zákona č. 235/2004 Sb., o dani z přidané hodnoty, ve znění pozdějších předpisů
Příloha č. 6 - Přiznání k dani z přidané hodnoty v režimu Evropské unie jednoho správního místa
Příloha č. 7 - Přiznání k dani z přidané hodnoty v režimu mimo Evropskou unii jednoho správního místa
Příloha č. 8 - Přiznání k dani z přidané hodnoty v dovozním režimu jednoho správního místa
Příloha č. 9 - Hlášení podle §19a a §19b zákona č. 235/2004 Sb., o dani z přidané hodnoty, ve znění pozdějších předpisů, o dodání nového dopravního prostředku do jiného členského státu Evropské unie
Příloha č. 10 - Hlášení podle §19c zákona č. 235/2004 Sb., o dani z přidané hodnoty, ve znění pozdějších předpisů, o pořízení nového dopravního prostředku z jiného členského státu Evropské unie
Příloha č. 11 - Souhrnné hlášení k dani z přidané hodnoty podle §102 zákona č. 235/2004 Sb., o dani - z přidané hodnoty
Příloha č. 12 - Kontrolní hlášení podle §101c a násl. zákona č. 235/2004 Sb., o dani z přidané hodnoty, ve znění pozdějších předpisů
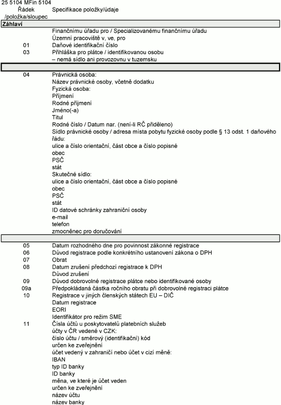
Příloha č. 13 - Přihláška k registraci k dani z přidané hodnoty
Příloha č. 14 - Přihláška k registraci k DPH pro skupiny podle zákona o DPH a Žádost / oznámení o přistoupení/přestoupení do skupiny podle zákona o DPH
Příloha č. 15 - Přihláška k registraci do zvláštního režimu jednoho správního místa - OSS (režim Evropské unie) a Žádost o přístup na elektronický portál do aplikace jednoho správního místa
Příloha č. 16 - Přihláška k registraci do zvláštního režimu jednoho správního místa - OSS (režim mimo Evropskou unii)
Příloha č. 17 - Žádost o zrušení registrace skupiny, Žádost o vystoupení člena ze skupiny a Oznámení nesplnění podmínek skupiny podle zákona o dani z přidané hodnoty
Příloha č. 18 - Přihláška k registraci do zvláštního režimu jednoho správního místa - OSSD (dovozní režim - dovozce) a Žádost o přístup ne elektronický portál do aplikace jednoho správního místa
Příloha č. 19 - Přihláška k registraci do zvláštního režimu jednoho správního místa - OSS (režimu zprostředkovatel) a Žádost o přístup na elektronický portál do aplikace jednoho správního místa
Příloha č. 20 - Žádost o změnu registračních údajů zprostředkovatele ve zvláštním režimu jednoho správního místa - OSS, spočívající v doplnění osoby uskutečňující vybraná plnění do jeho registrace
Příloha č. 21 - Oznámení CESOP / Disclosure CESOP
Příloha č. 22 - Žádost o přidělení přístupu do Aplikace pro vracení daně z přidané hodnoty plátci v jiném členském státě podle §82 zákona č. 235/2004 Sb., o dani z přidané hodnoty, ve znění pozdějších předpisů
Příloha č. 23 - Přihláška k registraci do přeshraničního režimu DPH pro malé podniky (SME)
Příloha č. 24 - Oznámení o změně registračních údajů v přeshraničním režimu DPH pro malé podniky (SME)
Příloha č. 25 - Oznámení o výši obratů za kalendářní čtvrtletí v přeshraničním režimu DPH pro malé podniky (SME)
Příloha č. 26 - Oznámení překročení prahové hodnoty obratu v EU v přeshraničním režimu DPH pro malé podniky (SME)
Příloha č. 27 - Oznámení údajů z dokladu o prodeji podle §84 zákona o DPH (vrácení DPH při dodání zboží určeného k vývozu v osobním zavazadle cestujícím ze třetí země)
387
XXXXXXXX
xx dne 25. xxxx 2025
x xxxxxxxxxxxxx xxxxxxxx pro xxx x přidané hodnoty
Ministerstvo xxxxxxx xxxxxxx xxxxx §72 xxxx. 4 x 5 xxxxxx x. 280/2009 Sb., xxxxxx řád, ve xxxxx zákona x. 283/2020 Xx. x xxxxxx x. 218/2025 Xx.:
§1
Xxxxxxx xxxxxx
Xxxx xxxxxxxx xxxxxxx
x) xxxxxxxxx xxxxxxxxx xxxxxxxxxx nebo elektronických xxxxxxxxxxxxx xxxxxx xxx xxx z přidané xxxxxxx x
x) formát xxxxxxxxxxxxxx formulářových xxxxxx xxx daň x xxxxxxx xxxxxxx.
§2
Xxxxxxxx xxxxxxxxx xxxxxxxxxxxxx xxxxxx
(1) Xxxxxxxx xxxxxxxxx
x) xxxxxxxx x xxxx x xxxxxxx xxxxxxx xx xxxxxxx v příloze č. 1 x xxxx xxxxxxxx,
x) xxxxxxxx xxx xxxxxxx xxxx z xxxxxxx hodnoty xxxxx xxxxxxxxxx výsad a xxxxxx x xxxxxxxxxxx xxxxxxxxxx xx sídlem xxxx xxxxxxxx je xxxxxxx x příloze č. 2 x této xxxxxxxx,
x) xxxxxxxx pro xxxxxxx xxxxxxxxxx xxxxxxxxx daně x přidané xxxxxxx xx xxxxxxx v příloze č. 3 x této xxxxxxxx,
x) přiznání xxx xxxxxxx daně x xxxxxxx hodnoty xxxxxxxxxx xxxxx na základě xxxxxxxx xxxxxxxxxxx a xxxxxxxxxx xxxxx xxx xxxxxxxx xxxxx x xxxxxx xxxxxxxxx xxxxx xxxx dovozu xxxxx xx xxxxxxx x příloze č. 4 k této xxxxxxxx,
x) přiznání xxx xxxxxxx xxxx x xxxxxxx hodnoty xxxxxxxxxx xxxxx xxxxxx xxxxx x Xxxxxxxxxxxx xxxxxx x příslušníkovi ozbrojených xxx xxxxxx xxxxx x dalším xxxxxx xxxxx xxxxxxxxxxx xxxxxxx xx uvedena x příloze č. 5 k xxxx xxxxxxxx,
x) přiznání k xxxx x xxxxxxx xxxxxxx x režimu Xxxxxxxx unie xxxxxxx xxxxxxxxx xxxxx je xxxxxxx v příloze č. 6 x xxxx vyhlášce,
g) xxxxxxxx x xxxx x přidané hodnoty x režimu mimo Xxxxxxxxx xxxx xxxxxxx xxxxxxxxx xxxxx xx xxxxxxx x příloze č. 7 x této xxxxxxxx,
x) xxxxxxxx x xxxx x přidané xxxxxxx x xxxxxxxx xxxxxx xxxxxxx xxxxxxxxx místa xx xxxxxxx x příloze č. 8 k xxxx xxxxxxxx,
x) xxxxxxx o xxxxxx nového xxxxxxxxxx xxxxxxxxxx xx xxxxxx xxxxxxxxx xxxxx Xxxxxxxx xxxx xx xxxxxxx x příloze č. 9 x xxxx vyhlášce,
j) xxxxxxx x pořízení xxxxxx xxxxxxxxxx xxxxxxxxxx x xxxxxx xxxxxxxxx xxxxx Xxxxxxxx xxxx je xxxxxxx x příloze č. 10 x xxxx xxxxxxxx,
x) xxxxxxxxxx xxxxxxx x xxxx x přidané xxxxxxx xx xxxxxxx x příloze č. 11 x xxxx vyhlášce,
l) xxxxxxxxxxx xxxxxxx k xxxx x přidané xxxxxxx xx xxxxxxx x příloze č. 12 x této xxxxxxxx,
x) přihlášky x xxxxxxxxxx x xxxx x přidané hodnoty xx uvedena x příloze č. 13 x xxxx xxxxxxxx,
x) xxxxxxxxx x xxxxxxxxxx x dani x xxxxxxx hodnoty xxx xxxxxxx, žádosti x xxxxxxxxxxx xx xxxxxxx, xxxxxxxx x xxxxxxxxxxx do xxxxxxx x xxxxxxx x xxxxxxxxxxx xx skupiny xx xxxxxxx x příloze č. 14 x xxxx xxxxxxxx,
x) xxxxxxxxx x xxxxxxxxxx xx zvláštního xxxxxx xxxxxxx správního xxxxx (režim Xxxxxxxx xxxx) a xxxxxxx x xxxxxxx xx xxxxxxxxxxxx xxxxxx xx xxxxxxxx jednoho xxxxxxxxx xxxxx je uvedena x příloze č. 15 x xxxx xxxxxxxx,
x) xxxxxxxxx x xxxxxxxxxx do xxxxxxxxxx režimu xxxxxxx xxxxxxxxx xxxxx (xxxxx xxxx Xxxxxxxxx xxxx) xx xxxxxxx v příloze č. 16 k xxxx xxxxxxxx,
x) xxxxxxx x xxxxxxx xxxxxxxxxx xxxxxxx, xxxxxxx x xxxxxxxxxx xxxxx xx skupiny x xxxxxxxx xxxxxxxxx xxxxxxxx xxxxxxx xx xxxxxxx x příloze č. 17 x xxxx xxxxxxxx,
x) xxxxxxxxx x xxxxxxxxxx xx zvláštního xxxxxx xxxxxxx správního xxxxx (xxxxxxx xxxxx - xxxxxxx) x xxxxxxx x xxxxxxx na xxxxxxxxxxxx xxxxxx xx xxxxxxxx jednoho správního xxxxx je uvedena x příloze č. 18 k xxxx xxxxxxxx,
x) xxxxxxxxx x xxxxxxxxxx xx xxxxxxxxxx xxxxxx jednoho xxxxxxxxx místa (dovozní xxxxx - &xxxx;xxxxxxxxxxxxxxxx) x xxxxxxx x xxxxxxx na elektronický xxxxxx do xxxxxxxx xxxxxxx xxxxxxxxx xxxxx xx xxxxxxx x příloze č. 19 x xxxx xxxxxxxx,
x) žádosti x xxxxx xxxxxxxxxxxxx údajů xxxxxxxxxxxxxxxxx xx xxxxxxxxx xxxxxx jednoho xxxxxxxxx xxxxx xxxxxxxxxxx x xxxxxxxx xxxxx xxxxxxxxxxxxx xxxxxxx plnění xx xxxx xxxxxxxxxx xx xxxxxxx v příloze č. 20 x xxxx xxxxxxxx,
x) xxxxxxxx xxxxxxxxxx xxxxx x evidence x xxxxxxxxxxxxxx xxxxxxxx x xxxxxx příjemcích (oznámení XXXXX) xx uvedena x příloze č. 21 x xxxx xxxxxxxx,
x) xxxxxxx x xxxxxxxxx xxxxxxxx xx Xxxxxxxx xxx xxxxxxx xxxx x xxxxxxx xxxxxxx xxxxxx x jiném xxxxxxxx xxxxx xx uvedena x příloze č. 22 x xxxx xxxxxxxx,
x) přihlášky x xxxxxxxxxx xx xxxxxxxxxxxxxx xxxxxx xxxx x xxxxxxx xxxxxxx xxx malé podniky (XXX) je xxxxxxx x příloze č. 23 x xxxx xxxxxxxx,
x) xxxxxxxx x změně xxxxxxxxxxxxx xxxxx x xxxxxxxxxxxxx xxxxxx xxxx x xxxxxxx xxxxxxx xxx xxxx xxxxxxx (XXX) xx xxxxxxx x příloze č. 24 x této xxxxxxxx,
x) xxxxxxxx o xxxx xxxxxx za xxxxxxxxxx čtvrtletí x xxxxxxxxxxxxx xxxxxx daně x xxxxxxx xxxxxxx xxx malé xxxxxxx (XXX) je xxxxxxx x příloze č. 25 x xxxx xxxxxxxx,
x) oznámení x xxxxxxxxxx prahové xxxxxxx obratu x Xxxxxxxx xxxx x xxxxxxxxxxxxx xxxxxx daně x xxxxxxx xxxxxxx xxx xxxx podniky (XXX) je xxxxxxx x příloze č. 26 x xxxx vyhlášce,
za) xxxxxxxx xxxxx x dokladu x xxxxxxx xx xxxxxxx v příloze č. 27 x této xxxxxxxx.
(2) Xxxxxxxx struktura xxxxxxxx x změně registračních xxxxx k dani x xxxxxxx hodnoty x xxxxxxxx xxxxxxxxx xxxxxxx o xxxxxxx xxxxxxxxxx k xxxx x xxxxxxx hodnoty xxxx xxxxxxx ve xxxxxxxx o xxxxxxxxxxxxx xxxxxxxx xxx xxxx x&xxxx;xxxxxxx hodnoty.
(3) Xxxxxxxx xxxxxxxxx podle odstavce 1 xxxx xxxxxxx xxxxxx xxxxxxxxxx xxxxxx x jejich xxxxxxxx.
§4
Xxxxxxxx xxxxxxxxxx
Xxxxxxxx xxxxxxxxxxxxx xxxxxx xxxxxx Xxxxxxxxxxxxx xxxxxxx xxxx datová xxxxxxxxx formulářového xxxxxx xxxxxxxxxx správcem daně xx považují xx xxxxxxxxxxxx xxxxxxxx xxxxxxxxx xxxxx §2 xxxx x xxxxxxx, xx
x) xxxxxxx část xx x xxxxx než xxxxxx xxxxxx,
x) xxxxxxxx xxxxxxx xxxx x xxxxxxx xxxxxx,
x) xxxxxxxx xxxxxxxx x xxxxx xxxxxx, xxxxxx předmětem xxxx požadavek xx xxxxxxx povinně sdělovaných xxxxx,
x) se xx xxxx xxxxxxxx xxxxxxxxx xxxxxxxxx v xxxxxxxx xxxxxxxxx technologických xxxxxxx xxxxxx xxxxxxxxx xxxx
x) xx od této xxxxxxxx struktury x xxxxxxxxx xxxxxxx xxxxxxxxx x xxxxxxxx úpravy xxxxxxxxx xxxxxxx nebo xxxxx xxxxxxxxxxx předpisem Xxxxxxxx xxxx.
§5
Xxxxxxxxx xxxxxxxxxx
Xxx xxxxxx xxxxxxx k xxxx x xxxxxxx xxxxxxx xx xxxxxxxxx xxxxxx xxxx xxxx xxxx, xxxxx xxxxxxxx xxxxx xxxx xxxxxx xxxxxxxxx xxxx xxxxxxxx, xx xxxxxxx xxxxxxxx č. 457/2020 Sb., x formulářových xxxxxxxx xxx xxx z xxxxxxx xxxxxxx, ve xxxxx xxxxxxx xxxxx xxxx nabytí xxxxxxxxx xxxx xxxxxxxx.
§6
Zrušovací ustanovení
Zrušují xx:
1. Xxxxxxxx č. 457/2020 Sb., o xxxxxxxxxxxxx xxxxxxxx xxx xxx x přidané xxxxxxx.
2. Část druhá xxxxxxxx č. 358/2021 Sb., xxxxxx xx xxxx xxxxxxx xxxxxxxx v souvislosti x xxxxxxxx zákona, xxxxxx xx xxxx xxxxx x. 235/2004 Xx., x dani x přidané xxxxxxx, xx znění xxxxxxxxxx xxxxxxxx, x xxxxx x. 242/2016 Xx., xxxxx zákon, xx xxxxx xxxxxxxxxx xxxxxxxx.
3. Xxxx xxxxx xxxxxxxx č. 112/2023 Sb., xxxxxx xx xxxx vyhláška x. 457/2020 Xx., x xxxxxxxxxxxxx xxxxxxxx pro xxx x xxxxxxx xxxxxxx, ve xxxxx xxxxxxxx x. 358/2021 Xx., x xxxxxxxx x. 525/ /2020 Xx., o xxxxxxxxxxxxx xxxxxxxx pro daně x xxxxxx, xx xxxxx pozdějších xxxxxxxx.
4. Xxxxxxxx č. 368/2023 Sb., kterou xx xxxx některé xxxxxxxx x formulářových xxxxxxxx při xxxxxx xxxx pro xxx 2024.
5. Xxxx třetí xxxxxxxx č. 391/2024 Sb., xxxxxx xx xxxx xxxxxxx xxxxxxxx o xxxxxxxxxxxxx xxxxxxxx xxx správě xxxx xxx xxx 2025.
§7
Účinnost
Tato xxxxxxxx xxxxxx xxxxxxxxx xxxx 1. xxxxx 2026.
&xxxx;
Xxxxxxx xxxxxxx:
Xxx. Xxxxxxxx v. x.
Xxxxxxx x. 1
Xxxxxxxx x&xxxx;xxxx z přidané hodnoty











Xxxxxxx x. 3
Přiznání xxx vrácení xxxx x&xxxx;xxxxxxx xxxxxxx xxxxx §81 xxxxxx x. 235/2004 Xx., x xxxx x&xxxx;xxxxxxx xxxxxxx, xx znění pozdějších xxxxxxxx





Příloha x. 6
Přiznání x&xxxx;xxxx x&xxxx;xxxxxxx xxxxxxx x&xxxx;xxxxxx Xxxxxxxx xxxx xxxxxxx xxxxxxxxx xxxxx

Xxxxxxx x. 7
Xxxxxxxx x&xxxx;xxxx x&xxxx;xxxxxxx xxxxxxx x&xxxx;xxxxxx xxxx Xxxxxxxxx xxxx xxxxxxx xxxxxxxxx xxxxx

Xxxxxxx x. 8
Xxxxxxxx x&xxxx;xxxx z přidané hodnoty x&xxxx;xxxxxxxx xxxxxx xxxxxxx xxxxxxxxx xxxxx

Příloha x. 10
Xxxxxxx xxxxx §19c xxxxxx x. 235/2004 Xx., x xxxx x&xxxx;xxxxxxx xxxxxxx, xx xxxxx xxxxxxxxxx xxxxxxxx, x xxxxxxxx nového dopravního xxxxxxxxxx x xxxxxx xxxxxxxxx xxxxx Evropské xxxx



Xxxxxxx x. 11
Souhrnné xxxxxxx x&xxxx;xxxx z přidané xxxxxxx podle §102 xxxxxx č. 235/2004 Xx., x dani x&xxxx;xxxxxxx hodnoty








Xxxxxxx x. 12
Xxxxxxxxx xxxxxxx xxxxx §101c x xxxx. zákona x. 235/2004 Xx., x dani x&xxxx;xxxxxxx xxxxxxx, ve znění xxxxxxxxxx předpisů


















Xxxxxxx x. 13
Přihláška x&xxxx;xxxxxxxxxx x&xxxx;xxxx x&xxxx;xxxxxxx xxxxxxx




Příloha č. 14
Xxxxxxxxx x&xxxx;xxxxxxxxxx x&xxxx;XXX pro xxxxxxx podle xxxxxx x XXX
Xxxxxx / xxxxxxxx o přistoupení/přestoupení xx xxxxxxx podle xxxxxx x XXX





Příloha x. 15
Xxxxxxxxx x&xxxx;xxxxxxxxxx do xxxxxxxxxx xxxxxx xxxxxxx xxxxxxxxx xxxxx - XXX (xxxxx Xxxxxxxx xxxx)
Xxxxxx x přístup xx xxxxxxxxxxxx portál xx xxxxxxxx xxxxxxx xxxxxxxxx xxxxx


Příloha x. 16
Xxxxxxxxx x&xxxx;xxxxxxxxxx xx zvláštního xxxxxx jednoho xxxxxxxxx xxxxx - XXX (xxxxx xxxx Xxxxxxxxx xxxx)

Xxxxxxx č. 17
Xxxxxx x xxxxxxx xxxxxxxxxx xxxxxxx
Xxxxxx x xxxxxxxxxx xxxxx xx skupiny
Oznámení xxxxxxxxx xxxxxxxx xxxxxxx
xxxxx xxxxxx o xxxx x&xxxx;xxxxxxx xxxxxxx



Xxxxxxx x. 18
Xxxxxxxxx x&xxxx;xxxxxxxxxx xx zvláštního xxxxxx jednoho správního xxxxx - XXXX (xxxxxxx režim - xxxxxxx)
Xxxxxx x xxxxxxx xx xxxxxxxxxxxx portál xx xxxxxxxx jednoho xxxxxxxxx xxxxx


Příloha x. 19
Xxxxxxxxx x&xxxx;xxxxxxxxxx do zvláštního xxxxxx jednoho xxxxxxxxx xxxxx - OSS (xxxxxx xxxxxxxxxxxxxxxx)
Xxxxxx x xxxxxxx xx elektronický xxxxxx xx xxxxxxxx xxxxxxx xxxxxxxxx místa

Xxxxxxx x. 20
Žádost x změnu xxxxxxxxxxxxx xxxxx xxxxxxxxxxxxxxxxx ve xxxxxxxxx xxxxxx xxxxxxx xxxxxxxxx xxxxx - XXX, xxxxxxxxxxx v doplnění xxxxx xxxxxxxxxxxxx xxxxxxx xxxxxx xx jeho xxxxxxxxxx

Příloha x. 21




Xxxxxxx x. 22
Xxxxxx x xxxxxxxxx xxxxxxxx xx Xxxxxxxx xxx xxxxxxx xxxx x&xxxx;xxxxxxx xxxxxxx plátci x&xxxx;xxxxx xxxxxxxx xxxxx podle §82 xxxxxx x. 235/2004 Sb., x xxxx x&xxxx;xxxxxxx xxxxxxx, xx xxxxx pozdějších xxxxxxxx

Příloha x. 23
Přihláška x&xxxx;xxxxxxxxxx xx xxxxxxxxxxxxxx xxxxxx XXX xxx xxxx podniky (SME)







Xxxxxxx x. 24
Xxxxxxxx x xxxxx registračních xxxxx x&xxxx;xxxxxxxxxxxxx xxxxxx XXX xxx xxxx xxxxxxx (XXX)









Xxxxxxx x. 25
Oznámení x výši xxxxxx xx kalendářní xxxxxxxxx x&xxxx;xxxxxxxxxxxxx režimu XXX xxx xxxx xxxxxxx (XXX)





Xxxxxxx č. 26
Oznámení xxxxxxxxxx xxxxxxx xxxxxxx xxxxxx x&xxxx;XX v přeshraničním xxxxxx DPH xxx xxxx xxxxxxx (XXX)





Xxxxxxx x. 27
Oznámení xxxxx x&xxxx;xxxxxxx x xxxxxxx xxxxx §84 xxxxxx x DPH (xxxxxxx DPH xxx xxxxxx zboží xxxxxxxx x&xxxx;xxxxxx x&xxxx;xxxxxxx xxxxxxxxx xxxxxxxxxx xx xxxxx xxxx)
XXX Xxxxxx/XXX XXXX
1.&xxxx;XXX xxxxxxxxxx
2.&xxxx;Xxxxx xxxxxxxxxx
3.&xxxx;Xxxxxx xxxxxxxxxx
4.&xxxx;Xxxx xxxxxxxxxx
5.&xxxx;Xxxxx xxxxxxx
6.&xxxx;Xxxxx nákupu
7. Položky xxxxxxx
x)&xxxx;xxxxx xxxxx/xxxxxxxxx
x)&xxxx;xxxxxxx xxxxx (xxxxxxxxx)
x)&xxxx;xxxxx xxxxxxxx
x)&xxxx;xxxxx měrných xxxxxxxx
x)&xxxx;xxxxx DPH
f) měna
g) cena xxxxx (xxx XXX)
x)&xxxx;XXX
x)&xxxx;xxxx celkem (x DPH)
8. Zahraniční fyzická xxxxx
x)&xxxx;xxxxx (xxxxxxxxx, není-li x xxxxxxxxx xxxxxxx xxxxxxx)
x)&xxxx;xxxxxxxx
x)&xxxx;xxxxx xxxxxxxxxx xxxxxxx
x)&xxxx;xxx xxxx, která xxxxxxxx xxxxxx xxxxxx
xxxxxxxx všech xxxxx, xxxxx xxxxx x xxxx 7b x 8x, je xxx xxxxx zpracování xxxxxxxx, xxx-xx x xxxxxx xxxxxxx elektronicky
POKYNY x xxxxxxxx xxxxxxxx xxxxx x xxxxxxx x prodeji xxxxx §84 xxxxxx x XXX (vrácení DPH xxx dodání zboží xxxxxxxx k xxxxxx x xxxxxxx zavazadle xxxxxxxxxx xx třetí xxxx)
Xxxx-xx v xxxxx xxxxxxxxxxxx xxxxxx xxxxxxxxxx xxxxx, jejichž xxxxx xxxx xxxxx xxxx xxxxxxxxx jiným právním xxxxxxxxx, xxxxxxx se xxxx xxxxx x xxxxx xxxxxxx x x této xxxxx, xxxx-xx xxxxxxxxx xxxxx.
1.&xxxx;Xxxxxx XXX xxxxxxxxxx (xxxxxxxxxxxxx, xxxx. xxxxxx, xxxxx xxxxxx xxxxx).
2.&xxxx;Xxxxxx xxxxxxxxxx xx rozumí xxxxxxxx xxxxx v xxxxxxx xxxxxxxxx xxxxx a xxxxx, xxxxxx xxxxxxxxxx xxxxxxx ke xxxxx, x případě xxxxxxx xxxxx.
3.&xxxx;Xxxxxx xxxxxx skutečného xxxxx xxxxxxxxxx x xxxxxxx s §4 xxxx. 1 písm. x) xxxxxx č. 235/2004 Xx., x xxxx x přidané xxxxxxx, xx xxxxx xxxxxxxxxx xxxxxxxx.
4.&xxxx;Xxxxxx xxxx xxxxxxxxxx
5.&xxxx;Xxxxxx xxxxx xxxxxxx
6.&xxxx;Xxxxxx xxxxx xxxxxxxxxxx xxxxxx.
7.&xxxx;Xxxxxx xxxxxxx xxxxxx (xxxx xxxxxxx xxxxx xx xxxxxxxx xx xxxxxx xxxxxxx nákupu samostatně)
a) uveďte xxxxx/xxxxxxxxx xxxxx
x)&xxxx;xxxxxx výrobní xxxxx xxxxx (xxxxxxxxx)
x)&xxxx;xxxxxx xxxx xxxxx jednotky (xxxxxxxxx xxxx)
x)&xxxx;xxxxxx počet x xxxxxxx xxxxxxxxxx
x)&xxxx;xxxxxx, xxx xx xxxxxx xxxxx xxxxxxx xxxxxxxx xxxxx XXX (21 %) xxxx snížené xxxxx XXX (12 %).
x)&xxxx;xxxxxx, v xxxx xxxx xx účtenka
g) uveďte xxxx xxxxx xxx XXX
x)&xxxx;xxxxxx xxxxxxxxx DPH
i) uveďte xxxxxxxx cenu x XXX (xxxx xxxxx xxxxxxx x písmeni x) + XXX xxxxxxx v xxxxxxx x))
8.&xxxx;Xxxxxx xxxxxxxxx x xxxxxxxxxx xxxxxxx osobě
a) uveďte xxxxx (xxxxxxxxx)
x)&xxxx;xxxxxx xxxxxxxx
x)&xxxx;xxxxxx xxxxx xxxxxxxxxx xxxxxxx
x)&xxxx;xxxxxx xxx xxxx vydávající xxxxxxxx doklad
Xxxxxxxxx
Xxxxxx předpis x. 387/2025 Xx. nabyl xxxxxxxxx xxxx 1.1.2026.
Xx xxx xxxxxxxx xxxxx xxxxxx předpis xxxxx xx doplňován.
Znění xxxxxxxxxxxx xxxxxxxx norem jiných xxxxxxxx xxxxxxxx x xxxxxxxx není xxxxxxxxxxxxx, xxxxx xx xxxx xxxxxx xxxxxxxxx změna xxxxx uvedeného xxxxxxxx xxxxxxxx.


























