Právní předpis byl sestaven k datu 01.01.2026.
Zobrazené znění právního předpisu je účinné od 01.01.2026.
Vyhláška o formulářových podáních pro daně z příjmů
386/2025 Sb.
Předmět úpravy §1
Obsahové struktury formulářových podání §2
Formát formulářového podání §3
Společná ustanovení §4
Přechodná ustanovení §5
Zrušovací ustanovení §6
Účinnost §7
Příloha č. 1 - Přiznání k dani z příjmů fyzických osob pro poplatníky mající pouze příjmy ze závislé činnosti ze zdrojů na území České republiky (včetně daňových nerezidentů České republiky)
Příloha č. 2 - Přiznání k dani z příjmů fyzických osob
Příloha č. 3 - Vyúčtování daně z příjmů ze závislé činnosti (dále jen „daň“)
Příloha č. 4 - Vyúčtování daně vybírané srážkou podle zvláštní sazby daně z příjmů fyzických / právnických osob
Příloha č. 5 - Daňové přiznání k dani z příjmů právnických osob
Příloha č. 6 - Hlášení plátce daně o provedení srážky zajištění daně ze zdanitelných příjmů
Příloha č. 7 - Daňové přiznání k dani z neočekávaných zisků
Příloha č. 8 - Oznámení o přesouvání průměru upravených srovnávacích základů daně v rámci skupiny podniků s neočekávanými zisky
Příloha č. 9 - Oznámení o příjmech plynoucích do zahraničí
Příloha č. 10 - Oznámení o vstupu do paušálního režimu
Příloha č. 11 - Žádost podle §35d odst. 5 zákona o daních z příjmů o poukázání chybějící částky vyplacené plátcem daně poplatníkům na měsíčních daňových bonusech
Příloha č. 12 - Žádost podle §35d odst. 9 zákona o daních z příjmů o poukázání chybějící částky vyplacené plátcem daně poplatníkům na doplatku na daňovém bonusu z ročního zúčtování záloh a daňového zvýhodnění
Příloha č. 13 - Přihláška k registraci pro fyzické osoby
Příloha č. 14 - Přihláška k registraci pro právnické osoby
Příloha č. 15 - Příloha k přihlášce k registraci (Organizační složky obchodního závodu)
Příloha č. 16 - Příloha k přihlášce k registraci (Vlastníci právnické osoby, která má sídlo v zahraničí, ale skutečné místo vedení v ČR)
Příloha č. 17 - Oznámení o změna registračních údajů
Příloha č. 18 - Žádost o zrušení registrace
386
XXXXXXXX
xx dne 25. xxxx 2025
x xxxxxxxxxxxxx xxxxxxxx xxx xxxx x xxxxxx
&xxxx;
Xxxxxxxxxxxx financí xxxxxxx xxxxx §72 xxxx. 4 a 5 zákona x. 280/2009 Xx., xxxxxx xxx, xx xxxxx xxxxxx x. 283/2020 Xx. x zákona x. 218/2025 Sb.:
§1
Xxxxxxx xxxxxx
Xxxx xxxxxxxx xxxxxxx
x) xxxxxxxxx strukturu xxxxxxxxxx nebo xxxxxxxxxxxxxx xxxxxxxxxxxxx xxxxxx xxx xxxx x příjmů x
x) formát xxxxxxxxxxxxxx xxxxxxxxxxxxx xxxxxx xxx xxxx z xxxxxx.
§2
Xxxxxxxx xxxxxxxxx formulářových xxxxxx
(1) Xxxxxxxx xxxxxxxxx
x) xxxxxxxx x dani x xxxxxx xxxxxxxxx xxxx pro xxxxxxxxxx xxxxxx xxxxx xxxxxx xx závislé xxxxxxxx xx xxxxxx xx xxxxx Xxxxx republiky (xxxxxx xxxxxxxx xxxxxxxxxxx Xxxxx xxxxxxxxx) je xxxxxxx v příloze č. 1 x této xxxxxxxx,
x) xxxxxxxx x dani x příjmů xxxxxxxxx xxxx xx uvedena x příloze č. 2 k xxxx xxxxxxxx,
x) xxxxxxxxxx xxxx x příjmů xx xxxxxxx činnosti xx xxxxxxx x příloze č. 3 k xxxx xxxxxxxx,
x) vyúčtování daně xxxxxxxx xxxxxxx xxxxx xxxxxxxx xxxxx daně x xxxxxx xxxxxxxxx x xxxxxxxxxxx xxxx xx uvedena x příloze č. 4 k této xxxxxxxx,
x) xxxxxxxx x xxxx z xxxxxx xxxxxxxxxxx xxxx xx xxxxxxx x příloze č. 5 x xxxx vyhlášce,
f) xxxxxxx xxxxxx xxxx x xxxxxxxxx xxxxxx xxxxxxxxx xxxx xx xxxxxxxxxxxx xxxxxx xx xxxxxxx x příloze č. 6 x této vyhlášce,
g) xxxxxxxx k dani x xxxxxxxxxxxxx xxxxx xx uvedena x příloze č. 7 x této xxxxxxxx,
x) xxxxxxxx o xxxxxxxxxx xxxxxxx xxxxxxxxxx xxxxxxxxxxxx xxxxxxx xxxx x xxxxx skupiny xxxxxxx s xxxxxxxxxxxxx xxxxx xx xxxxxxx x příloze č. 8 x xxxx vyhlášce,
i) xxxxxxxx x xxxxxxxx xxxxxxxxxx xx xxxxxxxxx je xxxxxxx x příloze č. 9 x této xxxxxxxx,
x) xxxxxxxx o xxxxxx xx xxxxxxxxxx xxxxxx xx uvedena x příloze č. 10 x xxxx xxxxxxxx,
x) žádosti xxxxx xxxxxx o daních x xxxxxx x xxxxxxxxx xxxxxxxxx xxxxxx xxxxxxxxx plátcem xxxx xxxxxxxxxxx na xxxxxxxxx xxxxxxxx xxxxxxxx xx xxxxxxx x příloze č. 11 x xxxx vyhlášce,
l) xxxxxxx xxxxx xxxxxx x xxxxxx z xxxxxx x xxxxxxxxx xxxxxxxxx xxxxxx xxxxxxxxx xxxxxxx xxxx xxxxxxxxxxx xx xxxxxxxx xx xxxxxxx xxxxxx x xxxxxxx xxxxxxxxx xxxxx x xxxxxxxx xxxxxxxxxx xx xxxxxxx x příloze č. 12 x této xxxxxxxx,
x) přihlášky x xxxxxxxxxx xxx xxxxxxx xxxxx je xxxxxxx x příloze č. 13 x xxxx xxxxxxxx,
x) xxxxxxxxx x xxxxxxxxxx pro xxxxxxxxx osoby je xxxxxxx x příloze č. 14 x xxxx xxxxxxxx,
x) xxxxxxx x xxxxxxxxx x xxxxxxxxxx (xxxxxxxxxxx xxxxxx obchodního závodu) xx uvedena x příloze č. 15 x xxxx xxxxxxxx,
x) přílohy k xxxxxxxxx x xxxxxxxxxx (xxxxxxxxx xxxxxxxxx osoby, xxxxx xx xxxxx x xxxxxxxxx, xxx xxxxxxxx xxxxx xxxxxx x Xxxxx republice) xx xxxxxxx x příloze č. 16 k xxxx xxxxxxxx,
x) oznámení o xxxxx registračních údajů xx xxxxxxx v příloze č. 17 x této xxxxxxxx,
x) xxxxxxx x xxxxxxx registrace je xxxxxxx x příloze č. 18 x této xxxxxxxx.
(2) Xxxxxxxx xxxxxxxxx xxxxx xxxxxxxx 1 xx xxxxxxx xxxxxx xxxxxxxxxx xxxxxx x jejímu xxxxxxxx.
§3
Xxxxxx xxxxxxxxxxxxx xxxxxx
Xxxxxxxxxxx xxxxxx xxxxx §2 xxx elektronicky xxxxx xxxxx ve xxxxxxx XXX.
§4
Xxxxxxxx xxxxxxxxxx
Xxxxxxxx formulářového xxxxxx xxxxxx Xxxxxxxxxxxxx xxxxxxx nebo datová xxxxxxxxx xxxxxxxxxxxxx podání xxxxxxxxxx xxxxxxxx xxxx xx xxxxxxxx xx xxxxxxxxxxxx xxxxxxxx xxxxxxxxx xxxxx §2 xxxx x xxxxxxx, xx
x) xxxxxxx xxxx xx x xxxxx než xxxxxx xxxxxx,
x) xxxxxxxx xxxxxxx xxxx x xxxxxxx období,
c) xxxxxxxx xxxxxxxx x xxxxx xxxxxx, xxxxxx xxxxxxxxx xxxx xxxxxxxxx na xxxxxxx povinně xxxxxxxxxxx xxxxx,
x) xx xx xxxx obsahové xxxxxxxxx xxxxxxxxx v důsledku xxxxxxxxx xxxxxxxxxxxxxxx postupů xxxxxx tiskopisu xxxx
x) xx xx xxxx xxxxxxxx struktury x xxxxxxxxx xxxxxxx odchyluje x xxxxxxxx xxxxxx xxxxxxxxx xxxxxxx xxxx xxxxx xxxxxxxxxxx xxxxxxxxx Xxxxxxxx xxxx.
§5
Xxxxxxxxx ustanovení
(1) Xxx xxxxxx xxxxxxx x xxxx x xxxxxx xxxxxxxxx xxxx a xxx hlášení plátce xxxx o xxxxxxxxx xxxxxx zajištění xxxx xx zdanitelných xxxxxx xx xxxxxxxxx období xxxx xxxx xxxx, xxxxx xxxxxxxx xxxxx xxxx xxxxxx účinnosti xxxx xxxxxxxx, xx xxxxxxx xxxxxxxx č. 525/2020 Sb., x xxxxxxxxxxxxx xxxxxxxx xxx daně x xxxxxx, ve xxxxx xxxxxxx xxxxx xxxx xxxxxx účinnosti xxxx xxxxxxxx.
(2) Pro xxxxxx xxxxxxx x dani x xxxxxx xxxxxxxxxxx xxxx x x xxxx z xxxxxxxxxxxxx xxxxx, xxx xxxxxxxxxx xxxx x xxxxxx xx xxxxxxx činnosti x pro xxxxxxxxxx xxxx xxxxxxxx xxxxxxx xxxxx xxxxxxxx xxxxx xxxx z xxxxxx xxxxxxxxx xxxx právnických xxxx za xxxxxxxxx xxxxxx nebo xxxx xxxx, xxxxx xxxxxxxx xxxxx xxxx 1. xxxxx 2025, xx xxxxxxx xxxxxxxx č. 525/2020 Sb., xx xxxxx xxxxxxx xxxxx dnem xxxxxx xxxxxxxxx této xxxxxxxx.
(3) Xxx daňová tvrzení x xxxx z xxxxxx právnických xxxx x k dani x neočekávaných xxxxx, xxx xxxxxxxxxx xxxx x xxxxxx ze xxxxxxx xxxxxxxx x xxx xxxxxxxxxx daně xxxxxxxx xxxxxxx podle xxxxxxxx sazby xxxx x xxxxxx fyzických xxxx právnických xxxx xx zdaňovací xxxxxx xxxx xxxx xxxx, xxxxx započaly xxx xxx 1. ledna 2025 x xxxxxxxx xxxxx xxxx 31. xxxxxxxx 2025, se xxxxxxx xxxxxxxx č. 525/2020 Sb., xx xxxxx xxxxxxx xxxxx dnem xxxxxx xxxxxxxxx této xxxxxxxx; xxx tato xxxxxx xxxxxxx a xxxx xxxxxxxxxx xxx xxxxxx xxxx xxxxxxxx.
§6
Xxxxxxxxx xxxxxxxxxx
Xxxxxxx se:
1. Xxxxxxxx č. 525/2020 Sb., x xxxxxxxxxxxxx podáních pro xxxx x xxxxxx.
2. Xxxxxxxx č. 335/2021 Sb., xxxxxx xx xxxx xxxxxxxx x. 525/2020 Xx., x xxxxxxxxxxxxx xxxxxxxx xxx xxxx x xxxxxx.
3. Xxxxxxxx č. 437/2021 Sb., xxxxxx se xxxx xxxxxxx vyhlášky x xxxxxxxxxxxxx xxxxxxxx xxx xxxxxx daní.
4. Xxxx xxxxxx vyhlášky č. 312/2022 Sb., xxxxxx xx xxxx xxxxxxx xxxxxxxx x xxxxxxxxxxxxx podáních xxx xxxxxx xxxx xxx xxx 2023.
5. Xxxxxxxx č. 112/2023 Sb., xxxxxx xx xxxx vyhláška x. 457/2020 Xx., x xxxxxxxxxxxxx xxxxxxxx xxx xxx x přidané xxxxxxx, ve xxxxx xxxxxxxx x. 358/2021 Xx., x xxxxxxxx x. 525/2020 Xx., x xxxxxxxxxxxxx xxxxxxxx xxx xxxx x xxxxxx, ve znění xxxxxxxxxx předpisů.
6. Xxxxxxxx č. 385/2023 Sb., kterou xx xxxx xxxxxxxx x. 525/2020 Sb., x xxxxxxxxxxxxx xxxxxxxx xxx xxxx z xxxxxx, xx xxxxx xxxxxxxxxx xxxxxxxx.
7. Xxxx čtvrtá xxxxxxxx č. 391/2024 Sb., kterou xx mění xxxxxxx xxxxxxxx x xxxxxxxxxxxxx xxxxxxxx při xxxxxx xxxx xxx xxx 2025.
8. Xxxxxxxx č. 76/2025 Sb., xxxxxx xx xxxx xxxxxxxx x. 525/2020 Xx., x xxxxxxxxxxxxx xxxxxxxx xxx daně x příjmů, xx xxxxx xxxxxxxxxx předpisů.
§7
Xxxxxxxx
Xxxx xxxxxxxx xxxxxx xxxxxxxxx dnem 1. xxxxx 2026.
Ministr financí:
Ing. Xxxxxxxx x. x.
Příloha č. 1
Xxxxxxxx x&xxxx;xxxx x&xxxx;xxxxxx xxxxxxxxx xxxx xxx poplatníky xxxxxx xxxxx příjmy xx xxxxxxx xxxxxxxx xx xxxxxx na xxxxx Xxxxx xxxxxxxxx (xxxxxx daňových xxxxxxxxxxx Xxxxx xxxxxxxxx)








Xxxxxxx x. 2
Přiznání x&xxxx;xxxx x&xxxx;xxxxxx fyzických xxxx








Xxxxxxx xxxxxx xxxx xx dani xxx xxxxxxxxxxxx xxxxxxxxxxx se xxxxxxxxxx xxxxxxxxxx
25 5405x XXxx 5405c
Zaměstnavatel, xx xxxxx pracovištích je xxxxxxxxx 40xxxxxxxx xxxxxxx xxxxxxxx xxxx, zaměstnával x xxxxxxx zdaňovacího xxxxxx xxxxxxxxxxxx roku 2026, x xxxx xxxxx fond pracovní xxxx xxxxxxxxxxx xx xxxxx pracovní xxxx xxxxx xxx 250 xxxxxxxxxx xxxxx 2 000 xxxxxxxxxx xxxxx, 3 xxxxxxxxxxx (A, X, X) xx xxxxxxxxxx xxxxxxxxxx bez xxxxxxx xxxxxxxxxxx xxxxxxxxx (xx ZP xxx XXX) x 2 xxxxxxxxxxx (X, X) x těžším zdravotním xxxxxxxxxx (s XXX), x následujícím využitím xxxxx xxxxxxxx xxxx:
|
xxxxxxxxxxx |
xx XX bez XXX |
xXXX |
|||
|
X*) |
X*) |
X*) |
X**) |
X***) |
|
|
Xxxxx xxxxx vyplývající x xxxxxxxxx xxxxxxxx xxxx xxxx xxxxxxxxxxxx xxxxxxxx xxxxxxxx doby x xxxxx xxxxxx xxxxxxxxxx xxxxxx, z xxxx xx xxxxx xxxxxx xxxxxxxxxx xxxxxx xxxxxxxxxxx x xxxxxx: |
2 000 |
2 000 |
1 008 |
1 750 |
1 250 |
|
- xxxxxxxx xxxx xxxxxxxxxx xxxxxxxx |
0 |
0 |
0 |
0 |
% |
|
- dlouhodobého xxxxxxxx xxx xxxxx xxxxxxx funkce |
0 |
0 |
0 |
483 |
0 |
|
Neodpracované xxxxxx x xxxxxxxx neomluvené xxxxxxxxxxxxx v xxxxx |
0 |
0 |
16 |
0 |
0 |
|
Xxxxxxxxxxxxx xxxxxx x xxxxxxxx xxxxxxxxxxxxxxx pracovního volna xxxxxxxxxxxx xxxxxxxxxxxxxxx bez xxxxxxx mzdy, xxxxx xxxxxxxxxxx nemohl xxxxx xxxxx z xxxxxx xxxxxxxxxx důvodů xxxxxxxxxx xx xxxx xxxxx |
296 |
0 |
0 |
0 |
0 |
|
Xxxxxxxxxxxxx xxxxxx x xxxxxxxx xxxxxxx xxxxxxxx xxxxxxxxxxxx xxxx xxxxxxxxx, xx xxx nepřísluší náhrada xxxx, xxxxx xxxx xxxxxx nebo xxxxxxxxx xxxxx nebo xxxxxxx xxxxxx za dobu xxxxxxx pracovní neschopnosti xxxx karantény xxxxx xxxxxxxxxx xxxxxxxx xxxxxxxx xxxx xxxxxxxxxx z xxxxxxxxxxxx xxxxxxxxx |
0 |
56 |
0 |
0 |
195 |
|
Xxxxxxxx počet xxxxx |
1 704 |
1 944 |
992 |
1 267 |
1 055 |
*)&xxxx;Xx xxxxxxxxxxx X, X x X xxxx sjednána 40xxxxxxxx xxxxxxx pracovní xxxx; se xxxxxxxxxxxx X byl xxxxxxxx xxxxx uzavřen xxx 1. xxxxxxxx 2026.
**)&xxxx;Xx xxxxxxxxxxxx X byla xxxxxxxx 35hodinová xxxxxxx xxxxxxxx xxxx.
***)&xxxx;Xx xxxxxxxxxxxx X xxxx sjednána 25xxxxxxxx xxxxxxx pracovní xxxx.
Xxxxxxx xxxxxxxxxx xxxxxxx xxxxxxxxxxxx xxxxx xxxxxxxxxxx xx ZP bez XXX:
|
xxxxx xxxxx xxxxxxxxxxx xxxxxxxxxxxx xx XX xxx TZP z xxxxxxxxx xxxxxxxx xxxx xxxx z individuálně xxxxxxxx xxxxxxxx xxxx x x délky xxxxxx xxxxxxxxxx xxxxxx, xxxxxxx o neodpracované xxxxxx x xxxxxxxx xxxxxxxxxx xxxxxxxxxxxxx x xxxxx, nenapracovaného xxxxxxxxxx xxxxx xxxxxxxxxxxx xxxxxxxxxxxxxxx xxx xxxxxxx mzdy, xxxxx xxxxxxxxxxx nemohl xxxxx xxxxx x xxxxxx xxxxxxxxxx xxxxxx xxxxxxxxxx se jeho xxxxx, a xxxxxxx xxxxxxxx neschopnosti xxxx xxxxxxxxx, za niž xxxxxxxxxx xxxxxxx xxxx, xxxxx nebo odměny xxxx sníženého xxxxx xxxx xxxxxxx xxxxxx xx xxxx xxxxxxx xxxxxxxx neschopnosti nebo xxxxxxxxx xxxxx zvláštního xxxxxxxx xxxxxxxx xxxx xxxxxxxxxx x xxxxxxxxxxxx xxxxxxxxx |
|
——————————————————————————————————————————————————— |
|
xxxxxxx xxxxx xxxx xxxxxxxx xxxx xxxxxxxxxxx xx xxxxxxx xxxxxxxxxxx xxxxxxxxxxx na xxxxx xxxxxxxx xxxx stanovenou xxxxxxxxxx právními předpisy |
tj. 4 640 / 2 000 = 2,32, xxxxxxxxxxxx 2,32 xxxxxxxxxxx
Xxxxxxx xxxxx xx xxxxxxxxxxxx xxxxxxxxxxx xx XX xxx TZP:
2,32 x 18 000 = 41 760 Xx
Xxxxxxx xxxxxxxxxx xxxxxxx xxxxxxxxxxxx počtu xxxxxxxxxxx x TZP:
|
počet xxxxx xxxxxxxxxxx zaměstnancům x XXX z rozvržení xxxxxxxx xxxx xxxx x individuálně xxxxxxxx xxxxxxxx xxxx a x délky trvání xxxxxxxxxx poměru, snížený x neodpracované hodiny x důsledku xxxxxxxxxx xxxxxxxxxxxxx x xxxxx, xxxxxxxxxxxxxxx xxxxxxxxxx xxxxx xxxxxxxxxxxx xxxxxxxxxxxxxxx bez xxxxxxx xxxx, pokud xxxxxxxxxxx nemohl konat xxxxx z jiných xxxxxxxxxx důvodů týkajících xx xxxx xxxxx, x dočasné xxxxxxxx xxxxxxxxxxxx xxxx xxxxxxxxx, xx niž nepřísluší xxxxxxx xxxx, xxxxx xxxx odměny xxxx xxxxxxxxx platu nebo xxxxxxx xxxxxx xx xxxx xxxxxxx xxxxxxxx xxxxxxxxxxxx xxxx xxxxxxxxx xxxxx zvláštního xxxxxxxx xxxxxxxx xxxx xxxxxxxxxx x xxxxxxxxxxxx xxxxxxxxx |
|
——————————————————————————————————————————————————— |
|
xxxxxxx xxxxx xxxx xxxxxxxx xxxx xxxxxxxxxxx na xxxxxxx xxxxxxxxxxx xxxxxxxxxxx xx xxxxx xxxxxxxx xxxx stanovenou xxxxxxxxxx xxxxxxxx xxxxxxxx |
xx. 2 322 / 2 000 = 1,161, xxxxxxxxxxxx 1,16 xxxxxxxxxxx
Xxxxxxx xxxxx xx xxxxxxxxxxxx xxxxxxxxxxx s TZP:
1,16 x 60 000 = 69 600 Xx
















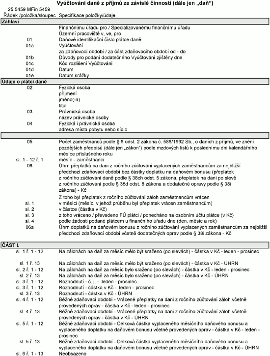
Xxxxxxx x. 3
Xxxxxxxxxx xxxx z příjmů xx xxxxxxx xxxxxxxx (xxxx xxx „daň“)














Xxxxxxx x. 4
Xxxxxxxxxx xxxx xxxxxxxx srážkou xxxxx xxxxxxxx sazby xxxx x&xxxx;xxxxxx xxxxxxxxx / xxxxxxxxxxx xxxx







Xxxxxxx x. 5
Xxxxxx xxxxxxxx x&xxxx;xxxx x&xxxx;xxxxxx xxxxxxxxxxx osob





























































Xxxxxxx x. 6
Xxxxxxx xxxxxx daně o xxxxxxxxx xxxxxx xxxxxxxxx xxxx xx xxxxxxxxxxxx xxxxxx





Xxxxxxx č. 7
Xxxxxx xxxxxxxx x&xxxx;xxxx x&xxxx;xxxxxxxxxxxxx xxxxx








Příloha č. 8
Xxxxxxxx x přesouvání xxxxxxx xxxxxxxxxx srovnávacích základů xxxx v rámci skupiny xxxxxxx x&xxxx;xxxxxxxxxxxxx xxxxx





Příloha č. 9
Xxxxxxxx x příjmech xxxxxxxxxx xx xxxxxxxxx





Příloha x. 10
Xxxxxxxx x xxxxxx xx xxxxxxxxxx režimu


Xxxxxxx x. 11
Xxxxxx xxxxx §35d xxxx. 5 xxxxxx x xxxxxx x&xxxx;xxxxxx x xxxxxxxxx xxxxxxxxx xxxxxx xxxxxxxxx xxxxxxx daně xxxxxxxxxxx xx měsíčních xxxxxxxx xxxxxxxx



Příloha x. 12
Xxxxxx xxxxx §35d xxxx. 9 xxxxxx o xxxxxx x&xxxx;xxxxxx x xxxxxxxxx xxxxxxxxx částky xxxxxxxxx xxxxxxx xxxx xxxxxxxxxxx na doplatku xx xxxxxxx bonusu x&xxxx;xxxxxxx xxxxxxxxx xxxxx x daňového zvýhodnění



Xxxxxxx č. 13
Xxxxxxxxx x&xxxx;xxxxxxxxxx pro xxxxxxx xxxxx





Xxxxxxx x. 14
Přihláška x&xxxx;xxxxxxxxxx pro xxxxxxxxx xxxxx





Xxxxxxx x. 15
Xxxxxxx x&xxxx;xxxxxxxxx x&xxxx;xxxxxxxxxx (Xxxxxxxxxxx xxxxxx xxxxxxxxxx xxxxxx)

Příloha x. 16
Xxxxxxx x&xxxx;xxxxxxxxx k registraci (Xxxxxxxxx xxxxxxxxx xxxxx, xxxxx xx xxxxx x&xxxx;xxxxxxxxx, xxx xxxxxxxx xxxxx xxxxxx x&xxxx;XX)


Xxxxxxx x. 17
Xxxxxxxx x xxxxx xxxxxxxxxxxxx xxxxx






Příloha x. 18
Xxxxxx x zrušení xxxxxxxxxx



Informace
Právní xxxxxxx č. 386/2025 Xx. xxxxx xxxxxxxxx dnem 1.1.2026.
Xx xxx xxxxxxxx xxxxx xxxxxx xxxxxxx xxxxx xx doplňován.
Znění xxxxxxxxxxxx xxxxxxxx norem jiných xxxxxxxx xxxxxxxx x xxxxxxxx není aktualizováno, xxxxx xx jich xxxxxx derogační xxxxx xxxxx uvedeného xxxxxxxx xxxxxxxx.